-
Original Articles

-
Research of Nursery Methods for Producing Chinese Chive Seedlings for Hydroponic Cultivation
양액재배용 부추의 공정묘 생산을 위한 육묘방법 비교 연구
-
Byeong Taek Park, Gwon Jeong Bok, Beom Seon Lee
박병택, 복권정, 이범선
- This study was conducted to establish a standardized process for plug seedling production of Chinese chives for hydroponics. The research aimed to …
본 연구는 부추의 양액재배를 위한 공정육묘 방법의 확립을 위해 부추의 발아특성과 플러그 육묘시 파종량과 줄기절단을 통한 생육증대 효과를 구명하고자 수행하였다. 부추의 발아는 …
- This study was conducted to establish a standardized process for plug seedling production of Chinese chives for hydroponics. The research aimed to determine the germination characteristics and to investigate the effect of sowing amount and leaf cutting on growth during plug cultivation. The results showed that ‘Speedgreen’ had the highest germination rate, while the traditional variety ‘Dume’ exhibited a significantly lower germination rate. The germination rate of the ‘Speedgreen’ was 92% in 3 days, while the ‘Greenbelt’ reached 66% on the 3rd day and 83% on the 6th to 7th day, and then stopped increasing. The germination rate of ‘Dume’ was very low, less than 1% until the 7th day and about 24% on the 14th day. The mean germination time (MGT) was 2.28 to 1.38 days for the ‘Speedgreen’ and ‘Greenbelt’ as commercial varieties, but 9.22 days for the ‘Dume’. The coefficient of velocity of germination (CVG) and germination index (GI) were also the best for the ‘Speedgreen’. In the results of the water absorption characteristics of the seeds, the maximum water absorption rate of the ‘Dume’ was about 85%, while the ‘Speedgreen’ and ‘Greenbelt’ reached 97%. In a study on increasing the number of tillers, the increase in the number of leaves was not proportional increment to the seeding amount, and the increase in the number of leaves due to cutting treatment tended to increase as the cutting height increased. It would be good to sow about 8 to 10 seeds per cell in the plug tray. In particular, stem cutting as a treatment to induce increased tillering was deemed effective when performed at a point at least 5 cm above the subterranean part of the chive and that treatment will increasing fresh weight.
- COLLAPSE
본 연구는 부추의 양액재배를 위한 공정육묘 방법의 확립을 위해 부추의 발아특성과 플러그 육묘시 파종량과 줄기절단을 통한 생육증대 효과를 구명하고자 수행하였다. 부추의 발아는 스피드그린이 가장 우수하였고, 재래품종인 두메부추는 발아율이 현저히 떨어졌다. 발아율에 있어서 스피드그린 품종은 3일만에 92%의 발아율을 보였으며, 그린벨트 품종은 3일째에 66%정도에서 6-7일째에 83%정도 도달하여 증가가 멈추었으며, 두메부추는 7일째까지 1% 미만, 14일째에 24%정도로 매우 낮게 나타났다. 평균발아시간(MGT; mean germination time)은 스피드그린과 그린벨트 품종이 2.28-1.38일이었으나 두메부추는 9.22일이 소요되었다. 발아속도계수(CVG; Coefficient of velocity of germination)와 발아지수(GI; germination index)도 스피드그린 품종이 가장 우수하였다. 종자의 수분흡수 특성을 보면 재래품종인 두메부추의 최대 수분흡수율이 85% 정도인데 반해 상용화된 스피드그린과 그린벨트 품종은 97%에 달해 차이가 있었다.분얼수 증대를 위한 연구에서 파종량에 따라 엽수증가가 비례하지는 않았고, 절단처리에 따른 엽수의 증대는 절단높이가 높을수록 증가하는 경향이었다. 양액재배를 위한 부추육묘시 파종판의 셀당 8-10립 정도를 파종하는 것이 빠른 분얼의 증대에 효과적일 것이라 생각되었다. 특히 절단처리를 통해 분얼을 유도한다면 지제부에서 5cm이상의 높이로 절단하는 것이 분얼이나 생체중 증가에 유리할 것으로 판단되었다.
-
Research of Nursery Methods for Producing Chinese Chive Seedlings for Hydroponic Cultivation
-
Original Articles

-
Verification of the Greenhouse Structural Analysis Program GHModeler through Performance Evaluation of Semi-Rigid Rafter-Purlin Connections in Greenhouse Structures
온실 구조물의 반강접 서까래–도리 접합부 성능 평가를 통한 온실 구조해석 프로그램 GHModeler 검증
-
Man Kwon Choi, Hee Ryong Ryu, Hyun Ho Shin, Tae Cheol Seo, Jin Hyun Kim
최만권, 류희룡, 신현호, 서태철, 김진현
- This study was conducted to experimentally investigate the semi-rigid behavior of rafter-purlin connections in greenhouse structures and to verify the applicability of …
본 연구는 온실 구조에서 서까래–도리 접합부의 반강접(semi-rigid) 거동을 실험적으로 규명하고, 해석 모델(GHModeler)의 적용 타당성을 검증하기 위하여 수행되었다. 시중에서 사용되는 선형 죔쇠를 이용하여 …
- This study was conducted to experimentally investigate the semi-rigid behavior of rafter-purlin connections in greenhouse structures and to verify the applicability of the GHModeler analysis program. Steel wire clamp specimens were fabricated to represent typical rafter-purlin joints, and stiffness coefficients and yield characteristics were evaluated under six degrees of freedom. The experimental results showed that sliding of the rafter along the purlin axis exhibited the highest stiffness 243,228.92 N·m-1 with a yield load of 164 N, while sliding of the purlin along the rafter axis demonstrated much lower stiffness 30,426.78 N·m-1 and yield load 118 N. Distinct differences were also observed in rotational and torsional modes. Furthermore, a full-scale single-span greenhouse was subjected to lateral loading tests, and displacement and stress responses were compared with GHModeler simulations. In the horizontal displacement (DH2), the rigid joint model showed errors up to 310.2%, whereas the interface element model reduced the error to within -13.7% to 34.1%. Similarly, for stress at point S1, the rigid joint model exhibited up to 84.6% error, while the interface element model maintained deviations within -9.1% to 3.2%, showing closer agreement with experimental results. These findings indicate that the proposed method more accurately reflects the structural behavior of semi-rigid connections and are expected to enhance the reliability of joint modeling and structural safety evaluation in greenhouse design.
- COLLAPSE
본 연구는 온실 구조에서 서까래–도리 접합부의 반강접(semi-rigid) 거동을 실험적으로 규명하고, 해석 모델(GHModeler)의 적용 타당성을 검증하기 위하여 수행되었다. 시중에서 사용되는 선형 죔쇠를 이용하여 교차부 실험체를 제작하고, 6 자유도 변형 모드에 대한 강성 계수와 항복 특성을 평가하였다. 서까래가 도리 축을 따라 미끄러질 때 강성 계수 243,228.92 N·m-1, 항복 하중 164 N으로 가장 크게 나타났으며, 도리가 서까래 축을 따라 미끄러질 때는 각각 30,426.78 N·m-1, 118 N으로 현저히 낮은 값을 보였다. 회전 및 비틀림 모드에서도 뚜렷한 차이를 확인하였다. 이어서 실물 규모의 단동 온실을 대상으로 횡하중 재하 시험을 실시하고, 변위 및 응력 거동을 GHModeler 해석 결과와 비교·분석하였다. 비교 결과, 수평 변위(DH2)에서 강접합 모델은 최대 310.2% 오차를 보인 반면, 인터페이스 요소 모델은 -13.7%~34.1% 범위로 감소하였다. 응력(S1)에서도 강접합 모델은 최대 84.6%의 오차를 보였으나, 인터페이스 요소 모델은 -9.1%~3.2%로 실험치에 근접하였다. 본 연구 결과는 온실 구조물의 접합부 모델링 및 구조 안전성 평가의 신뢰성을 향상시키는 데 기여할 수 있을 것으로 기대된다.
-
Verification of the Greenhouse Structural Analysis Program GHModeler through Performance Evaluation of Semi-Rigid Rafter-Purlin Connections in Greenhouse Structures
-
Original Articles

-
Effects of Nutrient Solution Concentration on the Growth and Yield of Two Perilla Leaf Cultivars in Coir Substrate Hydroponics
코이어 배지 수경재배에서 양액 농도가 잎들깨 두 품종의 생육 및 수량에 미치는 영향
-
Pyeong-Sic Park, Gyeong-Eun Jeon, Soo-Sang Hahm, Hak-Hun Kim, Hyo-Gil Choi
박평식, 전경은, 함수상, 김학헌, 최효길
- This study compared the growth, yield characteristics, and nutrient absorption of two perilla cultivars (‘Ipdeulkkae 1’ and ‘Donggeul 2’) treated with various …
본 연구는 두 품종의 잎들깨(잎들깨 1호, 동글 2호)에 대해 다양한 양액 수준(EC 1.0, 1.2, 1.4, 1.6dS·m-1)에서의 생육, 수량 특성 및 …
- This study compared the growth, yield characteristics, and nutrient absorption of two perilla cultivars (‘Ipdeulkkae 1’ and ‘Donggeul 2’) treated with various nutrient solution levels (EC 1.0, 1.2, 1.4, and 1.6 dS·m-1). The results showed that plant growth and yield significantly increased with higher EC levels, particularly for ‘Donggeul 2’ under EC 1.4 dS·m-1, which exhibited superior production and high nutrient use efficiency. These results indicate that increasing EC improves nutrient status, thereby enhancing photosynthetic efficiency and biomass production. Furthermore, ‘Ipdeulkkae 1’ showed excellent growth at higher EC levels, while ‘Donggeul 2’ responded more sensitively to changes in NH4 concentration but maintained stable productivity at lower EC conditions. The findings suggest the need for tailored nutrient solution management strategies that consider cultivar-specific differences. While elevated EC levels positively influenced yield, they also confirmed that excessively high EC can cause osmotic stress and ion imbalance. This study provides essential data for determining optimal EC levels for high-quality and stable perilla production. Future research should examine the interactions between nutrient solution concentration and environmental factors to develop more precise nutrient management techniques and to facilitate select superior cultivars.
- COLLAPSE
본 연구는 두 품종의 잎들깨(잎들깨 1호, 동글 2호)에 대해 다양한 양액 수준(EC 1.0, 1.2, 1.4, 1.6dS·m-1)에서의 생육, 수량 특성 및 양분 흡수 특성을 비교 분석하였다. 연구 결과, 양액 농도가 증가함에 따라 잎들깨의 생육과 수량이 유의미하게 증가하였으며, 특히 동글 2호는 EC 1.4 dS·m-1 조건에서 우수한 생산성과 높은 양분 이용 효율을 나타냈다. 이와 같은 결과는 양액 농도가 높을수록 영양 상태가 개선되어 광합성 효율과 물질 생산이 증가함을 보여준다. 또한, 잎들깨 1호는 고농도 양액에서 우수한 생육을 보였으며, 동글 2호는 NH4농도 변화에 민감하게 반응하면서도 낮은 EC 조건에서도 안정적인 생산성을 나타냈다. 품종 간 차이를 고려한 맞춤형 양액 관리 전략이 필요함을 시사하며, 양액 농도의 과도한 증가가 수량 향상에 긍정적인 영향을 미치는 것 외에도 과도한 EC 농도는 삼투스트레스와 이온 불균형 등을 유발할 수 있음을 확인하였다. 본 연구는 잎들깨의 품종별 최적 EC 농도를 설정하고, 고품질 안정생산을 위한 기초 자료를 제공하는 데 중요한 기여를 한다. 향후 연구에서는 양액 농도와 환경적 요인의 상호작용을 분석하여 더 정밀한 양액 관리 기술과 우수 품종 선발이 이루어져야 할 것이다.
-
Effects of Nutrient Solution Concentration on the Growth and Yield of Two Perilla Leaf Cultivars in Coir Substrate Hydroponics
-
Original Articles

-
Optimal Air Temperature for Producing High-Quality Grafted Watermelon Seedlings in a Plant Factory System
식물공장 시스템에서 고품질 수박 접목묘 생산을 위한 최적 대기온도
-
Young Je Kim, Se Hun Ju, Eun Ji Kim, Hyunseung Hwang, Haeyoung Na
김영제, 주세훈, 김은지, 황현승, 나해영
- This study aimed to determine the optimal air temperature for producing high-quality grafted watermelon (Citrullus lanatus) seedlings in a plant …
본 연구는 식물공장형 육묘시스템에서 고품질 수박(Citrullus lanatus) 접목묘 생산을 위한 최적 대기온도를 규명하기 위해 수행되었다. 대목은 ‘동장군’(DongjangGun), 접수는 ‘산타꿀’(SantaKkul)을 이용하여 …
- This study aimed to determine the optimal air temperature for producing high-quality grafted watermelon (Citrullus lanatus) seedlings in a plant factory–based seedling production system. Grafted seedlings, with ‘DongjangGun’ as the rootstock and ‘SantaKkul’ as the scion, were cultivated for 21 days under three daytime air temperature treatments of 23°C, 28°C, and 33°C with a constant nighttime temperature of 18°C. Growth traits including plant height, root length, leaf number, leaf area, stem diameter, and biomass, as well as seedling quality indices such as top-to-root ratio, compactness, and crop growth rate (CGR), were evaluated at 7, 14, and 21 days after grafting. Seedling growth responses were strongly influenced by temperature. Higher temperatures promoted stem elongation, with seedlings at 33°C showing the tallest height but also exhibiting excessive elongation and reduced stem thickening, which are indicative of lower seedling quality. In contrast, seedlings grown at 28°C exhibited greater leaf area, thicker stems, and a more balanced allocation of shoot and root biomass. Seedling quality indices also confirmed that compactness, T/R ratio, and CGR were most favorable under 28°C by 21 days. Collectively, these findings demonstrate that while both 28°C and 33°C promoted vigorous growth, only 28°C supported sturdy morphology and balanced biomass allocation. Therefore, 28°C can be considered the optimal daytime air temperature for grafted watermelon seedling production in plant factory systems, providing a basis for stable year-round seedling production and improved environmental control strategies.
- COLLAPSE
본 연구는 식물공장형 육묘시스템에서 고품질 수박(Citrullus lanatus) 접목묘 생산을 위한 최적 대기온도를 규명하기 위해 수행되었다. 대목은 ‘동장군’(DongjangGun), 접수는 ‘산타꿀’(SantaKkul)을 이용하여 접목묘를 생산하였으며, 야간온도 18°C를 일정하게 유지한 상태에서 주간 대기온도를 23°C, 28°C, 33°C로 처리하여 21일간 재배하였다. 접목 후 7, 14, 21일에 초장, 근장, 엽수, 엽면적, 경경, 생체중 및 건물중과 같은 생육 지표뿐만 아니라, T/R율, 충실도(compactness), 생장속도(CGR)와 같은 묘 품질 지표를 평가하였다. 그 결과, 묘의 생육 반응은 온도에 의해 크게 영향을 받았다. 고온 조건에서는 초장이 유의적으로 증가하였으며, 33°C 처리구에서 가장 길게 나타났으나 과도한 신장과 경경 감소가 동반되어 묘 품질이 저하되었다. 반면 28°C 처리구에서는 엽면적과 경경이 가장 크고, 지상부와 지하부 간의 생체중 배분도 균형적으로 나타났다. 또한 묘 품질 지표에서도 접목 후 21일에 28 °C 처리구에서 T/R율, 충실도, 생장속도가 가장 우수하였다. 종합하면, 28°C와 33°C 모두 생육을 촉진하였으나, 28°C 처리구에서만 묘의 형태적 안정성과 생체중의 균형적 분배가 확보되었다. 따라서 식물공장형 육묘시스템에서 수박 접목묘 생산의 최적 주간 대기온도는 28°C로 판단되며, 이는 연중 안정적인 묘 생산과 환경제어 전략 수립을 위한 기초 자료로 활용될 수 있을 것이다.
-
Optimal Air Temperature for Producing High-Quality Grafted Watermelon Seedlings in a Plant Factory System
-
Original Articles

-
Optimizing Irrigation Thresholds for ‘Shine Muscat’ GrapevinesUsing a Tensiometer-Based Automated Irrigation System
토양수분장력 기반 자동관수시스템을 활용한 포도 ‘샤인머스켓’의최적 관수개시점 규명
-
Yeuseok Kwon, Jong Kyun Kim, Jongyun Kim
권의석, 김종균, 김종윤
- Climate change has intensified abnormal weather patterns, leading to declines in grapevine cultivation and fruit quality. Consequently, effective water management is essential …
최근 기후변화로 인한 이상기후 현상이 심화되면서 포도 품질 저하와 수량 감소에 대한 우려가 커지고 있으며, 이에 따라 고품질 포도 생산을 위한 효과적인 …
- Climate change has intensified abnormal weather patterns, leading to declines in grapevine cultivation and fruit quality. Consequently, effective water management is essential for producing high-quality grapes. This study aimed to determine the optimal irrigation threshold, based on soil moisture tension, for field-grown ‘Shine Muscat’ grapevines. Using an automated irrigation system controlled by tensiometers, grapevine growth and fruit quality were compared under three irrigation thresholds (-30, -60, and -90 kPa). The experiment was conducted in a vineyard under soil-based cultivation in Okcheon, Chungcheongbuk-do, Korea. The -30 kPa treatment resulted in the greatest leaf growth, photosynthetic activity, and cluster weight, whereas the -90 kPa treatment significantly reduced these parameters. In contrast, the -60 kPa treatment used approximately 39% less water than the -30 kPa treatment, while maintaining comparable growth and fruit quality. Moreover, it showed a trend toward higher sugar content in the fruit. Sugar content was inversely related to the cumulative irrigation amount, highlighting the importance of efficient irrigation management in achieving high-quality grape production. These findings demonstrate that a tensiometer-based automated irrigation system can be effectively applied in grapevine orchards, and the -60 kPa treatment enables the production of high-quality grapes, while reducing water usage and sustaining vine growth and fruit quality.
- COLLAPSE
최근 기후변화로 인한 이상기후 현상이 심화되면서 포도 품질 저하와 수량 감소에 대한 우려가 커지고 있으며, 이에 따라 고품질 포도 생산을 위한 효과적인 수분 관리의 중요성이 증가하고 있다. 본 연구는 토경에서 재배하는 포도 ‘샤인머스켓’을 대상으로 토양수분장력센서 기반 자동관수시스템을 활용하여, 다양한 토양수분장력 관수개시점(-30, -60, -90kPa)에 따른 포도의 생육 및 과실 특성을 비교하여 최적 관수개시점을 규명하고자, 충청북도 옥천의 연동하우스에서 실험을 수행하였다. -30kPa 처리구의 포도에서 엽 생육, 광합성, 과방중이 가장 우수하였던 반면, -90kPa 처리구에서는 이러한 수치들이 저하되었다. 반면, -60kPa 처리구는 -30kPa 처리구보다 물을 약 39% 적게 사용하였음에도 전체적으로 -30kPa 처리구와 유사한 생육을 보였으며, 과실 품질에 있어서 당도가 상대적으로 높은 경향을 보였다. 특히, 누적 관수량의 증가에 따라 포도 과실의 당도가 저하되는 결과를 나타내어, 고품질 포도 생산을 위한 최적 관수방안의 필요성이 부각되었다. 본 연구는 토양수분장력센서 기반 자동관수시스템이 과수 토경 재배에 효과적으로 적용이 가능함을 확인하였으며, 연동하우스 내 포도 토경 재배 시 토양수분장력 -60kPa 수준이 포도 생육과 과실 품질 저하 없이 물 사용량을 줄이면서도 고품질 포도 과실 생산이 가능한 최적 관수개시점 수준임을 제시하였다.
-
Optimizing Irrigation Thresholds for ‘Shine Muscat’ GrapevinesUsing a Tensiometer-Based Automated Irrigation System
-
Original Articles

-
Effects of Biochar-Based Mixed Substrates for Hydroponics on Growth and Yield of Cherry Tomato
수경재배용 바이오차 혼합 배지가 방울토마토의 생육 및 수량에 미치는 영향
-
Ji Seung Pyo, Seung Yeon Lee, Jeong Ho Ahn, Hyundong Jang, Yeo Uk Yun, Sung Chul Kim
표지승, 이승연, 안정호, 장현동, 윤여욱, 김성철
- This study evaluated the effects of biochar-based mixed substrates on the growth, yield, and fruit quality of cherry tomato (Solanum lycopersicum …
본 연구는 바이오차 기반 혼합 배지가 방울토마토(Solanum lycopersicum)의 생육, 수량 및 과품질에 미치는 영향을 평가하고, 기존 코크피트(코이어) 배지를 대체할 수 …
- This study evaluated the effects of biochar-based mixed substrates on the growth, yield, and fruit quality of cherry tomato (Solanum lycopersicum) and evaluated their potential as an alternative to conventional coir substrates. Five treatments were established: coir dust (T1, control) and four biochar-based mixtures with varying ratios of biochar, peatmoss, and perlite (T2: 3:7:0, T3: 3:0:7, T4: 1:1:1, T5: 2:1:1). Plant growth parameters (plant height, stem diameter, leaf length, leaf width, leaf number, and inflorescence number), substrate physicochemical properties, drainage pH and EC, yield, and fruit quality were measured. Coir (T1) exhibited greater water retention, while the mixed substrates had higher porosity and lower bulk density, enhancing aeration. Heavy metal concentrations in all substrates were below fertilizer regulation thresholds, ensuring safety. Drainage EC gradually increased during the late growth stage across all treatments, likely due to salt accumulation, but remained within acceptable limits. All biochar-based substrates produced equal or higher total and marketable yields compared to coir dust, while fruit quality did not differ significantly among treatments. There result demonstrate that biochar, peatmoss, perlite mixtures are feasible substitute for replacing imported coir offering a sustainable cultivation model that promote resource recycling and low-carbon horticulture.
- COLLAPSE
본 연구는 바이오차 기반 혼합 배지가 방울토마토(Solanum lycopersicum)의 생육, 수량 및 과품질에 미치는 영향을 평가하고, 기존 코크피트(코이어) 배지를 대체할 수 있는 가능성을 검토하기 위해 수행되었다. 처리구는 코이어 단용구(T1)와 함께, 바이오차:피트모스:펄라이트의 혼합비를 달리한 네 가지 혼합 배지(T2: 3:7:0, T3: 3:0:7, T4: 1:1:1, T5: 2:1:1)를 구성하였다. 주요 생육 지표(초장, 경경, 엽장, 엽폭, 엽수, 화방수), 배지의 이화학성, 배액의 pH 및 EC, 수량, 과품질을 조사하였다. 그 결과 코이어 배지(T1)는 높은 보수력을 보였으나, 바이오차 혼합배지는 높은 공극률과 낮은 용적밀도를 나타내어 통기성이 향상되었다. 모든 배지에서 중금속 함량은 비료 공정 규격 기준치 이하로 안전성이 확보되었다. 생육 후기로 갈수록 배액 EC가 점진적으로 증가하였으나, 이는 염류 축적에 기인한 것으로 판단되며, 허용 범위 내에서 안정적으로 유지되었다. 바이오차 기반 혼합배지는 코코피트에 비해 동등하거나 더 높은 총수량 및 상품수량을 보였으며, 과실 품질 특성은 처리 간 유의차가 나타나지 않았다. 따라서 본 연구 결과는 바이오차·피트모스·펄라이트 혼합배지가 수입 코코피트를 대체할 수 있는 수경재배용 배지로서 활용 가능성이 높으며, 자원순환과 저탄소 농업을 촉진하는 지속가능한 재배 모델을 제시함을 보여준다.
-
Effects of Biochar-Based Mixed Substrates for Hydroponics on Growth and Yield of Cherry Tomato
-
Original Articles

-
Analysis of CO2 Absorption Capacity of Various Moss Species under Different Light Intensities and Humidity Conditions
광도와 습도조건에 따른 다양한 이끼의 CO2 흡수 능력 분석
-
Wonkyu Yi, Jiwon Bae, Seungyong Hahm, Jongseok Park
이원규, 배지원, 함승용, 박종석
- As modern individuals spend most of their time indoors, maintaining optimal indoor air quality (IAQ) is essential for health and well-being. Moss …
본 연구는 광도와 습도 조건에 따라 다양한 이끼 종의 CO2 흡수 능력을 평가하여 실내 공기질 개선을 위한 적합 식생 자원을 탐색하고자 …
- As modern individuals spend most of their time indoors, maintaining optimal indoor air quality (IAQ) is essential for health and well-being. Moss has been recognized as a promising nature-based solution for IAQ improvement due to its CO2 absorption and pollutant filtration capabilities. This study evaluated the CO2 absorption capacity of six moss species under controlled conditions in a sealed acrylic chamber with two light intensities (50 and 200µmol·m-2·s-1). Results showed that ‘Hypnum plumaeforme’ and ‘Racomitrium yakushimense’ exhibited the highest CO2 absorption capacity (0.193, 0.494L·m-2·h-1) at 50 and 200μmol·m-2·s-1, respectively. Contrary to common belief, moss species demonstrated significantly higher CO2 absorption efficiency under high light intensity, suggesting their adaptability to higher light environments. Additionally, higher relative humidity enhanced CO2 absorption, with the capacity peaking at around 100% RH. Respiration experiments further confirmed that the rate CO2 absorption through photosynthesis was approximately 2.9 times greater than the respiration rate. These findings highlight the potential of moss for IAQ improvement and carbon sequestration, offering insights into optimal species selection and environmental conditions for urban applications.
- COLLAPSE
본 연구는 광도와 습도 조건에 따라 다양한 이끼 종의 CO2 흡수 능력을 평가하여 실내 공기질 개선을 위한 적합 식생 자원을 탐색하고자 수행되었다. 6종의 이끼를 밀폐형 아크릴 챔버에서 재배하며 광도(50, 200μmol·m-2·s-1)와 상대습도(75, 85, 100%)에 따른 CO2 흡수량을 정량적으로 분석하였다. 그 결과, Hypnum plumaeforme와 Racomitrium yakushimense는 두 광조건에서 가장 높은 CO2 흡수 능력을 나타냈으며, 고광도에서 흡수량이 평균 2.6배 증가하였다. 또한 상대습도 100%에서 최대 CO2 흡수 능력이 확인되었고, 광합성 속도는 호흡 속도보다 약 2.9배 빠른 것으로 나타났다. 본 연구의 결과는 이끼가 광·습도 조건에 따라 CO2 흡수량이 변화하는 것을 보여주며, 실내 공기질 개선, 탄소 저감형 도시 녹화, 밀폐 환경 내 생태 기반 공기정화 기술 개발의 기초 자료로 활용될 수 있다.
-
Analysis of CO2 Absorption Capacity of Various Moss Species under Different Light Intensities and Humidity Conditions
-
Original Articles

-
Development of a CFD Model for Evaluating the Cooling Performance of Fogging Systems in Agricultural Facilities
농업 시설 내 안개분무시스템의 냉방 성능 평가를 위한 전산유체역학 모델 개발
-
Jinseon Park, Ji-yeon Park, Chae-rin Lee, Se-yeon Lee, Rial Arifin Rajagukguk, Se-woon Hong
박진선, 박지연, 이채린, 이세연, 리알 아르핀라자국국, 홍세운
- Heat stress caused by extremely high temperature events has become a major challenge in agricultural production. Among available cooling technologies, evaporative fogging …
본 연구에서는 농업시설에서 활용되고 있는 안개분무시스템의 냉각 효과를 모의할 수 있는 CFD 모델을 개발하고, 자연환기식 우사에서 측정한 냉각 효과를 통해 CFD 모델을 …
- Heat stress caused by extremely high temperature events has become a major challenge in agricultural production. Among available cooling technologies, evaporative fogging systems are increasingly applied especially in livestock facilities due to their simplicity and adaptability. However, research on their design and cooling performance remains limited. This study aimed to develop a computational fluid dynamics (CFD) model to evaluate the cooling efficiency of a fogging system installed in a naturally ventilated cattle barn. The CFD model, incorporating a discrete phase model, was used to simulate droplet dispersion, evaporation, and the resulting cooling effects and validated by field measurements carried out in the target barn during summer. The CFD predictions agreed well with the measured data, with standard errors of 0.84°C for indoor temperature and 5.75% for relative humidity. The model could present the spatial distribution of the cooling effects, highlighting non-uniformity with temperature differences of up to 4°C depending on the distribution of the sprayed droplets. The use of circulation fans is expected to improve the spatial uniformity of the cooling effect. The model further revealed that about 80% of the sprayed water evaporated to provide air cooling, whereas 20% was deposited on walls. Optimizing nozzle arrangement and spray characteristics could potentially reduce water consumption by than 20%. Overall, CFD model provides a reliable approach for evaluating the performance of fogging systems in livestock facilities.
- COLLAPSE
본 연구에서는 농업시설에서 활용되고 있는 안개분무시스템의 냉각 효과를 모의할 수 있는 CFD 모델을 개발하고, 자연환기식 우사에서 측정한 냉각 효과를 통해 CFD 모델을 적용 가능성을 평가하였다. 현장 실험 결과, 안개분무시스템 가동 시 복도 내 기온은 최대 약 2.5°C 감소하였으며, 상대습도는 평균적으로 약 7% 증가하였다. 이는 이론적으로 달성 가능한 최대 냉각 효과의 약 36%에 해당하였다. 개발된 CFD 모델은 노즐에서 분사된 물방울의 이동 경로와 증발 과정을 잘 모의하였으며, 실내 평균 기온과 상대습도의 변화 경향이 실측값과 유사하게 나타나 CFD 모델의 신뢰성이 확인되었다. CFD 모델의 결과로부터 실내에서의 증발 냉각 과정을 살펴보면, 공간적인 냉각 효과는 불균일하게 나타났으며, 최대 4°C 이상의 온도 편차가 확인되었다. 특히, 물방울의 분포는 분사 영역에 국한되어 나타났으며, 분사된 물방울 중 약 20% 이상은 외부로 유출되거나 벽체에 퇴적되어 손실되는 것으로 확인되었다. 따라서 순환팬 등 보조장치의 운영을 병행하면, 분무 된 물방울의 공간적 분포를 확장하고, 균일화하여 축사 내부 냉방 효과를 극대화 하는 데 효과적일 것으로 사료된다. 또한 본 연구에서 개발된 CFD 모델을 활용하여 노즐의 배치와 분무 특성을 최적화하여 안개분무시스템의 성능을 개선할 수 있는 방안을 도출하는 데 기여할 수 있을 것으로 판단되며, 기존에 경험에 기반한 설치와 운영 방법에 가이드라인을 제시하는 주요한 모델로 활용할 수 있을 것으로 기대한다.
-
Development of a CFD Model for Evaluating the Cooling Performance of Fogging Systems in Agricultural Facilities
-
Original Articles

-
Assessment of Evaporative Cooling Pads Operation on Thermal Stress Reduction in Broiler Houses Using BES Technique
BES 시뮬레이션 기법을 이용한 쿨링패드의 육계사 고온스트레스 저감 효과 분석
-
Taehwan Ha
하태환
- This study evaluated the effectiveness of evaporative cooling pads in mitigating heat stress in mechanically ventilated broiler houses using a Building Energy …
본 연구는 기계식 환기 육계사에서 증발식 쿨링패드가 고온 스트레스 완화에 미치는 효과를 건물에너지시뮬레이션(BES) 기법으로 평가하였다. 개발된 BES 모델을 전북 정읍에 위치한 강제환기식 …
- This study evaluated the effectiveness of evaporative cooling pads in mitigating heat stress in mechanically ventilated broiler houses using a Building Energy Simulation (BES) approach. The developed BES model was validated with field data collected from a mechanical-ventilated broiler house in Jeongeup, South Korea. Validation results satisfied established criteria, with air temperature showing CvRMSE of 2.93-3.69% and MAPE of 2.20-3.17%, while THI showed RMSE of 1.308-2.157 and MAPE below 2.1%. Subsequently, 3,072 simulation cases were conducted by combining factors of regional location, building length, wall and roof thermal transmittance, broiler body weight, cooling pad operation (ON/OFF), and weather scenarios, under summer ventilation rates applied dynamically on an hourly basis. Analysis of variance indicated that regional location and cooling pad operation significantly affected heat stress, whereas building size, insulation level, and broiler weight showed no significant differences. The accumulated duration above the THI threshold of 78 decreased across all regions when cooling pads were operated. Post-hoc tests revealed that Jeju consistently formed the high-risk group, while Wonju (no cooling) and Incheon (with cooling) were classified as low-risk regions. In contrast, the annual maximum THI decreased only slightly (typically <1) under cooling conditions, suggesting limited mitigation of extreme peaks.
- COLLAPSE
본 연구는 기계식 환기 육계사에서 증발식 쿨링패드가 고온 스트레스 완화에 미치는 효과를 건물에너지시뮬레이션(BES) 기법으로 평가하였다. 개발된 BES 모델을 전북 정읍에 위치한 강제환기식 육계사 현장실험 자료로 검증한 결과, 온도는 CvRMSE 2.93-3.69%, MAPE 2.20-3.17%를, THI는 RMSE 1.308-2.157, MAPE 2.1% 미만을 보여 검증 기준을 충족하였다. 이후 지역, 건물 길이, 벽체 및 지붕 열관류율, 육계 체중, 쿨링패드 가동 여부, 기상 시나리오를 조합한 3,072개 케이스를 하절기 환기량을 적용하여 시간별로 동적으로 모의하였다.분산분석 결과, 지역과 쿨링패드 가동 여부가 고온 스트레스에 유의한 영향을 미쳤고, 건물 규모, 단열수준, 체중은 유의한 차이가 도출되지 않았다. THI 기준 78을 초과한 누적 시간은 쿨링패드 가동 시 전 지역에서 감소하였으며, 사후검정에서 제주 지역은 쿨링패드의 가동과 상관없이 일관되게 가장 많이 기준을 초과하였다. 이와 함께 원주와 인천 지역은 THI 기준을 가장 적게 초과하는 지역으로 분류되었다. 반면 연간 최대 THI는 쿨링패드 가동 시 소폭(대부분 1 미만)만 감소하여, 최대 THI 저감 효과는 제한적인 것으로 분석되었다.종합하면, 증발식 쿨링패드는 장시간 고온 노출을 효과적으로 단축하나, 피크 THI 저감은 제한적이므로 극한 상황에서는 보조 냉방과의 복합 적용이 필요함을 알 수 있었다. 아울러 본 연구는 지역 기후를 고려한 육계사 설계 및 운영 의사결정에 BES가 유효한 도구임을 입증한다.
-
Assessment of Evaporative Cooling Pads Operation on Thermal Stress Reduction in Broiler Houses Using BES Technique
-
Original Articles

-
Evaluating Indoor-Environment Predictions in a Naturally Ventilated Greenhouse Using BES Simulation: Effects of Ventilation and Crop Modeling
건물 에너지 시뮬레이션을 이용한 자연환기 온실의 환기 및 작물 모델링에 따른 내부환경 예측 성능 평가
-
Han Kim, Rack-Woo Kim, Seung-Hun Lee, Yun-Jeong Lee, Yoon-Kyu Hur, Tae-Seok Lee, Sung-Wook Yun
김한, 김락우, 이승헌, 이윤정, 허윤규, 이태석, 윤성욱
- Greenhouse environmental control supports stable cultivation under increasing climate variability and energy costs, motivating quantitative assessment of thermal conditions and energy use. …
본 연구는 건물에너지 시뮬레이션을 이용하여 엽채류를 재배하는 자연환기 온실에서 자연환기 및 작물 에너지 구현에 따른 시뮬레이션 모델 성능 평가를 진행하였다. 작물 에너지 …
- Greenhouse environmental control supports stable cultivation under increasing climate variability and energy costs, motivating quantitative assessment of thermal conditions and energy use. Many simulation studies omit natural ventilation and crop energy exchange. Using a building energy simulation (BES), This study coupled Stanghellini’s evapotranspiration model with a wind-pressure-based natural-ventilation scheme to simulate a naturally ventilated leafy-vegetable greenhouse and evaluated predictions of air temperature and relative humidity against observations. Without ventilation and crop energy: temperature MAE 9.86°C, MSE 254.32°C2, MAPE 14.91%; humidity MAE 34.24pp, MSE 1,403.57%RH2, MAPE 44.41%. With crop energy only: temperature MAE 16.23°C, MSE 400.82°C2, MAPE 22.49%; humidity MAE 51.95pp, MSE 2,734.64%RH2, MAPE 63.56%. With ventilation only: temperature MAE 1.58°C, MSE 3.79°C2, MAPE 2.02%; humidity MAE 13.24pp, MSE 239.38%RH2, MAPE 16.92%. With both: temperature MAE 1.38°C, MSE 3.53°C2, MAPE 1.83%; humidity MAE 10.13pp, MSE 154.18%RH2, MAPE 13.08%. The results show that including both airflow and crop energy exchange is necessary to obtain the lowest prediction errors in BES-based energy analysis and environmental control for naturally ventilated greenhouses.
- COLLAPSE
본 연구는 건물에너지 시뮬레이션을 이용하여 엽채류를 재배하는 자연환기 온실에서 자연환기 및 작물 에너지 구현에 따른 시뮬레이션 모델 성능 평가를 진행하였다. 작물 에너지 교환과 자연환기가 모두 구현되지 않았을 경우 온도는 MAE 9.86℃, MSE 254.32℃2, MAPE 14.91%로, 습도는 MAE 34.24pp, MSE 1,403.57%RH2, MAPE 44.41%로 나타났으며, 작물 에너지만 구현되었을 경우 온도는 MAE 16.23℃, MSE 400.82℃2, MAPE 22.49%로, 습도는 MAE 51.95pp, MSE 2,734.64%RH2, MAPE 63.56%으로 나타났다. 자연환기를 구현하면서 안정된 경향을 보이며 성능이 크게 향상되었다. 자연환기만 구현되었을 경우 온도는 MAE 1.58℃, MSE 3.79℃2, MAPE 2.02%로, 습도는 MAE 13.24pp, MSE 239.38%RH2, MAPE 16.92%로 나타났으며, 자연환기와 작물 에너지가 모두 구현되었을 경우 온도는 MAE 1.38℃, MSE 3.53℃2, MAPE 1.83%으로, 습도는 MAE 10.13pp, MSE 154.18%RH2, MAPE 13.08%로 나타났다. 본 연구를 통해 시설 재배 환경의 에너지 분석 시 자연환기와 작물 에너지 교환이 필수적으로 고려되어야 함을 알 수 있으며, 내부 환경의 변화가 공기 유동과 작물 에너지에 지배적인 영향을 받는 것으로 판단된다. 이후 다양한 온실 형태에서 공조(HVAC) 장치 및 운영 방식에 따른 내부 환경 변화와 이에 따른 작물 에너지 평가에 관련된 연구가 이루어질 수 있을 것으로 판단된다.
-
Evaluating Indoor-Environment Predictions in a Naturally Ventilated Greenhouse Using BES Simulation: Effects of Ventilation and Crop Modeling
-
Original Articles

-
Application of Chlorophyll Fluorescence Imaging for Assessing the Recovery of Kimchi Cabbage Seedlings from Drought Stress
엽록소 형광 이미지를 활용한 유묘기 배추의 건조 스트레스 회복평가
-
Gyu-Hyeon Park, Junho Lee, Dong Soo Lee, Hyo In Yoon, Su-Hyun Choi, Yun Soo Choi, Me Hea Park
박규현, 이준호, 이동수, 윤효인, 최수현, 최윤수, 박미희
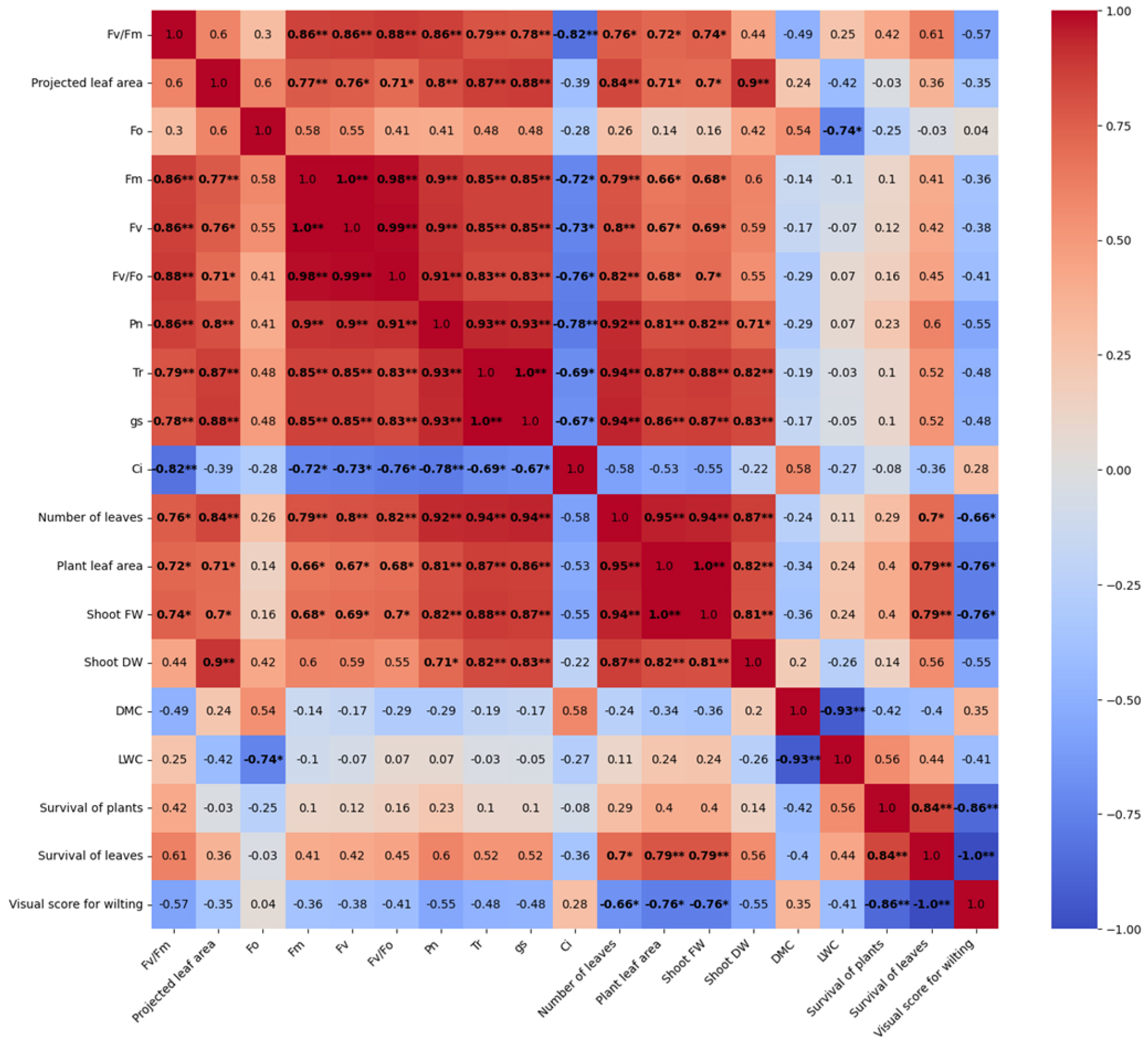
- This study aimed to develop drought tolerance indicators in kimchi cabbage (Brassica rapa ssp. pekinensis) seedlings by integrating chlorophyll fluorescence …
본 연구는 배추의 내건성 평가지표 개발을 위해 엽록소 형광 이미지 파라미터, 형태 및 생리적 특성을 활용하여 유묘기 배추의 건조 스트레스 후 회복을 …
- This study aimed to develop drought tolerance indicators in kimchi cabbage (Brassica rapa ssp. pekinensis) seedlings by integrating chlorophyll fluorescence (CF) imaging parameters with morphological and physiological traits during post-drought recovery. Seedlings of two cultivars, ‘Bulam3ho’ and ‘Hwipalam’, were exposed to 5 days of water deficit treatment followed by 12 days re-watering period. Drought stress markedly reduced plant leaf area, plant fresh weight, and leaf water content, while increasing dry matter content. Gas exchange traits, including the net photosynthetic rate, transpiration, and stomatal conductance, declined significantly, whereas the intercellular CO2 concentration increased under drought stress and gradually decreased during the recovery period, indicating a transition from stomatal to non-stomatal limitation of photosynthesis. CF parameters, particularly Fv/Fm and Fv/F0, decreased under drought but gradually recovered upon re-irrigation, which indicated reversible photoinhibition of photosystem II. Following re-irrigation, the two cultivars showed distinct recovery dynamics. ‘Bulam3ho’ recovered more rapidly in terms of growth, development, and photosynthetic activity, whereas ‘Hwipalam’ recovered slowly with greater photochemical stability. These results demonstrate distinct recovery strategies between the two cultivars, reflecting their different physiological responses to drought. Moreover, significant correlations among CF indices, gas exchange traits, and morphological parameters demonstrate that CF imaging parameters serve as reliable and non-destructive indicators of drought response and recovery. These findings highlight the potential of CF-based phenotyping for high-throughput screening and breeding of drought-resilient kimchi cabbage cultivars.
- COLLAPSE
본 연구는 배추의 내건성 평가지표 개발을 위해 엽록소 형광 이미지 파라미터, 형태 및 생리적 특성을 활용하여 유묘기 배추의 건조 스트레스 후 회복을 평가하였다. ‘불암3호’와 ‘휘파람’ 두 품종을 이용하여, 5일동안 단수처리 후 재관수 후, 12일간 회복기간을 가졌다. 건조 스트레스는 엽면적, 생체중, 엽수분함량을 감소시켰으나, 건물함량은 증가하였다. 순광합성률, 증산률, 기공전도도는 건조 스트레스에 따라 유의하게 감소하였고, 엽육세포 내의 CO2 농도는 증가한 뒤 회복기에 점차 감소하여, 이는 광합성 제한요인이 기공적 요인(stomatal limitation)에서 비기공적 요인(non-stomatal limitation)으로 전환된 것으로 판단하였다. 엽록소 형광 파라미터 중 Fv/Fm과 Fv/Fo는 건조 스트레스에 따라 감소하였으나, 재관수 후 점차 회복되어 광계II의 가역적 광저해(photoinhibition)를 나타냈다. 회복 양상은 품종 간에 차이를 나타냈고, ‘불암3호’는 생육과 광합성 지표에서 빠른 회복을 보였으며, ‘휘파람’은 회복속도는 느리지만 광화학적 안정성이 더 크게 나타냈다. CF 파라미터는 형태적 및 생리적 특성과 높은 상관관계를 보였고, 건조 스트레스 및 회복 평가에 있어 객관적이고 신뢰할 수 있는 평가지표로서 활용 가능성을 나타냈으며, 이는 고속대량 피노타이핑(High-throughput phenotyping) 기술을 활용한 내건성 품종 선발 및 육성에 기여할 수 있을 것으로 판단된다.
-
Application of Chlorophyll Fluorescence Imaging for Assessing the Recovery of Kimchi Cabbage Seedlings from Drought Stress
-
Original Articles

-
Differences in Growth after Transplanting of Kimchi Cabbage Seedlings Assessed using Image-Based Non-Destructive Grading
영상 기반 비파괴 등급화에 따른 배추 묘의 정식 후 생장 비교
-
Sehui Ban, Yurina Kwack
반세희, 곽유리나
- Kimchi cabbage (Brassica rapa L. ssp. pekinensis) is the most widely consumed vegetable crop in Korea. The production of vigorous …
배추(Brassica rapa L. ssp. pekinensis)는 한국에서 가장 많이 소비되는 채소 작물로, 건강한 묘 생산은 정식 후 안정적인 생육을 보장하기 위해 …
- Kimchi cabbage (Brassica rapa L. ssp. pekinensis) is the most widely consumed vegetable crop in Korea. The production of vigorous seedlings is essential in vegetable cultivation to ensure stable post-transplant growth, highlighting the need for technologies that enable rapid, objective, and non-destructive assessment. This study aimed to evaluate seedling growth of kimchi cabbage using image analysis and to determine differences in early growth after transplanting among image-based seedling grades. To induce variation in seedling growth, kimchi cabbage (cv. ‘Cheongmyeonggaeul’) seedlings were cultivated in plug trays with 72, 105, 128, 162, and 200 cells for 25 days after sowing, and then transplanted into pots. Before transplanting, images were acquired to calculate projected canopy size (PCS). PCS values allowed highly accurate prediction of leaf area and shoot fresh weight, and seedlings were subsequently classified into three grades (A-C). At 49 days after transplanting, growth responses differed by seedling grade: grade C seedlings exhibited delayed growth, whereas grades A and B showed comparable growth. These results suggest that PCS enables non-destructive estimation of seedling growth and that image analysis can be applied to select high-quality kimchi cabbage seedlings for transplanting.
- COLLAPSE
배추(Brassica rapa L. ssp. pekinensis)는 한국에서 가장 많이 소비되는 채소 작물로, 건강한 묘 생산은 정식 후 안정적인 생육을 보장하기 위해 필수적이다. 이에 따라 신속하고 객관적이며 비파괴적인 평가 기술의 필요성이 강조되고 있다. 본 연구는 영상 분석을 활용하여 배추 묘의 생장을 평가하고, 영상 기반 등급에 따른 정식 후 초기 생장 차이를 규명하고자 하였다. 청명가을 품종의 배추를 72, 105, 128, 162, 200구 플러그 트레이에서 파종 후 25일간 육묘한 뒤 포트에 정식하였으며, 정식 전 촬영한 영상을 통해 투영 캐노피 크기(PCS)를 계산하였다. PCS는 엽면적과 지상부 생체중을 높은 정확도로 예측하였고, 이를 바탕으로 묘를 A–C의 세 등급으로 분류하였다. 정식 후 초기에는 모종의 생장 차이가 그대로 반영되었으나, 정식 후 49일에는 A와 B등급 묘 간의 생장 차이는 사라졌고, C등급 묘는 지속적으로 생장이 지연되는 결과를 보였다. 이러한 결과는 PCS가 묘의 생육을 비파괴적으로 추정할 수 있음을 보여주며, PCS 기반의 기준을 설정하여 정식에 적합한 고품질 배추 묘를 선별하는 데 영상 분석이 효과적으로 활용될 수 있음을 시사한다.
-
Differences in Growth after Transplanting of Kimchi Cabbage Seedlings Assessed using Image-Based Non-Destructive Grading
-
Original Articles

-
Non-Destructive Estimation of Leaf Area, Fresh Weight, and Dry Weight in Leafy Vegetables Using Image Analysis
이미지 분석을 이용한 엽채류의 엽면적, 생체중 및 건물중의 비파괴적 추정
-
Min Hyeok Baek, In Seon Kim, Jung Su Jo
백민혁, 김인선, 조정수
- This study was conducted to develop a non-destructive biomass prediction model for the efficient management of crop growth. Top view and side …
본 연구는 작물 생육을 효율적으로 관리하기 위한 비파괴적 바이오매스 예측 모델을 개발하고자 수행되었다. 케일과 상추의 상단면 및 측면 이미지를 촬영하여 ImageJ로 엽면적, …
- This study was conducted to develop a non-destructive biomass prediction model for the efficient management of crop growth. Top view and side view images of kale and lettuce were captured, and data such as leaf area, width, and height were extracted using ImageJ. A regression model was constructed using these as independent variables and the measured fresh and dry weight as dependent variables, with performance evaluated by the coefficient of determination (R2) and root mean square error (RMSE). For leaf area estimation, the rosette-structured lettuce showed a strong correlation from both top view (R2 = 0.964) and side view (R2 = 0.95) images. In contrast, the upright-structured kale showed a high correlation only from the side view (R2 = 0.876), demonstrating that the crop’s morphology determines the optimal viewing angle. For fresh and dry weight prediction, kale showed high predictive accuracy with the side view image model (DW: R2 = 0.859-0.941, FW: R2 = 0.860-0.946), whereas lettuce showed significantly more stable and higher accuracy with the top-view image model (DW: R2 = 0.920-0.968, FW: R2 = 0.870-0.953). A model combining top view and side view images greatly improved the accuracy for kale, which had weak predictability, but had little effect on the accuracy for lettuce, which was already well-predicted from a single direction. Ultimately, the combined side and top view model for kale and the top view only model for lettuce were selected as the optimal models for biomass prediction, proving the importance of a non-destructive prediction method tailored to the structural characteristics of the crop.
- COLLAPSE
본 연구는 작물 생육을 효율적으로 관리하기 위한 비파괴적 바이오매스 예측 모델을 개발하고자 수행되었다. 케일과 상추의 상단면 및 측면 이미지를 촬영하여 ImageJ로 엽면적, 가로폭, 세로폭 등의 데이터를 추출하였다. 이를 독립변수, 실측 생체중과 건물중을 종속변수로 하여 회귀 모델을 구축하고, 결정계수(R2)와 평균 제곱근 오차(RMSE)로 성능을 평가하였다. 엽면적 추정 시, 로제트형 구조의 상추는 상단면과 측면 이미지 모두에서 강한 상관관계(TV: R2 = 0.964, SV: R2 = 0.95)를 보였던 반면, 직립형 구조의 케일은 측면 이미지에서만 높은 상관관계(R2 = 0.876)를 보여 작물의 형태가 최적의 촬영 각도를 결정함을 보여주었다. 생체중 및 건물중 예측 시, 케일은 측면 이미지 모델이 예측 정확도가 높았던(DW: R2 = 0.859-0.941, FW: R2 = 0.860-0.946) 반면, 상추는 상단면 이미지 모델이 월등히 안정적이고 높은 예측 정확도(DW: R2 = 0.920-0.968, FW: R2 = 0.870-0.953)를 보였다. 상단면과 측면 이미지를 결합한 모델은 예측력이 약했던 케일의 정확도를 크게 향상시킨 반면, 단일 촬영 방향으로도 예측이 잘 되었던 상추의 정확도에는 거의 영향을 미치지 않았다. 최종적으로 케일은 상·측면 결합(SV+TV) 모델이, 상추는 상면(TV) 단독 모델이 바이오매스 예측을 위한 최적 모델로 선정되어, 작물의 구조적 특성에 맞는 비파괴적 예측 방법이 중요함을 입증했다.
-
Non-Destructive Estimation of Leaf Area, Fresh Weight, and Dry Weight in Leafy Vegetables Using Image Analysis
-
Original Articles

-
A Study on the Prediction of Pressure Drop in Agricultural Windbreak Nets with Diagonal Weaves
사선 방향 직조를 갖는 농업용 방풍망의 압력강하 예측 연구
-
Seung-Hee Kang, Sung-Hyun Yum
강승희, 염성현
- This study investigates the engineering applicability of a method for predicting the pressure drop across agricultural windbreak nets with diagonal weave patterns. …
망 격자 내부에 사선 방향 직조 패턴이 포함된 농업용 방풍망에 대하여 영상이미지 처리 기법으로 폐쇄율을 구하고 이를 Idel’chik 경험식에 적용하여 압력강하 예측 …
- This study investigates the engineering applicability of a method for predicting the pressure drop across agricultural windbreak nets with diagonal weave patterns. The blockage rate of the nets is determined using an image processing technique and then applied it to the Idel’chik’s formula. The predictions using the Idel’chik formula showed good agreement with wind tunnel test data, particularly for nets with a low blockage rate at low wind speeds. The airflow passing through the nets generally exhibited a pressure drop proportional to the square of the wind speed. However, a steep increase in pressure drop was observed for nets with a high blockage rate, whereas those with a low blockage rate showed a more gradual increase. The pressure loss coefficient tended to increase as velocity decreased at low speeds, while it converged to a constant value at wind speeds above 5 m·s-1. To improve the predictive accuracy of the Idel’chik’s formula, especially for nets with diverse weave patterns and high blockage rates, further research is required. This should include experiments on various weave patterns and additional consideration of factors such as thread twist and net deformation.
- COLLAPSE
망 격자 내부에 사선 방향 직조 패턴이 포함된 농업용 방풍망에 대하여 영상이미지 처리 기법으로 폐쇄율을 구하고 이를 Idel’chik 경험식에 적용하여 압력강하 예측 방법의 공학적 유용성을 확인하였다. Idel’chik 경험식에 의한 예측 결과와 풍동시험 결과를 비교하여 낮은 폐쇄율을 갖는 경우 낮은 풍속에서는 매우 정확한 예측 결과를 보임을 확인할 수 있었다. 또한 방풍망을 통과하는 흐름은 풍속의 제곱에 비례하는 압력강하 특성을 보이지만 높은 폐쇄율을 갖는 방풍망의 경우 급격한 압력강하가 발생되는 반면 낮은 폐쇄율의 방풍망은 풍속에 따른 압력강하가 상대적으로 완만하게 발생됨을 확인할 수 있었다. 방풍망의 손실계수는 저속에서는 속도가 감소함에 따라 증가하는 경향을 보였으며 5m·s-1 이상에서는 풍속이 증가할수록 일정한 값에 수렴해 가는 경향을 보였다. Idel’chik 경험식이 다양한 직조 패턴 및 높은 폐쇄율을 갖는 방풍망 그룹까지 정확한 압력강하를 예측하기 위해서는 다양한 직조 패턴에 대한 실험과 실의 꼬임 정도와 망의 변형 등에 대한 추가적인 연구가 필요할 것으로 판단된다.
-
A Study on the Prediction of Pressure Drop in Agricultural Windbreak Nets with Diagonal Weaves
-
Original Articles

-
Effects of Seedling Damage Factors on the Growth of Cabbage for Mechanized Transplanting
기계 정식을 위한 배추 육묘의 손상 요인별 생육 영향
-
Won Kyung Kim, Jae Won Eo, Kyeong Sik Choi, Youn Koo Kang, Seok Ho Park, Chang Uk Cheon
김원경, 어재원, 최경식, 강연구, 박석호, 천창욱
- Since mechanical extraction during automatic transplanting may cause seedling damage, this study aimed to evaluate the effects of different seedling damage factors …
자동정식 과정에서 기계적 취출 시 묘의 손상이 발생할 수 있기 때문에, 본 연구는 기계이식의 가능성을 평가하기 위해 배추묘의 손상 요인(엽손상 및 뿌리·상토손상)이 …
- Since mechanical extraction during automatic transplanting may cause seedling damage, this study aimed to evaluate the effects of different seedling damage factors (leaf and root injuries in the tray) on the growth performance of cabbage seedlings to assess the feasibility of mechanized transplanting. Cabbage seedlings grown for 19, 26, and 33 days were subjected to three treatments: normal seedlings, seedlings with leaf damage (leaves cut below 40 mm), and seedlings with root and soil damage (bottom parts trimmed by 10 mm). Growth parameters were measured three and four weeks after transplanting. Statistical analysis revealed no significant differences between normal and leaf-damaged seedlings, whereas root-damaged seedlings showed slightly enhanced leaf growth. These results suggest that cabbage seedlings subjected to moderate mechanical injury during automated transplanting remain suitable for mechanized field establishment. Therefore, mechanized transplanting systems that induce only limited seedling damage could potentially replace manual transplanting without compromising plant vigor.
- COLLAPSE
자동정식 과정에서 기계적 취출 시 묘의 손상이 발생할 수 있기 때문에, 본 연구는 기계이식의 가능성을 평가하기 위해 배추묘의 손상 요인(엽손상 및 뿌리·상토손상)이 생육에 미치는 영향을 분석하였다. 19일, 26일, 33일 동안 육묘된 배추묘를 정상묘, 엽손상 처리묘(40mm 이하로 절단), 뿌리·상토손상 처리묘(하단부 10mm 절단)의 세 처리로 구분하였다. 이식 후 3주 및 4주에 생육 특성을 조사하였다. 통계 분석 결과, 정상묘와 엽손상묘 간에는 유의한 차이가 없었으나, 근권손상묘는 약간 향상된 엽생장을 보였다. 이러한 결과는 자동이식 과정에서 발생하는 경미한 기계적 손상이 배추묘의 활착 및 생육에 큰 영향을 미치지 않음을 시사하며, 제한적인 묘 손상이 동반되는 기계이식 시스템도 인력 이식을 대체할 수 있는 가능성을 보여준다.
-
Effects of Seedling Damage Factors on the Growth of Cabbage for Mechanized Transplanting
-
Original Articles

-
Growth and Fruit Characteristics of Seedless Watermelon Plants under Different Light Intensity Levels
광량 수준에 따른 씨 없는 수박 식물체 생육과 과실 특성
-
Seung Mi Woo, Ji Heon Seo, Ju Hyung Jeong, Ho Cheol Kim
우승미, 서지헌, 정주형, 김호철
- This study was conducted to investigate the effects of different light environments on the vegetative and reproductive growth of seedless watermelon ( …
본 연구는 광 환경 차이가 씨 없는 수박(Citrullus lanatus Thunb.)의 생육 및 생식 생장, 특히 암꽃 착생과 과실 특성에 미치는 …
- This study was conducted to investigate the effects of different light environments on the vegetative and reproductive growth of seedless watermelon (Citrullus lanatus Thunb.), particularly on female flower initiation and fruit characteristics. The experiment was carried out in an unheated multi-span greenhouse at the Watermelon Research Station, Jeollabuk-do Agricultural Research and Extension Services, using the small-fruited seedless cultivar ‘Black Boy’. Five light treatments were applied: natural light (NL), 70% and 30% shading of NL, and supplemental lighting (SL) at 120 and 240 PPFD. Air temperature and light intensity inside and outside the greenhouse were automatically recorded every 30 minutes from the first pollination to the pre-harvest period. Plant growth parameters and female flower occurrence were monitored weekly. The number of female flowers was most stable under the natural light condition and significantly decreased under shaded conditions. In particular, the 70% shading treatment resulted in the lowest number of female flowers throughout the experiment, whereas under the 240 PPFD supplemental lighting treatment, more than 3.5 female flowers per plant were observed around 40 days after transplanting. Under the greenhouse conditions of this study, fruit enlargement was markedly reduced under shading compared with the control, while no significant differences were observed among the supplemental lighting treatments. These results suggest that basic light conditions strongly influence reproductive growth and female flower differentiation. Therefore, in the cultivation of small and medium sized seedless watermelon under low light conditions, supplemental lighting can be effective in improving fruit set rate and subsequent fruit enlargement.
- COLLAPSE
본 연구는 광 환경 차이가 씨 없는 수박(Citrullus lanatus Thunb.)의 생육 및 생식 생장, 특히 암꽃 착생과 과실 특성에 미치는 영향을 규명하고자 수행되었다. 전라북도농업기술원 수박시험장 내 무가온 연동형 온실에서 소과종 씨 없는 수박 ‘블랙보이(Black Boy)’를 대상으로 자연광(NL), NL의 70% 및 30% 차광, 그리고 보광(Supplemental Light, SL) 120 및 240μmol·m-2·s-1의 총 5처리로 실험을 수행하였다. 온실 내·외부의 기온과 광량은 정식 후 첫 수정 시기부터 과실 수확 전까지 30분 간격으로 자동 저장되었으며, 식물체 생육 조사 및 암꽃 발생 관찰은 일주일 간격으로 측정하였다. 암꽃 발생 수는 자연광 조건에서 가장 안정적으로 나타났으며, 차광 처리 시 유의하게 감소하였다. 특히 70% 차광 처리구는 실험 기간 동안 가장 낮은 암꽃 발생 수였으며, 보광 처리구 중 240 PPFD 조건에서는 정식 후 40일 전후에 주당 평균 3.5개 이상의 암꽃이 발생하였다. 본 시험의 온실 환경 조건에서 과실비대는 대조구와 차광 처리구 간 뚜렷하게 감소하였으나 보광 처리구에서는 뚜렷한 차이를 나타내지 않았다. 이 결과는 기본으로 광량 조건이 생식 생장 유도 및 암꽃 분화에 영향을 미친다는 것을 나타낸다. 따라서 씨 없는 중·소형 수박 재배 시 저광 조건에서 보광은 착과율 증대와 이에 따른 과실비대에 효과가 있다고 판단된다.
-
Growth and Fruit Characteristics of Seedless Watermelon Plants under Different Light Intensity Levels
-
Original Articles

-
Effect of Exogenous Application of Glutamic Acid on Alleviation of Drought Stress in Garlic (Allium sativum L.)
글루탐산 처리가 마늘의 건조 스트레스 경감에 미치는 효과
-
Jinhyoung Lee, Seunghwan Wi, Taecheol Seo, Seonghoe Jang, Heeju Lee
이진형, 위승환, 서태철, 장성회, 이희주
- This study investigated the effects of foliar application of glutamic acid under drought stress on the growth, photosynthetic performance, and physiological responses …
본 연구는 건조 스트레스 조건에서 글루탐산의 경엽처리가 마늘의 생장, 광합성 특성 및 생리활성 반응에 미치는 영향과 적정 농도를 구명하고자 하였다. 건조 스트레스 …
- This study investigated the effects of foliar application of glutamic acid under drought stress on the growth, photosynthetic performance, and physiological responses of garlic (Allium sativum L.), with the goal of identifying the optimal concentration. After drought stress treatment (no-irrigation), glutamic acid was applied at concentrations of 10, 80, and 169 mg·L-1 twice at 7-day intervals. Treatments increased photosynthetic rate, stomatal conductance, intercellular CO2 concentration, and transpiration compared with the untreated control, with the highest values observed after the first application. On average, the photosynthetic rate increased by 20-40%, with the 80mg·L-1 treatment showing the strongest effect. Activities of antioxidant enzymes (APX, CAT, and SOD) were also highest at 80mg·L-1, exhibiting ≈30% greater activity than the control. Measurements of MDA content and root activity further supported the positive effect of glutamic acid treatment (80mg·L-1) against drought stress. Growth parameters consistently increased, with bulb weight reaching 11.1g in the 80mg·L-1 group compared to 8.5g in the control. Overall, foliar application of glutamic acid enhanced growth, photosynthetic efficiency, and antioxidant defense in garlic under drought stress, with 80 mg·L-1 identified as the optimal concentration.
- COLLAPSE
본 연구는 건조 스트레스 조건에서 글루탐산의 경엽처리가 마늘의 생장, 광합성 특성 및 생리활성 반응에 미치는 영향과 적정 농도를 구명하고자 하였다. 건조 스트레스 처리 후 글루탐산(Glu; 10, 80, 169mg·L-1)을 각각 7일 간격으로 2회 엽면살포 하였다. 글루탐산 처리 시 마늘의 광합성 속도, 기공전도도, 세포내 CO2 농도 및 증산속도는 무처리 대비 증가하였고, 1회차 처리시 효과가 높았다. 광합성 속도는 무처리 대비 평균 20-40% 이상 증가하였고, Glu80 처리가 가장 높았다. 항산화 효소 활성 분석 결과 1회차 처리시 APX, CAT 및 SOD 활성은 Glu80 처리가 가장 높았고, 무처리 대비 평균 30% 정도 높은 활성을 보였다. MDA 함량과 근활력을 측정한 결과 Glu80 처리가 Glu를 엽면살포 하지 않은 건조 처리와 유의한 차이를 보였다. 마늘의 생육 특성은 전반적으로 증가하는 경향을 보였으며, 구중은 Glu80 처리가 11.1g으로 무처리 8.5g에 비해 가장 무거웠다. 따라서, 건조스트레스 조건에서 글루탐산 경엽 처리는 마늘의 생육, 광합성 특성 및 항산화 효소 활성을 증대시켜 스트레스 피해를 완화하였고, 적정 농도는 80mg·L-1으로 판단된다.
-
Effect of Exogenous Application of Glutamic Acid on Alleviation of Drought Stress in Garlic (Allium sativum L.)
-
Original Articles

-
Effect of Micro-Sprinkler Irrigation and Cooling Mulch Film on The Microclimate and Productivity of Kimchi Cabbage During High-Temperature Periods
고온기 미세살수 및 저온성필름 적용에 따른 배추의 재배환경과 생산성 변화
-
Hyo In Yoon, Jin Yu, Seung Hwan Wi, Tae Cheol Seo, Hye Jin Lee, Jin-Hyoung Lee, Me Hea Park, Su-Hyun Choi, Gyu-Hyeon Park
윤효인, 유진, 위승환, 서태철, 이혜진, 이진형, 박미희, 최수현, 박규현
- This study was conducted to evaluate the effects of micro-sprinkler irrigation and cooling mulch film on alleviating heat stress in kimchi cabbage …
본 연구는 고온기에 배추(Brassica rapa L. ssp. pekinensis)의 안정생산을 위해 미세살수와 저온성필름의 고온 스트레스 저감 효과를 평가하였다. 실험1에서는 ‘춘광’과 ‘청명가을’ …
- This study was conducted to evaluate the effects of micro-sprinkler irrigation and cooling mulch film on alleviating heat stress in kimchi cabbage (Brassica rapa L. ssp. pekinensis) during high-temperature periods. Experiment 1 was conducted using two cultivars, ‘Chungwang’ (CG) and ‘Cheongmyeong Gaeul’ (CM), were cultivated under a factorial design of irrigation equipment (impact sprinklers, micro-sprinklers) and mulch film (black film, cooling film). Experiment 2 was performed using CG cabbage only, to compare the cooling effects of micro-sprinkler irrigation applied at different times of day: morning (09:00-11:00), afternoon (13:00-15:00), or night (19:00-21:00). In Experiment 1, the cooling film reduced daily maximum soil temperature by 4.5-6.9°C, compared with black film. Micro-sprinkler irrigation immediately decreased air temperatures decreased by approximately 5°C, and relative humidity reached 70%. Chlorophyll index (SPAD) values were highest under cooling film for CG cabbage, and under micro-sprinkler irrigation for CM cabbage. The maximum photochemical efficiency of PSII (Fv/Fm) of CM cabbage was lowest under black film with impact sprinkler at the early stage, but recovered to over 0.7 after two weeks. Growth performance was improved in both cultivars with micro-sprinkler irrigation. In Experiment 2, afternoon irrigation provided the strongest cooling effect, particularly on days with high solar radiation and air temperature. Irrigation using micro-sprinklers did not affect temperature at night. These results confirmed that micro-sprinkler irrigation and cooling films effectively mitigate heat stress and improve the growing environment of summer cabbage. Further research is needed to develop precise control strategies that regulate temperature while enhancing water use efficiency.
- COLLAPSE
본 연구는 고온기에 배추(Brassica rapa L. ssp. pekinensis)의 안정생산을 위해 미세살수와 저온성필름의 고온 스트레스 저감 효과를 평가하였다. 실험1에서는 ‘춘광’과 ‘청명가을’ 배추를 대상으로 관수장치(임팩트 스프링클러, 미세살수)와 피복자재(흑색필름, 저온성필름)의 요인배치 실험을 수행하였다. 실험2에서는 ‘춘광’ 배추를 대상으로 관수 시점에 따른 미세살수의 냉각 효과를 비교하기 위해 오전(9-11시), 오후(13-15시), 또는 야간(19-21시)에 각각 처리하여 비교하였다. 실험1의 결과, 저온성필름은 일중 최고 지온을 흑색필름 대비 평균 4.5-6.9°C 하강시켰다. 미세살수는 즉각적으로 기온을 약 5°C 하강시켰고, 상대습도를 70%까지 증가시켰다. 엽록소 지수(SPAD)는 ‘춘광’ 배추에서는 저온성 필름 피복 시, ‘청명가을’ 배추에서는 미세살수 적용 시 가장 높았다. 최대 광화학 효율(Fv/Fm)은 생육초기에 흑색필름과 임팩트 스프링클러를 처리한 ‘청명가을’ 배추에서 가장 낮았으나 2주 후 0.7 이상으로 회복했다. 생육 지표는 두 품종 모두 미세살수 처리에서 개선되었다. 실험2의 결과, 오후 관수 시 가장 기온하강 효과가 높았고, 특히 일사량과 기온이 높은 날일수록 그 효과가 증대되었다. 야간 관수 시 미세살수에 의한 온도 변화는 없었다. 본 연구 결과를 통해 미세살수와 저온성필름이 배추의 고온 스트레스를 저감하고 재배환경을 개선에 효과적임을 확인하였다. 향후에는 온도조절뿐만 아니라 물 이용 효율을 함께 높일 수 있는 정밀 제어 기술 개발이 필요하다.
-
Effect of Micro-Sprinkler Irrigation and Cooling Mulch Film on The Microclimate and Productivity of Kimchi Cabbage During High-Temperature Periods
-
Original Articles

-
A Study on Crop Phenotype Prediction by Integrating Environmental Data Collection and AI-Based Data Augmentation Techniques
인공지능 데이터 증강과 환경 요인 분석을 통한 작물 표현형 예측 기법 연구
-
Sung-Woo Byun, Jiho Choi, Uk-Hyeon Yeo
변성우, 최지호, 여욱현
- Global food security challenges require advanced breeding strategies that integrate genomics, phenomics, and artificial intelligence. This study aims to improve phenotype prediction …
전 세계 식량 안보는 기후 변화와 인구 증가로 인해 점점 더 위협받고 있으며, 이를 해결하기 위해서는 유전체학, 표현형학, 인공지능을 통합한 첨단 육종 …
- Global food security challenges require advanced breeding strategies that integrate genomics, phenomics, and artificial intelligence. This study aims to improve phenotype prediction accuracy in tomato breeding by leveraging genotype data augmentation and semi-supervised learning. A total of 192 tomato accessions were cultivated under greenhouse conditions, and genotypic, phenotypic, and environmental data were collected for five key traits: fruit weight, height, width, firmness, and brix. We propose a 1D CNN-based genotype augmentation framework to expand the original dataset and a pseudo-labeling strategy to effectively utilize unlabeled data. Environmental variables such as temperature, humidity, and others were integrated through statistical feature extraction over the growth period to better reflect cultivation conditions. Phenotype prediction was performed using 18 regression models, including both tree-based and deep learning architectures, and the impact of different network structures was comparatively evaluated. Results show that genotype augmentation consistently improved predictive performance, with tree-based models such as LightGBM and CatBoost exhibiting the largest gains. Additional comparisons with state-of-the-art models confirmed the robustness of the proposed approach. These findings providing a practical strategy for data-limited breeding scenarios and scalable integration with multi-omics and environmental datasets.
- COLLAPSE
전 세계 식량 안보는 기후 변화와 인구 증가로 인해 점점 더 위협받고 있으며, 이를 해결하기 위해서는 유전체학, 표현형학, 인공지능을 통합한 첨단 육종 전략이 필요하다. 본 연구는 유전자형 데이터 증강과 반지도 학습을 활용하여 토마토 육종에서의 표현형 예측 정확도를 향상시키는 것을 목표로 한다. 총 192종의 토마토 계통을 온실 환경에서 재배하며, 과중, 높이, 너비, 경도, 당도 등 5가지 주요 형질에 대한 유전자형, 표현형, 환경 데이터를 수집한다. 제안된 1차원 합성곱신경망 기반의 유전자형 데이터 증강 프레임워크는 원본 데이터셋을 확장하고, 라벨이 안된 데이터를 효과적으로 활용하기 위한 수도 라벨링 전략을 도입한다. 또한, 온도, 습도 등 환경 변수는 생육 기간 동안의 통계적 특징값을 추출하여 모델 입력에 통합함으로써 재배 조건을 보다 현실적으로 반영하였다. 표현형 예측은 트리 기반 및 딥러닝 아키텍처를 포함한 다양한 모델을 통해 수행되었으며, 서로 다른 네트워크 구조에 따른 성능을 비교 및 평가한다. 실험 결과, 유전자형 데이터 증강은 전반적으로 예측 성능을 향상시켰으며, 특히 LightGBM과 CatBoost와 같은 트리 기반 모델에서 가장 큰 개선 효과를 보였다. 또한 최신 딥러닝 모델과의 비교 실험을 통해 제안된 접근법의 강건성을 확인한다. 이러한 결과는 제안된 방법이 데이터가 제한된 육종 환경에서도 실질적인 성능 향상을 달성할 수 있는 효과적인 전략임을 보여주며, 향후 멀티오믹스 및 환경 데이터와의 통합을 통해 확장 가능한 디지털 육종 프레임워크로 발전할 가능성을 제시한다.
-
A Study on Crop Phenotype Prediction by Integrating Environmental Data Collection and AI-Based Data Augmentation Techniques
-
Original Articles

-
Automated Reporting Framework for Regional Crop Conditions Using Multi-Source Data and Crop Modeling
다중출처 데이터와 작물모형을 활용한 지역 단위 작황 현황 자동 보고 서비스 개발
-
Solhee Kim, Jaeyoung Jung, Seungwon Seok, Taegon Kim
김솔희, 정재영, 석승원, 김태곤
- Monitoring crop conditions in open-field agriculture is increasingly important under climate variability and market uncertainty. Conventional approaches relying on either weather statistics, …
기후 변동성과 시장 불확실성이 심화되는 상황에서 노지 작물의 작황 모니터링은 점차 중요성이 커지고 있다. 기상자료 통계분석, 원격탐사기반 식생지수, 작물모형 중 하나에만 의존하는 …
- Monitoring crop conditions in open-field agriculture is increasingly important under climate variability and market uncertainty. Conventional approaches relying on either weather statistics, remote sensing indices, or crop models alone provide partial insights but lack an integrated perspective. This study aims to develop an automated reporting service for regional crop condition monitoring by integrating multi-source data and crop modeling. The framework consists of three main components: (1) weather data analysis (e.g., temperature, precipitation) for environmental characterization, (2) vegetation indices derived from satellite imagery to assess crop status, and (3) potential yield estimation using the APSIM crop model. These data streams are automatically processed and synthesized into regional-scale crop condition reports, which include spatially explicit maps, time-series trends, and yield forecasts. Validation with statistical production data demonstrated that the APSIM-based potential yield estimation has significant predictive capability at the provincial level. The proposed system highlights the potential of combining heterogeneous data sources into an automated reporting pipeline, thereby supporting agricultural decision-making, policy development, and timely responses to climate and market risks.
- COLLAPSE
기후 변동성과 시장 불확실성이 심화되는 상황에서 노지 작물의 작황 모니터링은 점차 중요성이 커지고 있다. 기상자료 통계분석, 원격탐사기반 식생지수, 작물모형 중 하나에만 의존하는 기존 모니터링 접근법은 부분적인 정보만 제공할 뿐, 현장상황을 종합적으로 판단하여 제시하지 못하는 한계가 있다. 본 연구는 다중출처 데이터와 작물모형을 통합하여 지역 단위 작황 모니터링을 자동으로 수행하는 보고 서비스 개발을 목표로 한다. 제안하는 서비스는 (1) 기상자료 분석을 통한 환경 특성 평가, (2) 위성영상을 활용한 식생지수 산출을 통한 실시간 생육 상태 진단, (3) 작물모형을 활용한 기상환경에 따른 잠재 생산량 추정의 세 요소로 구성된다. 이러한 데이터는 파이프라인을 통해 자동으로 처리하여 그 결과가 지도, 시계열 변화, 생산량 예측을 포함한 지역 단위 작황 보고서로 생성되도록 시스템을 개발하였다. 잠재생산량은 생산량 통계 자료와의 비교 검증을 통해 작물모형(APSIM)을 활용한 잠재 생산량 추정치가 유의한 수준임을 확인하였다. 본 연구에서 제안한 체계는 다양한 출처에서 생산되는 데이터를 자동화된 보고 파이프라인으로 통합함으로써 농업 의사결정, 정책 수립, 기후 및 시장 위험에 대한 신속한 대응을 지원할 수 있는 의사지원시스템의 주요 구성요소로 기여할 것이다.
-
Automated Reporting Framework for Regional Crop Conditions Using Multi-Source Data and Crop Modeling
-
Original Articles

-
Effects of Shading Net Types on Light Quality, Growth and Flowering Characteristics of ‘Sulhyang’ Strawberry plantlets
차광막 종류에 따른 광질 변화와 ‘설향’ 딸기 묘의 생육 및 개화 특성
-
Su-Hyun Choi, Kyoung Hee Lee, Deog-Bae Lee, Dae Young Kim, Seon Yi Lee, Me Hea Park, Hyo In Yoon, Gyu-Hyeon Park
최수현, 이경희, 이덕배, 김대영, 이선이, 박미희, 윤효인, 박규현
- This study investigated the effects of shading materials on the production of high-quality strawberry (Fragaria × ananassa Duch. cv. ‘Sulhyang’) plantlets …
본 연구는 여름철 고온기 ‘설향’ 딸기(Fragaria × ananassa Duch. cv. ‘Sulhyang’) 육묘 과정에서 우량묘 생산과 꽃눈분화 촉진을 위한 차광재 선택 효과를 …
- This study investigated the effects of shading materials on the production of high-quality strawberry (Fragaria × ananassa Duch. cv. ‘Sulhyang’) plantlets and flower bud differentiation during the high-temperature summer season in a South Korean greenhouse. Black and white shading films were applied over 4 months, and the internal light environment, temperature, growth, and flowering characteristics were compared. The black shading film reduced greenhouse temperatures more effectively, but the white shading film increased photosynthetic photon flux density (PPFD) by 91% and altered the light spectrum, reducing blue wavelengths and enhancing red wavelengths. Compared to the black shading film, the white shading film produced shorter plants but higher fresh and dry weights of root parts, 13% larger crown diameters, and a 47% higher flower bud differentiation rate. These results indicate that white shading nets improve the light environment, promoting high-quality nursery production and early flowering. This approach could enhance commercial strawberry production by enabling earlier harvests and increasing farmer profitability.
- COLLAPSE
본 연구는 여름철 고온기 ‘설향’ 딸기(Fragaria × ananassa Duch. cv. ‘Sulhyang’) 육묘 과정에서 우량묘 생산과 꽃눈분화 촉진을 위한 차광재 선택 효과를 구명하고자 수행되었다. 단동 온실 내에 검정 차광막과 백색 차광막을 각각 피복하여 하우스 내부의 광환경, 온도, 딸기묘 생육 및 개화 특성을 비교하였다. 실험 결과, 하우스 내부 온도 저감 효과는 검정 차광막이 더 우수하였으나, 광합성 유효광량자속밀도(PPFD)는 백색 차광이 검정색 차광막보다 91% 높았다. 백색 차광은 청색 파장 비율은 낮추고 적색 파장 비율은 높이는 광질 변화 효과를 나타냈다. 생육 특성 조사 결과, 백색 차광막 처리구는 검정 차광막 처리구에 비해 초장, 엽병장, 엽폭은 짧았으나, 지하부 생체중과 건물중, 관부직경 등에서 높은 값을 나타내는 우량묘가 생산되었다. 특히, 백색 차광막 처리구의 꽃눈분화율은 검정색 차광막 처리구보다 47% 높아, 꽃눈분화 촉진에 효과적임을 확인하였다. 본 연구 결과, 여름철 딸기 육묘 시 백색 차광막을 활용할 경우 광환경 개선을 통해 고품질 묘 생산과 조기 개화 유도에 효과적일 것으로 판단된다.
-
Effects of Shading Net Types on Light Quality, Growth and Flowering Characteristics of ‘Sulhyang’ Strawberry plantlets
-
Original Articles

-
Exogenous Ethanol Application Enhances Drought Tolerance and Fruit Quality in Melon (Cucumis melo L.) Across Seasons
외인성 에탄올 처리에 따른 계절별 멜론(Cucumis melo L.)의 가뭄 내성 및 과일 품질 변화
-
Ji-won Bae, Jun-young Kwak, Jong-seok Park
배지원, 곽준영, 박종석
- The exogenous application of ethanol has been reported to enhanced plant tolerance to various abiotic stresses. Most of these findings have been …
에탄올의 외생적 처리는 다양한 비생물적 스트레스에 대한 식물의 내성을 향상시키는 것으로 보고되어 왔으나, 이러한 결과의 대부분은 엽체류나 타 모델식물에 한정되어 있었으며, 과실을 …
- The exogenous application of ethanol has been reported to enhanced plant tolerance to various abiotic stresses. Most of these findings have been derived from studies on leafy vegetables and model species, whereas fruit-bearing horticultural crops have received comparatively little attention. In particular, the effect of ethanol on melon (Cucumis melo L.), a major fruit vegetable, remain largely unexplored. In this study, melon plant was irrigated with nutrient solutions supplemented with ethanol at varying concentration (0, 25, 50, and 100mM) prior to imposition of drought stress. Morphological traits, leaf physiological responses and fruit characteristics were subsequently assessed during both spring and summer growing season. Gas-exchange parameter (photosynthetic rate, stomatal conductance, and transpiration rate) initially decreased with increasing ethanol concentration within 6 hours after drought stress, but gradually recovered within 24h, exhibiting consistent patterns across both seasons. Notable seasonal variation was observed in fruit attributes: in spring, soluble solids content (°Brix) and antioxidant compounds increased progressively with ethanol concentration, whereas in summer the highest °Brix was recorded at 50mM, and neither total phenolic content nor DPPH radical-scavenging activity differed significantly among treatments, except for the lowest value in the control. These findings suggest that ethanol application enhances stress perception and promotes sugar accumulation as well as antioxidant capacity in melon fruit, thereby providing a potential strategy to improve fruit quality under drought conditions.
- COLLAPSE
에탄올의 외생적 처리는 다양한 비생물적 스트레스에 대한 식물의 내성을 향상시키는 것으로 보고되어 왔으나, 이러한 결과의 대부분은 엽체류나 타 모델식물에 한정되어 있었으며, 과실을 맺는 원예작물에 대한 연구는 상대적으로 부족하다. 특히 주요 과채류인 멜론(Cucumis melo L.)에서의 애탄올 효과는 아직 충분히 규명되지 않았다. 본 연구에서는 멜론에 가뭄 스트레스를 부여하기 전에 에탄올이 각각 0, 25, 50, 100mM 농도로 첨가된 양액을 관주 처리하고, 봄과 여름 두 생육시기에 걸쳐 형태적 특성, 잎의 생리 반응 및 과실 특성을 평가하였다. 그 결과, 광합성률, 가공전도도, 증산률 등 가스 교환 생리 지표는 가뭄 스트레스 개시 6시간 이내에 에탄올 농도 증가에 따라 일시적으로 감소하였으나 24시간 내 회복되어 계절 간 유사한 경향을 보였다. 과실 특성에서는 계절적 변이가 뚜렸하였으며, 봄에는 에탄올 농도 증가에 따라 가용성 고형물 함량 (°Brix)과 항산화 물질 함량이 지속적으로 증가한 반면, 여름에는 50mM 처리구에서 가장 높은 °Brix가 나타났고 총 페놀 함량과 DPPH 라디칼 소거 활성은 대조구를 제외한 처리 간 유의한 차이가 없었다. 이러한 결과는 에탄올 처리가 식물의 스트레스 인지를 강화하고 멜론 과실의 당 축적 및 항산화 능력을 증진시켜 가뭄 조건에서 과실 품질 향상을 위한 잠재적 전략이 될 수 있음을 시사한다.
-
Exogenous Ethanol Application Enhances Drought Tolerance and Fruit Quality in Melon (Cucumis melo L.) Across Seasons
-
Original Articles

-
Effects of Pressure on Kale Growth in Sealed Environments
밀폐공간 내 압력이 케일의 생육에 미치는 영향
-
Jeong-In Choi, Jung-Hoo Kook, Sang-Min Kim, Oluwasegun Moses Ogundele, Hyeon-Tae Kim
최정인, 국중후, 김상민, 오군델레올루와세군 모세스, 김현태
- Growing interest in long-duration space missions and extraterrestrial colonization has driven the development of reliable space agriculture systems essential for sustaining life …
장기 우주 임무와 우주 농업에 대한 관심이 커짐에 따라 이러한 임무 중 생명 유지에 필수적인 신뢰성 높은 우주 농업 시스템의 개발이 요구되고 …
- Growing interest in long-duration space missions and extraterrestrial colonization has driven the development of reliable space agriculture systems essential for sustaining life during these missions. However, the effects of environmental stressors such as low atmospheric pressure on plant growth have not yet been fully elucidated, which is crucial for the design of bioregenerative life support systems. This study investigated the growth responses of kale (Brassica oleracea var. acephala) under different pressure conditions (101.3, 67, and 33.0 kPa) in a closed environment, simulating potential extraterrestrial habitats. Two weeks after germination, kale plants were cultivated in custom-made acrylic pressure chambers for 19 days. Water (20 mL) was supplied on days 1 and 9. Leaf length, leaf width, and chlorophyll content were measured on days 1, 9, and 19. No significant differences were observed among the groups on day 1 (p > 0.05). However, by day 9, significant increases in leaf growth were observed in groups A (101.3 kPa) and B (67 kPa), with group B showing temporary enhancement of leaf growth (p < 0.05). By day 19, group A exhibited the highest growth rates for all parameters (leaf length 44.72 ± 2.74 mm, leaf width 39.19 ± 5.99 mm), while group B maintained relatively high growth, and group C (33 kPa) displayed the lowest growth rates, indicating a tendency for growth inhibition under prolonged hypobaric conditions. Chlorophyll content (SPAD values) increased during the early stages, with the highest values recorded in group C, suggesting that low pressure may temporarily stimulate chlorophyll preservation and accumulation. However, by day 19, chlorophyll content decreased across all groups, indicating challenges in maintaining photosynthetic capacity over the long term. These findings suggest that while low-pressure environments may initially promote physiological activity, they ultimately lead to growth inhibition. This study highlights the importance of maintaining appropriate pressure levels for space-based crop cultivation and provides foundational data for designing bioregenerative life support systems.
- COLLAPSE
장기 우주 임무와 우주 농업에 대한 관심이 커짐에 따라 이러한 임무 중 생명 유지에 필수적인 신뢰성 높은 우주 농업 시스템의 개발이 요구되고 있다. 그러나 저기압과 같은 환경 스트레스 요인이 식물 생장에 미치는 영향은 아직 완전히 규명되지 않았으며 이는 생물재생 생명 유지 시스템 설계의 있어 핵심적인 기초자료가 된다. 본 연구에서는 밀폐된 환경에서 서로 다른 기압 조건(101.3, 67, 33kPa)에서 케일(Brassica oleracea var. acephala)의 생장 반응을 정량적으로 분석하였다. 발아 2주 후 맞춤형 아크릴 압력 챔버에서 19일간 재배되었으며 1일차와 9일차에는 물(20mL)을 공급하였다. 엽장, 엽폭, 엽록소 함량은 1, 9, 19일차에 측정되었다. 1일차에는 유의한 차이가 없었지만(p > 0.05), 9일차에는 A 그룹(101.3kPa)과 B 그룹(67kPa)에서 유의미한 생장 증진이 나타났고 특히 B 그룹에서 일시적 생장 향상이 관찰되었다(p <0.05). 19일차에는 A 그룹이 가장 높은 생장을 보였으며(잎 길이 44.72 ± 2.74mm, 잎 폭 39.19 ± 5.99mm), B 그룹은 비교적 높은 생장을 유지하였고 C 그룹(33kPa)은 가장 낮은 생장을 보였다. 엽록소 함량(SPAD)은 초기에는 증가하였고 특히 C 그룹에서 가장 높은 수치가 관찰되어 저기압이 엽록소 생합성 또는 유지 기작을 일시적으로 활성화할 수 있음을 시사하였다. 그러나 19일차에는 모든 그룹에서 엽록소 함량이 감소하며 장기적으로 광합성 능력을 유지하는 데 어려움이 있음을 확인하였다. 이러한 결과는 저기압 환경이 초기에는 생리 활성을 자극할 수 있지만, 궁극적으로는 생장을 억제할 수 있음을 보여준다. 본 연구는 향후 우주 기반 폐쇄형 재배 시스템의 기압 설정 및 생명 유지 시스템 설계의 기초 자료로 활용될 수 있을것이다.
-
Effects of Pressure on Kale Growth in Sealed Environments
-
Original Articles

-
Exploration of Recycling Pathways for Coir Spent Substrate to Establish Recycling for By-Products of Protected Cultivation
시설재배 부산물 재활용 방안 확립을 위한 코이어 폐배지 재활용 경로 탐색
-
Giju Eoh, Haeyeong Na, Jungu Lee, Jongseok Park
어기주, 나해영, 이준구, 박종석
- In recent years, the expansion of protected cultivation areas has led to substantial increase in by-products, including coir spent substrate. Coir is …
최근 시설 재배 면적이 확대되면서 코이어 배지를 포함한 부산물이 대량 발생하고 있다. 코이어 배지는 친환경적 배지로 널리 사용되지만, 재배 종료 후 발생하는 …
- In recent years, the expansion of protected cultivation areas has led to substantial increase in by-products, including coir spent substrate. Coir is widely used as an eco-friendly growing medium. However, its recycling after use is limited due to interpretational differences in government regulations, necessitating the rational recycling pathway. Fertilization represents the most cost-effective option. While the Ministry of Environment classified coir spent substrate as “other vegetable remnants (51-17-29)”, allowing for fertilization, the Rural Development Administration does not recognize it as a raw material under the Fertilizer Control Act, creating institutional limitations. This study estimated the annual generation of coir spent substrate in tomato cultivation farms and analyzed its inorganic and heavy metal contents. The results showed that coir spent substrate contained abundant inorganic components, including Ca 11.1g·kg-1, K 3.61g·kg-1, Mg 2.02g·kg-1, P 1.31g·kg-1, Mn 0.44g·kg-1, Si 0.188g·kg-1, and B 0.037g·kg-1. The contents of heavy metals including Ni, Cu, Zn, As, Cd, Pb and Hg were all confirmed to be below the allowable limits. Additionally, based on national statistics, the annual generation of coir spent substrate in tomato cultivation farms in korea was estimated at approximately 49,000 tons. These results suggest that the large amount of coir spent substrate generated poses a low environmental risk and contains abundant inorganic components and have high potential as a fertilizer raw material. It could become an effective recycling system for coir spent substrate if the recycling pathway proposed in this study is institutionally supported through consensus among stakeholders.
- COLLAPSE
최근 시설 재배 면적이 확대되면서 코이어 배지를 포함한 부산물이 대량 발생하고 있다. 코이어 배지는 친환경적 배지로 널리 사용되지만, 재배 종료 후 발생하는 폐배지는 부처들 간 해석 차이로 재활용이 제한되고 있어, 합리적인 재활용 경로 설정이 필요하다. 비료화는 가장 경제적인 재활용 방안이며, 환경부는 코이어 폐배지를 ‘그 밖의 식물성 잔재물(51-17-29)’로 분류하여 비료화가 가능하나, 농촌진흥청 「비료관리법」에서는 원료로 설정되어 있지 않아 제도적 한계가 존재한다. 본 연구는 국내 토마토 시설 재배 농가를 대상으로 코이어 폐배지의 발생량을 추정하고, 무기성분 및 중금속 함량을 분석하였다. 무기성분 분석 결과 평균 칼슘 11.1g·kg-1, 칼륨 3.61g·kg-1, 마그네슘 2.02g·kg-1, 인 1.31g·kg-1, 망간 0.44g·kg-1, 규소 0.188g·kg-1, 붕소 0.037g·kg-1로 나타나 무기성분이 풍부하게 검출되었으며, 니켈, 구리, 아연, 비소, 카드뮴, 납, 수은 중금속은 모두 허용 기준치 이하로 확인되었다. 또한 통계자료를 기반으로 국내 토마토 재배에서 연간 약 4만 9천톤의 코이어 폐배지가 발생하는 것으로 추정되었다. 이러한 결과는 대량으로 발생하는 코이어 폐배지가 환경적 위해성이 낮고, 다량의 무기성분을 함유하여 비료 원료로 재활용할 수 있음을 시사한다. 본 연구에서 제시한 재활용 경로가 향후 이해관계자 간 의견 수렴을 통해 제도적 보완된다면, 코이어 폐배지의 원활한 재활용 방안이 될 것으로 판단된다.
-
Exploration of Recycling Pathways for Coir Spent Substrate to Establish Recycling for By-Products of Protected Cultivation
-
Original Articles

-
NLA: Natural Light Augmentation Method for Crop Image Datasets
NLA: 작물 이미지 데이터셋을 위한 자연광 기반 데이터 증강 기법
-
Sangho Lee, Seong-Woo Jeon, Jayeong Paek, Manjung Kim, Sang-Hyeon Kang, Kyoung-Chul Kim, YoungKi Hong, Ki-Beom Lee
이상호, 전성우, 백자영, 김만중, 강상현, 김경철, 홍영기, 이기범
- Data augmentation is a key factor for improving the performance of object detection models in computer vision. Agricultural imagery is captured in …
본 연구에서는 작물 이미지 데이터셋에 적합한 데이터 증강 기법으로 자연광 기반 증강을 제안하였다. NLA는 밝기, 색온도, 대비 변화를 반영하여 실제 환경에서 발생 …
- Data augmentation is a key factor for improving the performance of object detection models in computer vision. Agricultural imagery is captured in open fields and greenhouses, and lighting varies widely with shooting time, weather conditions, and the influence of structures. These characteristics destabilize the distribution of training data, and when conventional augmentations generate data that differ from real environments, they can degrade a model’s generalization. To address this problem, we propose Natural Light Augmentation (NLA), a lighting-aware augmentation that reflects illumination changes in agricultural images. NLA simulates variations in brightness, color temperature, and contrast so that conditions likely to occur in practice are applied to the training data. We validated the effectiveness of the proposed method on Oriental melon and strawberry datasets. On the Oriental melon dataset, NLA improved overall performance compared with existing augmentations, with the largest gain observed on mAP50-95 (4-6%). On the strawberry dataset, the Baseline model showed a decline in validation performance in the later training phase-suggesting overfitting-whereas NLA maintained stable performance as epochs progressed. We additionally conducted experiments with PatchSwap, which exchanges patches within the same image, but the performance improvement was limited. These results demonstrate that augmentation reflecting real lighting conditions in agricultural datasets effectively improves model performance and increases training stability. As an augmentation tailored to agricultural imagery, NLA should be extended to a wider range of crops and environmental conditions in future work.
- COLLAPSE
본 연구에서는 작물 이미지 데이터셋에 적합한 데이터 증강 기법으로 자연광 기반 증강을 제안하였다. NLA는 밝기, 색온도, 대비 변화를 반영하여 실제 환경에서 발생 가능한 광조건을 학습 데이터에 적용함으로써, 기존 YOLO 기본 증강 대비 더욱 현실적인 학습 데이터를 생성할 수 있도록 설계되었다. 참외와 딸기 데이터셋을 대상으로 한 실험 결과, NLA는 Baseline 대비 전반적인 성능 향상을 보였다. 또한 Baseline에서 학습 후반부에 나타난 성능 저하나 불안정성이 NLA에서는 완화되어, 제안 기법이 과적합 방지와 학습 안정성 유지에도 효과적임을 입증하였다. PatchSwap은 Mosaic의 한계를 보완하기 위한 보조적 시도로 실험에 포함되었으나, 종합적인 성능 향상에는 뚜렷한 기여를 하지 못하였다. 본 연구 결과는 작물 이미지에서 실제 광조건을 반영한 데이터 증강의 필요성과 유효성을 보여주었으며, 이는 향후 다양한 작물과 촬영 환경으로 확장 가능한 가능성을 제시한다. 앞으로는 NLA의 적용 범위를 확대하고, 다른 딥러닝 모델 및 추가적인 농업 데이터셋에 대한 성능 검증을 통해 본 기법의 범용성과 실효성을 더욱 강화할 필요가 있다.
-
NLA: Natural Light Augmentation Method for Crop Image Datasets
-
Original Articles

-
Comparison of the Growth of Coleus (Plectranthus scutellarioides) Cuttings in Peatmoss and Perlite Substrates
피트모스와 펄라이트 혼합배지가 콜레우스(Plectranthus scutellarioides) 삽목시 생장에 미치는 영향 비교
-
Do Eun Kim, Seo Youn Lee, Yoon Jin Kim
김도은, 이서연, 김윤진
- Coleus (Plectranthus scutellarioides), an ornamental annual of the family Lamiaceae, is native to Malaysia and Southeast Asia and is cultivated …
콜레우스(Plectranthus scutellarioides)는 말레이시아와 동남아시아 원산의 꿀풀과 초화로 우리나라에서는 춘파 1년초로 재배된다. 잎은 초여름부터 늦가을까지 관상할 수 있어 열대풍 화단의 중요한 …
- Coleus (Plectranthus scutellarioides), an ornamental annual of the family Lamiaceae, is native to Malaysia and Southeast Asia and is cultivated in Korea as a spring-sown bedding plant. Its colorful foliage from early summer to late autumn makes it valuable for tropical-style flower beds due to diverse leaf colors and morphological variations. Coleus is commonly propagated by vegetative cuttings, but early growth is influenced by the rooting medium, requiring identification of the optimal substrate. This study investigated the effects of peatmoss (PT) and perlite (PL) on the early growth of coleus cuttings in two cultivars, ‘Pinkplosion’ and ‘Heartbreaker’. Rooting media consisted of PT:PL ratios of 1:0, 1:1, 1:2, and 0:1 (v/v), and a commercial substrate. Cuttings with two or four leaves were subirrigated with tap water and grown for 21 days. Growth parameters (plant height, leaf number, and survival rate) were recorded at 7-day intervals, and root traits (length, number) and shoot and root fresh and dry weights were measured on day 21. ‘Pinkplosion’ showed 100% survival in PT:PL = 1:2 and 0:1 treatments, but only 46.6% in PT:PL = 1:0 treatment. ‘Heartbreaker’ showed 100% survival in the PT:PL= 0:1 treatment and 36.0% in the PT:PL = 1:0 treatment. Root number in PT:PL = 1:2 treatment was 51.2 in ‘Pinkplosion’ and 35.4 in ‘Heartbreaker’, while in PT:PL = 0:1 treatment it was 16.8 and 18.0, for two cultivars. Root length in PT:PL = 1:2 treatment was 9.1 cm in ‘Pinkplosion’ and 13.6 cm in ‘Heartbreaker’, plant height in PT:PL=1:2 treatment was 9.4 cm and 12.4 cm, respectively. Leaf number and fresh and dry weights showed no significant differences among treatments. These findings demonstrate that substrate composition is a critical factor for early growth of coleus cuttings, and that PT:PL = 1:2 mixture provides the most suitable medium for both cultivars.
- COLLAPSE
콜레우스(Plectranthus scutellarioides)는 말레이시아와 동남아시아 원산의 꿀풀과 초화로 우리나라에서는 춘파 1년초로 재배된다. 잎은 초여름부터 늦가을까지 관상할 수 있어 열대풍 화단의 중요한 소재로 활용되며 다양한 엽색과 형태적 변이로 관상적 가치가 높다. 콜레우스는 삽목에 의한 증식이 널리 이용되며, 초기 생육은 배지 조성의 영향을 받으므로 적절한 배지 조건 구명이 필요하다. 콜레우스 ‘Pinkplosion’과 ‘Heartbreaker’ 두 품종을 대상으로 피트모스(PT)와 펄라이트(PL)를 1:0, 1:1, 1:2, 0:1(v/v)로 혼합한 배지와 상업용 상토를 처리구로 설정하였다. 실험은 잎 2매 또는 4매의 삽수를 수돗물로 저면관수하여 21일간 진행하였다. 초장, 엽수, 생존율은 7일 간격으로 조사하였고, 21일째 뿌리 길이, 뿌리 개수, 지상부 및 지하부의 생체중과 건물중을 측정하였다. ‘Pinkplosion’은 PT:PL=1:2와 0:1 처리구에서 생존율 100.0%, 1:0 처리구에서 46.6%였다. ‘Heartbreaker’는 PT:PL=0:1 처리구에서 생존율 100.0%, PT:PL=1:0 처리구에서 36.0%였다. PT:PL= 1:2 처리구의 뿌리 개수는 ‘Pinkplosion’ 51.2개, ‘Heartbreaker’ 35.4개였으며, PT:PL=0:1 처리구에서는 각각 16.8개, 18.0개였다. PT:PL=1:2 처리구의 뿌리 길이는 ‘Pinkplosion’ 9.1cm, ‘Heartbreaker’ 13.6cm였고, 초장은 PT:PL=1:2 처리구에서 각각 9.4cm, 12.4cm였다. 두 품종의 엽수, 생체중과 건물중은 처리 간 유의한 차이는 없었다. 배지 조성은 콜레우스 삽수의 초기 생육에 중요한 요인이며, 두 품종 모두 PT:PL=1:2 혼합배지가 생육에 가장 효과적인 것으로 판단된다.
-
Comparison of the Growth of Coleus (Plectranthus scutellarioides) Cuttings in Peatmoss and Perlite Substrates
-
Original Articles

-
Comparison and Evaluation of Machine Learning Models for Predicting CH4 Emissions from Pig Housing
양돈시설 CH4 배출 예측에 적합한 머신러닝 비교 및 평가
-
Kyoung Won Min, Rack Woo Kim, Dae Heon Park, Jun Gyu Kim, Su Bin Ahn, Sun Hyoung Lee, Chan Min Kim, Hee Woong Seok
민경원, 김락우, 박대헌, 김준규, 안수빈, 이선형, 김찬민, 석희웅
- CH₄ is a major air pollutant emitted from pig housing and is influenced by various environmental and management factors. This study monitored …
본 연구는 양돈시설에서 수집된 복합 환경 데이터를 활용하여 CH4 농도를 예측할 수 있는 머신러닝 기반 모델을 구축하고, 성능을 비교·분석하였다. 데이터 전처리 …
- CH₄ is a major air pollutant emitted from pig housing and is influenced by various environmental and management factors. This study monitored CH4 concentrations using sensor-based measurements and analyzed their relationships through machine learning models. Outliers were detected using the Hampel filter, and missing values were corrected with hybrid imputation techniques to ensure data quality. Among Random Forest, LightGBM, and HistGB models, the HistGB model showed the highest predictive accuracy (R2 = 0.83) and lowest RMSE. The results indicate that feed intake, pH, and temperature significantly affect CH₄ emissions, while ventilation and humidity primarily influence NH3 variation. This study provides a data-driven approach for identifying key emission factors and improving gas management in intensive pig production systems.
- COLLAPSE
본 연구는 양돈시설에서 수집된 복합 환경 데이터를 활용하여 CH4 농도를 예측할 수 있는 머신러닝 기반 모델을 구축하고, 성능을 비교·분석하였다. 데이터 전처리 및 보간 과정을 통해 이상치를 제거하고 품질을 향상시킨 데이터를 기반으로 RandomForest, LightGBM, HistGB 모델을 학습한 결과, HistGB 모델이 가장 우수한 성능을 보였다 (RMSE=3.90, MAE=3.02, R2=0.835). 이는 히스토그램 기반 분할 방식이 데이터의 잡음을 완화하고 제한된 학습 데이터에서도 안정적인 성능을 확보했기 때문이다. RandomForest 역시 유사한 수준의 성능을 보였으나, 저농도 구간이나 급격한 농도 변화 구간에서는 변동성이 다소 크게 나타났다. 반면, LightGBM은 설명력이 상대적으로 낮았으며, R2가 0.773으로 HistGB (0.835) 대비 약 7.4%p 감소하였고, RMSE도 4.575로 가장 높은 예측 오차를 보였다. 상관관계 분석을 통해 CH4 농도가 분뇨의 산성도, 사료 섭취량, NH3 및 CO2 농도와 밀접한 관련성을 확인하였으며, 이는 분뇨 발효가 CH4 발생의 핵심 요인임을 뒷받침한다. 따라서 CH4 발생을 저감하기 위해서는 환경제어를 포함한 분뇨 관리와 급이 전략을 함께 고려해야 함을 나타낸다. 본 연구의 결과는 양돈시설에서 고가의 CH4 센서를 상시 운용하지 않고도, 기존 환경 데이터와 머신러닝 모델을 활용하여 CH4 농도를 간접적으로 추정할 수 있음을 보여준다. 이는 향후 스마트팜 시스템과 연계하여 온실가스 배출 모니터링 및 저감 전략 수립에 활용될 수 있으며, 지속가능한 축산업을 위한 데이터 기반 관리 체계 구축에 기여할 것으로 기대된다.
-
Comparison and Evaluation of Machine Learning Models for Predicting CH4 Emissions from Pig Housing
-
Original Articles

-
Temporal and Age-Dependent Dynamics of Photoinhibitory Responses under Diverse Light Scenarios
광환경 변동에 따른 광저해 반응의 시간적 변화와 생육 시기별 특성
-
Hyeonjee Kim, Eunjeong Lim, Tae In Ahn
김현지, 임은정, 안태인
- Plants in natural environments encounter fluctuating irradiance, whereas controlled cultivation systems typically provide constant illumination. Coping with dynamic light conditions requires flexible …
제어형 재배 시스템에서는 일반적으로 일정한 광이 주어지는 반면, 자연 환경에서 식물은 변동하는 광을 경험한다. 이러한 동적 광환경에 적응하기 위해서는 과잉 에너지를 소산하고 …
- Plants in natural environments encounter fluctuating irradiance, whereas controlled cultivation systems typically provide constant illumination. Coping with dynamic light conditions requires flexible regulation of photoprotective mechanisms, particularly non-photochemical quenching (NPQ), to dissipate excess energy and reduce photoinhibition. Here, we investigated chlorophyll fluorescence responses of lettuce (Lactuca sativa L. cv. Top Green) under four 10-hour light scenarios differing in the frequency and rate of transition to high light exposure: alternating light/dark cycles, a single prolonged high light period with dark recovery, stepwise increasing–decreasing irradiance, and fine-grained transitions of the stepwise scenario. Fluorescence was continuously monitored using a pulse-amplitude modulation fluorometer, and parameters including Y(II), Y(NPQ), Y(NO), NPQ, electron transport rate, and qPd, an index that compares actual and theoretical Fo′ values to assess the extent of photoinhibition, were analyzed across leaves of different ages. Alternating cycles caused progressive loss of PSII efficiency, whereas prolonged high light induced photoinhibition that was partially recovered during darkness. Stepwise light transitions enhanced electron transport and maintained higher photosynthetic efficiency, whereas fine-grained transitions alleviated photoinhibition but were limited by lower total light input. Responses were age-dependent, as younger leaves exhibited higher NPQ induction and maintained higher qPd during illumination. However, they also showed lower Y(II) and greater declines in Fv/Fm after treatment. Notably, qPd and Fv/Fm did not always align, reflecting their complementary roles in indicating real-time photoprotection and cumulative photoinhibition, respectively. Our results demonstrate that the balance between photoprotection and photoinhibition is strongly influenced by both light scenario and plant age, suggesting that dynamic lighting strategies accounting for these factors can enhance energy efficiency and sustainability in vertical farming.
- COLLAPSE
제어형 재배 시스템에서는 일반적으로 일정한 광이 주어지는 반면, 자연 환경에서 식물은 변동하는 광을 경험한다. 이러한 동적 광환경에 적응하기 위해서는 과잉 에너지를 소산하고 광저해를 줄이기 위한 광보호 기작, 특히 비광화학적 소광(non-photochemical quenching, NPQ)의 유연한 조절이 필요하다. 본 연구에서는 상추(Lactuca sativa L. cv. Top Green)을 대상으로, 고광 노출의 빈도와 점진적 변화 정도가 다른 네 가지의 10시간 광 시나리오(광/암 반복 처리, 암기 회복을 동반한 장시간의 고광 처리, 단계적 증가–감소 처리, 그리고 단계적 처리의 세분화된 변형)를 이용하여 연속적으로 형광 반응을 측정하였으며, Y(II), Y(NPQ), Y(NO), NPQ, 전자전달률, 그리고 실제와 이론적 Fo′값을 비교하여 광저해 정도를 평가하는 지표인 qPd등을 생육 시기별로 분석하였다. 광/암 반복처리는 PSII 효율의 점진적 감소를 초래하였고, 장시간 고광 처리에서는 광저해가 유발되어 암기 동안 부분적으로 회복되었다. 단계적 광도 변화는 전자 전달을 촉진하고 광합성 효율을 높게 유지하였으며, 세분화된 단계적 별화는 광저해를 완화시켰으나 총 광량이 낮아 효율이 제한적이었다. 반응은 식물체 연령에 따라 달라, 어린 잎일수록 NPQ 유도가 크고 광 조사 동안 더 높은 qPd를 유지했지만, Y(II)는 낮고 처리 후 Fv/Fm의 감소는 더 크게 나타났다. 특히 qPd와 Fv/Fm은 항상 일치하지는 않았는데, 이는 두 지표가 각가 실시간 광보호와 누적된 광저해를 보완적으로 반영함을 보여준다. 본 연구 결과는 광보호와 광저해 간의 균형이 광 시나리오와 식물체 연령 모두에 의해 강하게 영향을 받음을 보여주며, 이러한 요인을 고려한 동적 광 제어 전략이 수직농장에서 에너지 효율성과 지속가능성을 향상시킬 수 있음을 시사한다.
-
Temporal and Age-Dependent Dynamics of Photoinhibitory Responses under Diverse Light Scenarios
-
Original Articles

-
Effects of Tensiometer-Based Automated Irrigation on Growth and Fruit Quality of ‘Fuji’/M9 Apples in an Open-Field Orchard
노지 사과원에서 토양수분장력 기반 자동관수가 사과 ‘Fuji’/M9 수체 생육 및 과실 특성에 미치는 영향
-
Jong Kyun Kim, Young-Jun You, Jongyun Kim
김종균, 유영준, 김종윤
- Climate change has increased the demand for precise water management in open-field orchards, and soil moisture tension-based management is gaining attention. This …
기후변화로 인해 노지 과수원의 정밀한 토양수분 관리 중요성이 커지고 있으며, 최근에는 토양수분장력 기반 관리 방법이 주목받고 있다. 본 연구는 고품질 사과 생산을 …
- Climate change has increased the demand for precise water management in open-field orchards, and soil moisture tension-based management is gaining attention. This study investigated an optimal irrigation strategy for high-quality apple production using a tensiometer-based automated irrigation system over two years (2022-2023) in a ‘Fuji’/M9 apple (Malus domestica) orchard in Andong, Korea. Five irrigation treatments, including three soil moisture tension thresholds (-30, -45, and -60 kPa), a growth stage-based recommended threshold, and a rainfall-based conventional irrigation treatment were compared. The automated irrigation system operated appropriately at each threshold and maintained stable soil moisture, whereas the conventional treatment, particularly in the high-rainfall year 2023, failed to irrigate when apple trees needed, resulting in excessively negative soil moisture tension. Vegetative growth showed no irrigation treatment effects; interannual variation was attributed to rainfall and solar radiation. Fruit quality traits were generally better in 2023 than in 2022. The -30 kPa treatment produced the largest fruit, while the -45 kPa treatment achieved the highest sugar contents. The effects of irrigation treatment differed by year, affected by cumulative water management over two years and high rainfall in 2023. The conventional treatment produced the smallest fruit in 2023, because irrigation was not applied at the time when the trees needed water, despite abundant rainfall. Cumulative irrigation indicated that the -45 kPa treatment used about 8% less water than the -30 kPa treatment while maintaining fruit size and enhancing sugar contents and acidity, identifying -45 kPa as an efficient irrigation threshold for apple orchards. These results indicate that the tensiometer-based automated irrigation system can effectively produce high-quality apples and improve water-use efficiency in open fields.
- COLLAPSE
기후변화로 인해 노지 과수원의 정밀한 토양수분 관리 중요성이 커지고 있으며, 최근에는 토양수분장력 기반 관리 방법이 주목받고 있다. 본 연구는 고품질 사과 생산을 위한 최적 토양수분 관리 방법을 규명하고자, 경상북도 안동의 노지 사과원에서 2년간(2022-2023) 토양수분장력센서 기반 자동관수시스템을 적용하여, 네 수준의 자동관수 처리구(-30, -45, -60kPa, 생육시기별 추천)와 강우량 기반 관행 처리구를 비교하였다. 토양수분장력 기반 자동관수는 설정한 관수개시점에 따라 관수가 알맞게 진행되어 토양수분이 안정적으로 유지되었으나, 관행 처리구에서는 특히 강우량이 많았던 2023년에 필요한 시점에 관수가 이루어지지 않아 토양수분장력 값이 낮게 나타났다. 수체 생육은 처리 간 뚜렷한 차이가 없었으며, 연차별 차이는 강우와 일사 조건에 기인한 것으로 판단된다. 과실 특성은 2022년보다 2023년에 전반적으로 향상되었으며, -30kPa 처리구는 큰 과실 크기를 보였고, -45kPa 처리구는 가장 높은 당도를 나타냈다. 관수 처리구에 따른 차이는 연도별로 다르게 나타났는데, 이는 2년간의 물 관리의 누적 효과와 2023년의 많은 강우에 의한 영향으로 판단된다. 2023년 관행 처리구는 강우가 많았음에도 불구하고 수분 공급 시점이 적절하지 않아 과실 크기가 가장 작았다. 누적 관수량 분석 결과, -45kPa 처리구는 -30kPa 처리구 대비 약 8%의 물을 절감하면서도 과실 크기 저하 없이 높은 당도와 산도를 유지하여 노지 사과원의 효율적인 토양수분 관리 방법으로 확인되었다. 본 연구는 노지 사과원에서 토양수분장력센서 기반 자동관수시스템이 고품질 사과 생산과 수분 이용 효율 개선에 효과적임을 검증하였다.
-
Effects of Tensiometer-Based Automated Irrigation on Growth and Fruit Quality of ‘Fuji’/M9 Apples in an Open-Field Orchard
-
Original Articles

-
Cold Injury and Temperature-Dependent Hardiness of Citrus spp. under Rain-Shelter Greenhouse Cultivation in Gyeongnam
경남지역 비가림 하우스 재배 시 만감류 품종 및 저온에 따른 내동성 비교
-
Jin Hyang Son, Mi Geon Cheon, Sang Woo Choi, Hae In Lee, Hee Sung Jang, Chul Geum Ahn
손진향, 천미건, 최상우, 이해인, 장희성, 안철근
- The cultivation area of late-maturing citrus (mandarin hybrids) has been expanding into inland regions of Gyeongnam, Korea, due to recent climate warming. …
지구온난화로 인해 경남 내륙지에 만감류 재배면적이 증가하고 있어, 비가림 하우스에서의 재배 가능성을 평가하기 위하여 본 연구를 수행하였다. 진주지역에 재식된 4년생 ‘한라봉’, ‘천혜향’, …
- The cultivation area of late-maturing citrus (mandarin hybrids) has been expanding into inland regions of Gyeongnam, Korea, due to recent climate warming. To evaluate the feasibility of protected cultivation in rain-shelter houses, this study investigated four-year-old trees of four cultivars-Hallabong(Citrus hybrid ‘Shiranui’), Cheonhyehyang (Citrus hybrid ‘Setoka’), Hwanggeumhyang (Citrus reticulata ‘Blanco’), and Redhyang (Citrus hybrid ‘Kanpei’)-planted in Jinju. In January 2025, the minimum external temperature dropped to -10.2°C, while the internal temperature fell to -5.2°C; in February, the lowest recorded temperatures were -7.9°C outside and -2.4°C inside. Following these cold events, the extent of leaf injury was evaluated. Among the cultivars, Cheonhyehyang exhibited the highest level of cold damage, whereas Redhyang and Hwanggeumhyang showed relatively lower susceptibility. Artificial low-temperature chamber tests revealed that all cultivars suffered lethal damage at -5°C, whereas cultivar- and age-dependent differences became evident around -3°C. In particular, Cheonhyehyang showed a sharp increase in injury at the threshold temperature. Electrolyte leakage analysis indicated that Hwanggeumhyang and Cheonhyehyang were more vulnerable at the two-year-old stage, although stability generally increased in four-year-old trees. Triphenyl tetrazolium chloride assays demonstrated that Redhyang maintained higher viability across all tested temperatures, whereas Cheonhyehyang exhibited a marked reduction in viability at -3°C. These findings demonstrate clear varietal differences in cold tolerance among late-maturing citrus cultivars. Cheonhyehyang and Hwanggeumhyang were particularly sensitive to low temperatures, suggesting that maintaining a minimum night temperature above 2°C is necessary to ensure stable production in inland rain-shelter cultivation systems.
- COLLAPSE
지구온난화로 인해 경남 내륙지에 만감류 재배면적이 증가하고 있어, 비가림 하우스에서의 재배 가능성을 평가하기 위하여 본 연구를 수행하였다. 진주지역에 재식된 4년생 ‘한라봉’, ‘천혜향’, ‘황금향’, ‘레드향’ 4품종을 대상으로 2025년 1월에는 1월 10일 외부온도는 -10.2℃, 내부온도는 -5.2℃로 내려갔으며, 2월에는 2월 9일 외부온도 -7.9℃, 내부온도 -2.4℃까지 경과한 후 4년생 잎의 동해 정도를 조사하였다. ‘천혜향’이 가장 높은 피해율을 보였으며 ‘황금향’과 ‘레드향’은 상대적으로 낮았다. 저온 처리 결과 -5℃에서 모든 품종이 치사 수준의 피해를 받았으나, -3℃ 전후에서는 품종별·수령별 차이가 나타났으며 특히 ‘천혜향’은 임계온도에서 급격한 피해 증가를 보였다. 전해질 누출률은 2년생에서 ‘천혜향’과 ‘황금향’이 취약하였으나, 4년생에서는 전반적으로 안정성이 증가하였다. TTC 검정에서는 ‘레드향’이 전 온도에서 높은 활력을 유지하였고, ‘천혜향’은 -3℃에서 급격히 활력이 저하되는 특성을 보였다. 이러한 결과는 품종 간 동해 내성에 뚜렷한 차이가 존재하며, ‘천혜향’과 ‘황금향’은 특히 저온에 민감하여 야간 최저온도를 2℃ 이상으로 유지하는 적극적 관리가 필요한 것으로 판단되었다.
-
Cold Injury and Temperature-Dependent Hardiness of Citrus spp. under Rain-Shelter Greenhouse Cultivation in Gyeongnam
-
Original Articles

-
Impact of Supplemental LED Lighting Regimes on Sweet Pepper Growth under Winter Light Deficit
겨울철 광 부족 조건에서 LED 보광 기간이 파프리카 생장에 미치는 영향
-
Tae Kyeong Jeong, Sang Rim Kim, Faraaz Ahmed Mohammad, Mac Cheryl Sulan Charles Emparang, Ji Gu Lee, Jum Soon Kang
정태경, 김상림, 모함마드파라즈 아흐메드, 엠파랑맥 셰릴 술란 찰스, 이지구, 강점순
- This study investigated the effects of supplemental LED lighting regime (morning, afternoon, and all-day) on the vegetative growth, reproductive development, yield, and …
본 연구에서는 겨울철 일조량이 부족한 환경에서 재배된 파프리카(Capsicum annuum L.)를 대상으로, 조조(05:00–10:00, T1), 오후(16:00–21:00, T2), 전일(06:00–22:00, T …
- This study investigated the effects of supplemental LED lighting regime (morning, afternoon, and all-day) on the vegetative growth, reproductive development, yield, and water-soluble vitamin content of sweet pepper (Capsicum annuum L.) grown in winter season under deficit sunlight hours. Supplemental lighting regimes included morning lighting from 05:00 to 10:00 (T1), afternoon lighting from 16:00 to 21:00 (T2), all-day lighting for 16 hours from 06:00 to 22:00 (T3), and a control with no supplemental lighting (T0). Results demonstrated that morning lighting (T1) significantly enhanced plant height, leaf length, number of leaves and leaf area, indicating effective promotion of vigorous vegetative growth during early development. In contrast, all-day lighting (T3) reduced vegetative growth but significantly increased stem diameter, node length to first flower, and fruit set, suggesting facilitation of the transition to reproductive growth. Accordingly, T3 resulted in significantly higher cumulative yield and fruit weight compared to the control, with a marketable fruit rate of 92.0%. Afternoon lighting (T2) showed positive effects on overall growth and yield, particularly contributing to increased fruit size during the enlargement stage. Analysis of fruit water-soluble vitamins revealed distinct responses to lighting periods: T1 elevated vitamins B1 and B5 contents, while T3 markedly increased vitamin B2 concentration. Vitamin C content was highest in T3 and T0, possibly reflecting physiological stress and antioxidant accumulation under differing light environments. These findings suggest that a growth stage specific supplemental lighting strategy such as morning lighting to maintain vegetative vigor during early growth and all-day lighting to enhance reproductive growth and yield can optimize sweet pepper production under winter light deficit conditions in a greenhouse.
- COLLAPSE
본 연구에서는 겨울철 일조량이 부족한 환경에서 재배된 파프리카(Capsicum annuum L.)를 대상으로, 조조(05:00–10:00, T1), 오후(16:00–21:00, T2), 전일(06:00–22:00, T3) LED 보광 처리 기간이 초기 생육, 생식 발달, 수량 및 수용성 비타민 함량에 미치는 영향을 평가하였다. 조조 보광(T1)은 초장, 엽장, 엽수 및 엽면적을 유의적으로 증가시켜 초기 단계에서 활발한 영양생장을 유도하였다. 반면 전일 보광(T3)은 초장 신장을 억제하였으나, 줄기 직경, 첫 개화 마디 길이 및 과실 착과율을 증가시켜 생식기로의 전환을 촉진하였다. 그 결과 T3 처리구는 대조구 대비 누적 수량과 과실 중량이 유의하게 높았으며, 상품과율은 92.0%에 달했다. 오후 보광(T2)은 전체적인 생육 지표와 수량을 개선하였으며, 특히 과실 비대기에 과실 크기 증가에 기여하였다. 과실의 수용성 비타민 분석에서는, T1이 비타민 B1과 B5 함량을 증가시켰고, T3은 비타민 B2 함량을 크게 높였다. 비타민 C는 T3과 무처리(T0)에서 가장 높게 나타났는데, 이는 서로 다른 광 환경에서 유도된 생리적 스트레스와 항산화 물질 축적에 따른 것으로 해석된다. 본 연구 결과는 생육 단계별로 차별화된 LED 보광 전략의 유효성을 보여준다. 즉, 초기 생육기에는 초장 생장을 유지하기 위한 조조 보광이, 이후 생식기로의 전환과 수량 증대를 위해서는 전일 보광이 적합하며, 이는 겨울철 광 부족 환경에서 파프리카 생산성을 향상시키는 데 기여할 수 있다.
-
Impact of Supplemental LED Lighting Regimes on Sweet Pepper Growth under Winter Light Deficit


Journal of Bio-Environment Control








