서 론
재료 및 방법
1. 실험 재료 및 발아 특성 조사
2. 침지 시간에 따른 함수율 및 수분흡수율 조사
3. 파종량에 따른 부추 플러그묘 생육 특성 조사
4. 지상부 절단 높이에 따른 부추 플러그묘 생육 특성 조사
5. 부추 육묘 재배 환경
6. 실험 설계 및 통계 분석
결과 및 고찰
1. 부추 품종 별 발아 특성 비교
2. 부추 품종 별 종자 수분함량 및 함수량 비교
3. 파종량에 따른 부추 플러그묘의 생육 특성
4. 지상부 절단 높이에 따른 부추 플러그묘 생육 특성
서 론
부추(Allium tuberosum Rottl.)는 백합과의 파속인 다년초로서 동북아시아가 원산지로 독특하고 강한 향미를 지니고 있는 식용 작물로서 오래 전부터 우리나라에서 재배되었다. 부추는 카로틴, 비타민 B2, 비타민 C, 칼슘 등의 영양소를 많이 함유한 녹황색 채소로서 생채, 김치, 보양 요리나 독특한 향으로 인해 향신료 등 다양하게 이용되고 있으며, 높은 경제적 가치와 우수한 영양학적 특성을 가진 작물로서 다양한 환경에서 재배될 수 있다(RDA, 2018). 그러나 부추는 제한된 재배면적과 부적합한 재배환경, 인건비의 상승, 농업에 대한 인식 부족으로 소비자의 신선한 채소수요를 충족시키지 못했고, 다년생 토경재배로 인한 시설내 염류의 집적과 토양병해와 충해의 발생 및 체계적인 시비관리의 미비로 수확량의 감소를 초래하고 있다(Oh, 2001).
최근 시설원예는 전통적인 토양 재배 방식에서 벗어나, 양액재배 시스템을 활용한 생산성이 높은 재배 방법이 보편화되고 있다. 특히, 분무경 방식은 뿌리에 직접 영양분을 분무하여 효율적인 양분 흡수를 유도하고, 생육 속도를 촉진하거나 다른 양액재배에 비해 양액탱크의 용량이 작아도 되며, 양액의 EC와 pH의 변화가 적다는 장점이 있다. 그러나 분무경을 비롯한 양액재배 방식을 이용한 부추의 안정적인 생산을 위해서는 육묘의 규격화 및 공정육묘가 필수적이며, 육묘배지가 순환되는 양액에 혼입되어 노즐막힘의 원인이 되지 않아야 하고, 분무되는 양액입자가 모종의 분리나 흔들림에 영향받지 않도록 배지에 뿌리가 잘 활착되어 있어야 하며, 계절의 변화와 관계없이 필요한 시기에 적절한 공급을 위해 양액재배용 공정육묘를 위한 재배환경의 정립 및 균일하고 건강한 묘를 생산하는 공정육묘 기술의 확립이 필수적이다.
부추는 대부분 직파재배로 줄뿌림 방법을 사용하는 경우가 많고, 이 경우 육묘에 투여되는 노동력은 절감하지만 종자의 소요량이 많고 밀식에 의한 품질저하로 인해 이식재배보다 경영상 불리하다(Kim 등, 1998). 부추의 양액재배에 대한 연구는 수경재배용 최적배지 선발(Oh, 2001), 급액농도와 배지조성비율 및 근권 수분함량에 대한 연구(Son, 2013), 양액에 의한 부추의 Ascorbic acid의 함량에 미치는 영향(Huang 등, 2007) 등 다양한 연구들이 이루어지기 시작하였고, 이러한 연구들을 바탕으로 식품기업들이 상업적인 양액재배를 시작하는 계기가 되었다. 이러한 부추의 양액재배는 기본적으로 연중 균일한 모종을 공급하는 공정육묘체계가 확립되어야 더욱 발전할 수 있을 것이라 판단되며, 특히 분무경 양액재배 방식에서는 기존의 배지경이나 NFT 등의 방식에 비해 미세한 노즐을 사용하는 방법이기 때문에 시스템을 고려한 배지의 선택도 중요하다.
부추의 발아연구(Chung과 Youn, 1996)에서는 20℃ 전후에서 잘 발아되고 25℃ 이상과 10℃ 이하에서는 거의 발아하지 않기 때문에 농가에서는 봄 또는 가을에 파종하여 일정기간 노지 육묘를 통해 이식재배를 하고 있으며, 계절에 따라 묘상기간이 길거나 입모율이 낮거나 보온 등의 환경조절이 필요하게 된다. 이러한 문제를 극복하기 위해 플러그 육묘를 많이 이용하는데, 플러그 육묘는 육묘면적과 종자소요량을 줄이고 일관된 시스템화가 가능하고 정식작업이 간편하여 다양한 채소류에서 활용되고 있다(Honda, 1996; Hosono 등, 1983). Kim 등(2001)은 부추의 이식재배를 위한 플러그묘 생산을 위해 육묘일수 및 플러그 트레이의 셀크기가 묘소질과 정식후 수량에 미치는 영향을 연구하였으며, 플러그 육묘는 이식 후 묘의 활착과 초기생육을 촉진하므로 부추처럼 파종 당해연도의 수확이 불가능한 작물의 경우 별도의 육묘과정에서 지하부 발달을 촉진시켜 생산성을 높이는 효과가 있을 것으로 기대된다. 특히 수경재배는 별도의 안정된 공정육묘 기술의 개발이 필수적이다. 공정육묘란 일정한 품질과 균일한 생육을 보장하기 위한 체계적인 육묘 방법을 의미하며, 이는 이후 생육 단계에서의 생산성을 결정짓는 중요한 요인이다. 특히, 부추의 경우 초기 뿌리 발달이 양액재배 적응성과 직결되므로, 최적의 육묘 환경과 관리 기술에 대한 연구가 필요하다. 부추의 공정육묘를 위한 육묘일수 및 플러그셀 크기의 비교연구(Kim 등, 2001)에서 트레이의 셀크기와 육묘일수가 커질수록 생장이 증가하고, 정식 후 포장활착율은 셀크기가 작고 육묘일수가 짧을수록 낮았다고 하였다. 또한 셀크기가 작을수록 개체당 분얼수가 작고 셀크기가 클수록 육묘일수가 지나면서 분얼이 증가하였다고 하였다.
본 연구는 부추의 양액재배를 위한 최적의 플러그 육묘 방법으로서 기본적인 부추의 발아특성을 확인하고, 빠른 수확량 확보를 위한 분얼증대에 효과적인 육묘방법을 찾고자 적정 파종량과 육묘중 줄기절단을 통한 분얼증대 효과를 검증하고자 하였으며, 이를 통해 부추의 생산성을 극대화하고, 양액재배를 위한 적정 육묘방법을 확립하고자 수행하였다.
재료 및 방법
1. 실험 재료 및 발아 특성 조사
실험은 2024년 5월부터 시작하여 2025년 2월까지 진행하였다. 발아 및 육묘실험에 사용된 품종은 국내 재래품종인 두메부추(Aram seed Co., Korea)와 시판품종인 스피드그린(Worldseed Co., Korea) 및 그린벨트(Asia Seed Co., Korea)를 비교하였다.
발아특성을 분석하기 위해 종자를 발아상에 치상하기 전 70% EtOH에 30초 침지, 1.2% Sodium hypochlorite 10분 침지 소독 한 뒤 증류수로 3회 이상 수세한 후 치상하였다. 모든 처리구 는 90×15mm petridish에 여과지 2매를 깔고 그 위에 종자를 30립씩 파종한 뒤 1차 증류수로 침지하였다. 품종별 완전임의배치로 4반복으로 치상하여 항온항습기(HDA-3U1, Hyundai Technology Industries CO., Seoul, Korea)를 이용하여 온도 23°C, 습도 50%로 조절된 생장상(SJ-506A1500, Sejong Scientific Co., Bucheon, Korea)에서 배양하였다. 발아조사는 유근이 1mm 이상 출현한 것을 발아된 것으로 간주하였다.
발아율(GP, germination percentage), T50(Days to 50% of germination) (Coolbear 등, 1984), 평균발아일수(MGT, mean germination time) (Edwards, 1934), 발아균일도(GU, germination uniformity) (Gordon, 1971), 발아속도(GS, germination speed), 발아속도계수(CVG, Coefficient of velocity of germination) (Scott 등, 1984) 를 아래의 식을 이용하여 계산하였다. T50는 총 발아의 50%가 이뤄진 일수를 나타내며. 평균발아일수는 치상 후 실험종료까지의 발아일수의 평균치를 나타내며, 발아속도계수는 종자발아 속도를 나타내는 지표로서 발아율이 최고조에 달했을 때까지 걸리는 시간, 즉 평균 발아일수의 역수로 계산되며 발아속도계수가 높을수록 발아속도가 빠르다는 것을 의미한다.
GP ; Germination percentage = (N / S) × 100
T50(days) = Ti + (Tj - Ti) × (N/2 - Ni)/(Nj – Ni)
MGT ; Mean germination time = Σ (ti × ni)/ Σ ni
GU ; Germination uniformity = Σ[(MGT – Tx)2·Nx]/N
GS ; Germination speed = Σ(Nx/Tx)
CVG ; Coefficient of velocity of germination = Σ Ni / Ni Ti × 100
(N; 총 발아수, S; 총 공시 종자수, ti; 치상 후 조사일수, ni; 조사 당일의 발아수, Ni: N에 대한 50% 발아 직전까지의 총 발아수, Nj: N에 대한 50% 발아 직후까지의 총 발아수, Ti: Ni 시점까지 소요된 발아기간, Tj: Nj 시점까지 소요된 발아기간, Nx: 조사 당일의 발아수, Tx: 치상 후 조사일수)
2. 침지 시간에 따른 함수율 및 수분흡수율 조사
종자의 침지시간에 따른 수분흡수율의 조사는 스피드그린, 그린벨트 및 두메부추 3품종을 50립씩 3반복으로 무게측정후 2.5ml 튜브에 넣고 1차 증류수에 침지후 2, 4, 6, 12, 24, 48, 72, 96 및 120시간마다 무게를 측정하였다. 각 시간마다 와이퍼 티슈(Kimtech Science, Yuhan Kimberly, Korea)로 종자 겉면의 물기를 제거한 후 무게를 측정하였다. 120시간후의 최종 측정후에 60℃의 드라이오븐에서 72시간동안 건조후 건물중을 측정하였고, 그 측정값을 바탕으로 함수율과 수분흡수율을 계산하였다.
3. 파종량에 따른 부추 플러그묘 생육 특성 조사
파종량에 따른 육묘실험을 위해 스피드그린 품종을 240공 암면파종판(Cultilene, Netherlands) 셀당 3, 6, 9, 12립씩 파종하였고, 질석(Homan Industry, Korea)으로 복토하였다. 관수는 파종판의 무게를 측정하여 1500-1600g 이하가 되면 조제된 양액으로 저면관수하여 충분히 흡수시켜 파종판의 무게를 2350g 정도가 되도록 하였다. 육묘환경으로는 대형 생장상내에서 온도 24℃, 습도 50%, 16시간 명기, 8시간 암기상태로 육묘하였다. 파종후 14일째부터 49일째까지 7일간격으로 생육조사를 실시하였다. 생육조사는 생육특성과 기관별 생체중 및 건물중을 측정하였다.
4. 지상부 절단 높이에 따른 부추 플러그묘 생육 특성 조사
모종의 절단 높이에 따른 묘 생육의 변화를 측정하기 위한 시험은 128구 육묘용 플라스틱 트레이에 상토(Tobaeki, SJ plant, Korea)를 충진하여 스피드그린 품종을 포트당 8립씩 파종하였다. 파종후 40일째 약 10-12cm의 초장을 확보한 모종을 대상으로 지제부에서 1, 3, 5 및 7cm씩 남기고 소독한 가위로 잘라주었다. 이후 7일 간격으로 생육조사를 진행하였고 3회차 생육조사를 마친 후 다시 같은 크기로 자른 후 3회 더 생육조사를 진행하였다. 생육조사는 초장, 엽수, 최대근장, 최대경경, 기관별 생체중 및 건물중을 측정하였다. 특히 초장은 절단처리후 지제부부터의 길이를 측정하였다.
5. 부추 육묘 재배 환경
육묘는 실내온도 20℃, 상대습도 60%로 제어되는 생육상에서 실시하였으며, 균일한 발아를 위하여 파종판 위에 젖은 신문지를 덮고 발아가 시작되면 걷어주었다. 관수를 위한 양액은 일본원시 파배양액(NO3-N 16, NH4-N 2.0, PO4-P 2.0, Ca 2.0, Mg 2.0, SO4-S 2.0 me·L-1)을 EC 0.5, pH 6.0으로 조정하여 사용하였다.
6. 실험 설계 및 통계 분석
발아실험은 50립 3반복으로 수행하였으며 완전히 임의배치 하였고, 육묘실험는 난괴법으로 처리당 실험구 4반복으로 수행하였다. 통계 분석은 SAS 9.4(SAS Inst. Inc., Cary, NC, USA)를 이용하여 분산분석(ANOVA)을 수행하였고, 처리의 평균간 통계적인 유의성은 Tukey’s honestly significant difference test(p < 0.05)에 의하여 일원분산분석으로 검증하였다.
결과 및 고찰
1. 부추 품종 별 발아 특성 비교
본 연구에 사용된 스피드그린과 그린벨트는 상업적으로 판매되고 있는 품종이며, 두메부추는 우리나라의 고유 재래품종으로 각각의 발아 특성을 비교하였다.
시판부추(스피드그린, 그린벨트)와 재래부추(두메부추)의 경시적인 발아율을 비교해보면(Fig. 1), 스피드그린이 3일만에 92%정도까지 발아하였고, 이후 5일째에 96.6%에 도달하여 발아력이 우수하였다. 그러나 그린벨트은 3일째에는 66%정도까지 발아력이 상승하였으나 6-7일정도에 83% 정도에 도달하여 증가를 멈추었다. 그러나 두메부추의 경우에는 상품화 과정을 거치지 않은 재래품종으로 7일째까지 발아율이 1%를 넘지 못하였고, 이후 발아율이 높아졌으나 9일째에 17.5%, 14일째에 24%정도로 낮았고, 반복간의 변이도 커 균질화되지 못한 품종특성을 나타내어 이에 대한 개량을 통해 안정된 품종으로서의 특성을 확보할 필요가 있었다. 상업적으로 육종된 그린벨트나 스피드그린의 발아율은 상당히 안정된 발아율을 나타내었다. 재래품종이 아닌 시판품종에서도 품종간에 발아율의 차이가 있었는데 이것이 두 품종의 생리적, 유전적 특성인지, 선별방법이나 과정에서의 차이인지 명확하지 않으나 차이가 확연하였다. 종자의 발아율과 발아균일성은 종자의 종자의 활력, 건전성, 생리적, 유전적 특성 등의 내적요인과 수분, 온도, 산소, 광의 유무 등 발아환경에 의해 달라진다고 한다. 또한 종자의 활력은 수확후 선정 및 저장조건에 따라서도 달라지게 되는데 이와 같이 종자발아가 내외적 요인이 복합적으로 작용하기 때문에 많은 연구에도 불구하고 아직 밝혀지지 않은 부분이 많다(He와 Yang, 2013).
종자 발아를 평가하고, 발아과정의 전체 과정을 특성화하기 위해 몇가지 계수들이 개발되어왔다(Kader, 2005). 예를들어 발아속도계수(CVG; Coefficient of velocity of germination)는 발아의 속도를 분석하고, 발아된 종자수가 증가하고 발아에 필요한 시간이 감소함에 따라 값이 증가하게 된다. 종자발아지수(GI; Germination index)는 육묘배지나 토양에 존재하는 특정물질의 잠재적인 식물독성이나 억제물질 등을 평가하는데 널리 쓰이는 테스트이며, 종자발아율과 뿌리신장을 고려하여 추정하게 된다(Sobarzo-Bernal 등, 2021; Ceretta 등, 2018; Luo 등, 2018; Jagadabhi 등, 2019; Noni-Morales 등, 2019). 한편 Soltani 등(2015)는 평균발아일수보다 T50이 더 정확한 발아 소요일수를 나타낸다고 하였으며, T50의 사용을 권장하였다.
부추에서의 이러한 발아특성을 비교해 보면(Table 1) 스피드그린과 그린벨트의 발아율은 큰 차이가 없었고 두메부추는 확연하게 발아율이 떨어져 보급화를 위해서는 발아율 향상방안이 연구되어야 할 것으로 판단되었다. 평균발아시간(MGT; mean germination time)은 스피드그린과 그린벨트가 2.28-2.38일이었으나 재래품종인 두메부추는 9.22일이 소요되었다. 발아속도계수(CVG; Coefficient of velocity of germination)는 스피드그린과 그린벨트이 43.98과 21.21로 나타났으나 두메부추는 10.92로 극히 낮았다. 발아지수(GI; germination index)도 유사한 반응을 나타냈고, T50의 결과는 평균발아시간(MGT)과 유사하게 나타났고, 발아 균일도(GU)는 처리간 숫자상의 차이는 나타났으나 통계적 유의성은 나타나지 않았다.
Table 1.
Germination characteristics of Chinese chive varieties at 14 days after sowing at 20°C (n = 30).
| 14 Days After Sowing | ||||||
| Variety |
Germination percentage (%) |
Mean germination time (days) |
Coefficient of velocity of germination |
Germination index |
T50y (days) |
Germination Uniformity |
| Speedgreen | 96.67az | 2.28b | 43.98a | 15.85a | 1.87b | 3.117 |
| Greenbelt | 83.33a | 2.38b | 42.21a | 14.91a | 1.49b | 2.007 |
| Dume | 23.33b | 9.22a | 10.92b | 0.78b | 8.64a | 1.783 |
2. 부추 품종 별 종자 수분함량 및 함수량 비교
종자의 특성을 나타내는 종자의 경시적인 수분흡수율과 수분함유율을 비교한 것이 Fig. 2이다. 종자 발아는 마른 종자가 수분을 흡수하면서 시작되고 유근의 출현과 함께 종료한다고 정의하는데(Bewley, 1997), 종자의 발아과정은 마른종자가 수분을 급격하게 흡수하는 흡수기와 수분흡수는 정체되고 생리적인 대사활동이 시작되는 활성기로 진행되다가 유아나 유근이 출현하면서 다시 수분흡수가 증가하는 발아후 생장기의 3단계로 나뉜다고 한다(Bewley, 1997). 수분흡수율에 있어서 스피드그린과 그린벨트 두 품종간에서 유의적인 차이가 6시간 이후부터 48시간까지 있었으나 이후에는 유의적 차이는 없는 것으로 나타났다(Fig. 2A). 그러나 두메부추는 수분흡수율의 증가속도가 완만하여 개량된 품종에 비해 확연한 차이가 나타났고, 최대 수분흡수율도 85%정도로 개량된 품종의 97%에 비해 차이가 있었다. 스피드그린과 그린벨트는 침지후 12시간까지 급격하게 증가하다가 흡수율의 속도가 완만하게 느려지는데 이것이 생리적인 대사활동이 시작되는 활성기로 진행되어 종자내부의 생리적 대사활동의 시작으로 생각되었으며, 스피드그린과 그린벨트의 흡수율의 차이가 발아율의 차이에 영향을 미치는 것으로 생각되었다. 종자의 수분흡수가 억제되면 발아가 지연되는 물리적 휴면(Baskin과 Baskin, 2004; Finch-Savage와 Leubner-Metzger, 2006)는 현상이 나타나는데 두메부추의 경우 발아율이 상대적으로 낮기는 하지만 수분흡수율이 현저하게 떨어지는 것은 아니었고, 종자가 수분흡수후 초기 종자 무게보다 20%이상 무게가 증가하면 수분 투과성이 있는 것으로 간주하는데(Baskin과 Baskin, 2004) 두메부추는 침지후 24시간 후에 수분흡수율 49%, 수분함량 40%에 도달하여 물리적인 휴면은 없는 것으로 판단되었으며(Fig. 2B), Hwang 등(2023)도 재래부추인 돌부추의 종자 발아특성 연구에서도 같은 결과를 보고하였다.
종자의 수분함량 차이를 보면 스피드그린과 그린벨트는 유의적 차이가 없었고, 두메부추의 경우에도 침지후 4-72시간 사이에는 스피드그린과 그린벨트와 차이가 있었으나 72시간 이후에는 두 품종과의 차이가 없어 수분함유율이 두메부추의 발아에 영향을 주는 요인이 아니라는 것을 알 수 있었다(Fig. 2B).
Kim 등(2021)은 자생 부추속 4종에 대한 발아특성 연구에서 강부추가 명조건 보다 암조건에서 발아율과 T50, 평균발아일수의 단축이 가능하였고, 특히 15-20℃에서 암조건이 발아속도 및 발아균일도를 향상시킨다고 하였는데, 본 연구에서는 23℃의 온도환경과 12시간 명조건, 12시간 암조건의 환경에서 시험하였는데 좀더 낮은 온도에서의 발아와 광조건 등이 필요하였다고 생각하며, 시판품종에 비해 발아율이 낮은 재래품종의 발아특성 향상을 위한 발아환경 조건에 대한 연구(Yoo 등, 1992; Kim 등, 2021; Jeon 등 2015)를 종합하여 재래품종의 활성화를 위해 다양한 육묘환경 구명이 필요하다고 생각되었다.
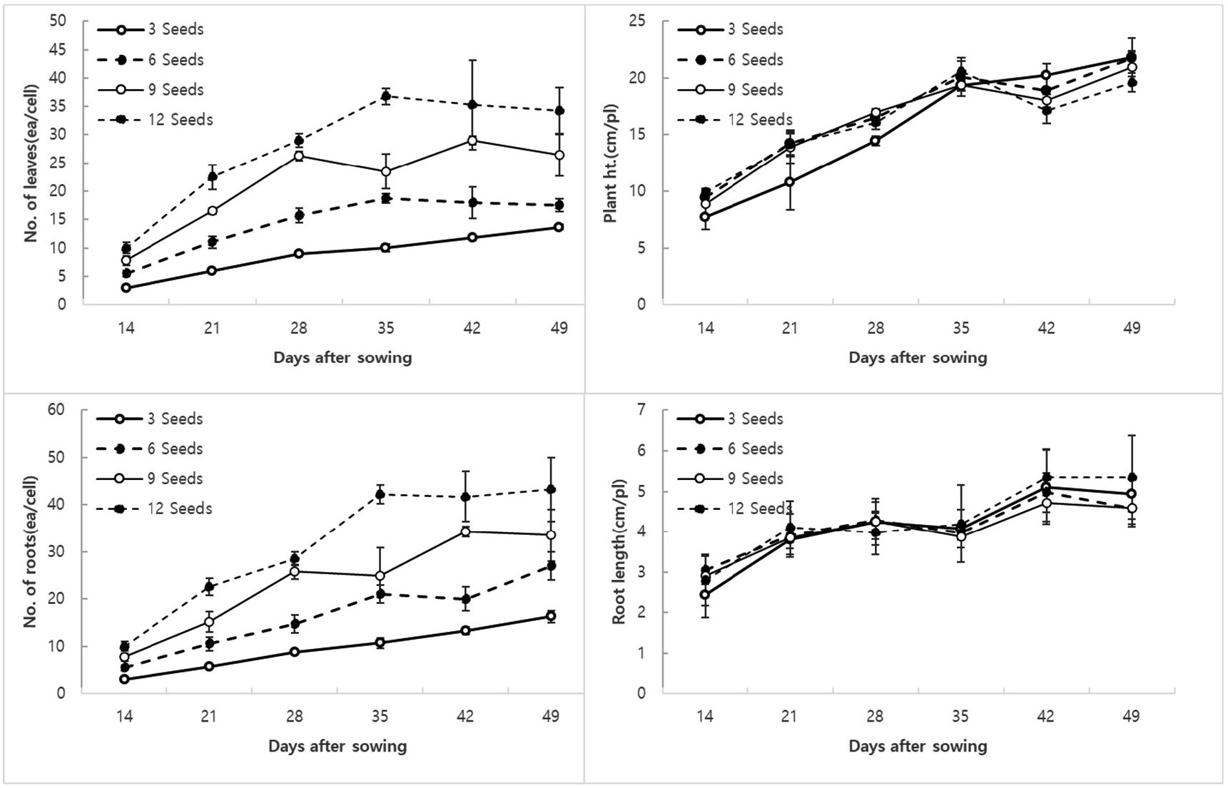
3. 파종량에 따른 부추 플러그묘의 생육 특성
파종립수에 따른 부추 플러그묘의 생육특성을 조사한 결과(Table 2) 엽수는 파종량이 가장 많은 12립 파종구가 가장 많고 파종량이 적을수록 엽수도 적게 나타났다. 그러나 파종량의 배수만큼 엽수가 많아지는 것은 아니었다.
Table 2.
The growth characteristics of Chinese chive seedlings as affected by sowing amount in plug tray at 49 days after sowing. The sowing amounts were 3, 6, 9 and 12 seeds per a rockwool plug cell.
|
Sowing Amount |
No. of leaves (ea/cell) |
Plant ht. (cm/pl) |
No. of roots (ea/cell) |
Root length (cm/pl) | Fresh wt. (g/cell) | Dry wt. (g/cell) | T/R ratio | |||
| Top | Root | Top | Root | |||||||
| 3 seeds | 13.66dz | 21.80a | 16.33c | 4.93 | 0.55b | 0.12b | 0.04bc | 0.02b | 2.21a | |
| 6 seeds | 17.50c | 21.75a | 27.00bc | 4.58 | 0.76ab | 0.21b | 0.07b | 0.04b | 1.53b | |
| 9 seeds | 26.50b | 20.97b | 33.50ab | 4.60 | 1.10a | 0.35a | 0.10ab | 0.05b | 2.05ab | |
| 12 seeds | 34.25a | 19.63b | 43.25a | 5.35 | 1.19a | 0.44a | 0.11a | 0.08a | 1.45b | |
초장에 있어서는 파종립수가 많은 12립 파종구에서 다른 처리구에 비해 현격하게 낮은 것으로 나타났으며, 특히 파종립수가 적은 3립와 6립 파종구가 유의하게 초장이 높았는데, 파종립가 많아 플러그내에 종자가 밀집해있는 12립 파종구의 초장이 높아질 것이라 예상했으나 경쟁이 적은 3립과 6립 파종구가 높게 나타나 이러한 이유가 플러그 배지내의 수분경쟁에 의한 것인지 확인할 필요가 있었다.
근수에 있어서도 마찬가지로 파종량이 많을수록 개체가 많아 파종립수의 증가에 따라 근수도 증가하였는데, 최대근장의 경우에는 12립 파종구가 가장 짧게 나타났고, 3립 파종구가 가장 긴 것으로 나타나 초장의 반응이 근장에도 유사한 반응이 나타났는데 이러한 반응이 배지의 수분공급량이나 공급횟수 또는 파종량에 따른 배지량 증가 등의 반응을 확인할 필요가 있을 것으로 생각되었다.
지상부 생체중과 지하부 생체중은 파종립수의 증가에 따라 같이 증가하는 반응을 나타내었으나 지하부의 생체중에 있어서 9립과 12립의 차이가 크지 않았다. 건물중을 보면 지상부와 지하부 모두 생장이 진행될수록 파종립수가 많을수록 건물중도 증가하였다. 파종량에 따른 생체중과 건물생산을 종자수 증가에 따라 개체당 산물의 생산이 증가할 것이나 꼭 종자량에 따른 배수적인 증가는 나타나지 않았는데 이는 종자의 증가에 따른 발아이후의 양수분 경합이나 수광태세의 차이 등이 원인일 것으로 판단되었다.
Fig. 3은 파종후 14일째부터 49일째까지의 부추 생장특성을 나타낸 것이다. 파종립수가 많을수록 엽수가 증가하는 경향을 보였으나, 3립 파종구가 49일째에 13.6엽을 확보한 반면, 9립 파종구는 26.5엽으로 3립 파종구의 1.95배 증가되었으며, 12립 파종구는 엽수가 34.2엽으로 나타나 파종량의 증가가 엽수의 비례적 증가로 이어지지는 않았다. 즉 파종량 증가는 분얼 및 엽수의 증가에 정비례하지 않는 것으로 확인되었다. 특히 엽수와 근수의 증가 추세를 보면 파종 후 28일째까지는 처리간 증가 경향이 유사하거나 다립 처리구에서 급격한 증가를 보였으나 이후 증가율이 급격히 저하되는 양상을 나타냈다. 이러한 결과는 엽수와 근수의 증가에 따른 양수분 흡수 및 증산량 증가에 비해 적절한 수분공급이 이루어지지 못한데 기인한 것으로 판단된다. Kim 등(2001)은 트레이의 셀크기와 육묘일수가 증가할수록 생장이 촉진되고, 정식후 포장활착율은 셀크기가 작고 육묘일수가 짧을수록 낮았다고 하였다. 셀크기가 작을수록 개체당 분얼수가 적은 반면 셀크기가 클수록 육묘일수가 경과함에 따라 분얼이 증가하였다. 이는 셀크기가 클수록 보유할 수 있는 수분함량이 많아 상대적으로 양수분의 공급이 원활하여 생육에 유리하며, 분얼에도 긍정적인 영향을 미칠 수 있음을 시사한다. 따라서 파종량이 많을 경우에는 더 많은 양수분 공급을 하거나 더 큰 셀크기를 선택하는 것이 바람직할 것으로 판단된다.
경시적인 초장의 변화는 파종 초기에는 3립파종구가 가장 낮았으나 35일 이후에는 12립 파종구가 가장 낮아졌으며, 나머지 파종구는 같은 초장을 나타내어 파종량에 따른 초장차이는 유의성이 없었다. 플러그 셀당 뿌리 갯수의 경시적 변화를 보면 파종량이 많을수록 뿌리수가 유의적으로 증가하였으나 근장의 경우는 초장과 마찬가지로 파종량의 차이에 따른 뿌리생육의 차이가 처리별로 크게 영향이 없었다.
Fig. 4는 셀당 파종량에 따른 지상부와 지하부의 생체중과 건물중의 경시적인 변화를 나타낸 것이다. 지상부와 지하부의 생체중은 파종량에 따라 유사한 증가경향을 보였으나, 지하부 생체중은 49일째에 3립 파종구 대비 12립 파종구가 3.6배로, 파종량에 비례하여 증가하는 경향을 나타냈다. 반면, 지상부 생체중은 동일 처리구 비교시 2.13배에 불과하여 파종량의 차이가 지상부보다 지하부 생육에 더 큰 영향을 미치는 것으로 확인되었다. 건물중 또한 파종량에 따른 생체중의 변화와 유사한 양상을 보였으며, 처리간 경시적 변화는 통계적으로 유사하였다. 파종후 49일째 지상부 건물중은 3립 파종구 대비 12립 파종구에서 2.4배, 지하부 건물중은 3.35배의 차이를 보여, 생체중과 마찬가지로 지하부의 생육에 더 큰 영향을 미치는 것으로 나타났다.
부추는 파속 중에서도 분얼력이 강하여 생육기에는 분얼에 의해 주수가 증가하므로 종자 파종보다는 주로 분주에 의해 증식한다. Yoo 등(1992)은 한국산 야생부추류의 재배화를 목적으로 7개 품종의 분얼 및 분구 특성을 조사한 결과, 실생묘의 있어서 전 생육기간 동안 개체당 발생한 분얼 및 분구 수가 10개 이상인 종은 좀부추, 6-10개인 종은 두메부추였으며, 엽수가 20개 이상인 종도 좀부추와 두메부추라고 보고하여 품종별로 분얼과 분구의 생육특성에 차이가 있음을 밝혔다. 본 연구에서는 초기 분얼수 증대를 통한 엽수확대와 수확량 증대를 목적으로 파종량을 증가시켰으나, 엽수는 증가량에 비례하여 늘어났으나 정비례하는 경향은 나타나지 않았다. 또한 파종량 증가는 지상부보다 지하부의 생육증가에 더 큰 영향을 미치는 것으로 확인되었다.
양액재배를 위한 육묘를 한다면 정식포트에 넣기 편하고 상토의 가루가 양액에 혼합되어 노즐을 막히게 할 수 있는 일반상토를 피하고, 수분보유력이나 지지력이 좋은 암면파종판을 활용하는 것이 좋을 것으로 판단되며, 파종립수는 빠르게 분얼수를 증대시켜 수확량을 증대시키기 위해서는 파종판에 셀당 8-10개를 파종하는 것이 좋을 것이라 판단되었다.
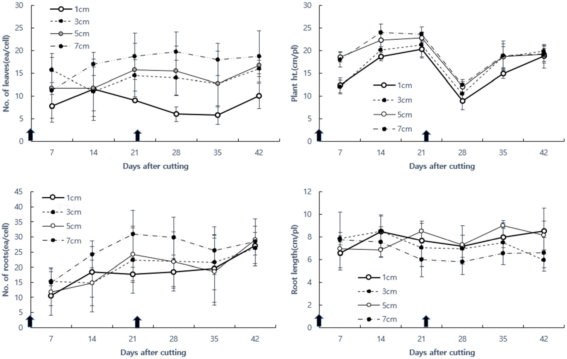
4. 지상부 절단 높이에 따른 부추 플러그묘 생육 특성
분얼증대를 위한 묘의 절단처리에 있어서는 파종후 40일째에 1차 절단을 하고, 다시 21후 재절단을 하여 절단처리에 의한 분얼수 증대로 인한 엽수증대 효과를 확인하고자 처리하였다.
Fig. 5의 엽절단처리에 따른 부추 엽수의 경시적인 변화를 보면 절단 높이가 높을수록 엽수의 증대효과가 높았으며, 절단 높이가 낮은 1cm처리구의 경우 엽수의 증대효과가 매우 미미하였다. 그러나 초장은 절단 높이가 높을수록 증가할 것이라는 예상과 달리 5cm와 7cm처리간에는 유의한 차이가 나타나지 않았다. 또한 처리 후 21일째 재 절단 이후의 초장 증가속도는 첫 번째 절단 이후보다 더 빨랐다. 이는 뿌리의 확보에 따른 생장속도의 차이로 생각되었다. 뿌리량의 경시적 변화를 보면 절단높이가 높아서 지상부의 생체 확보가 많은 7cm처리구의 뿌리수가 가장 많았으며 1cm, 3cm 및 5cm 처리구는 처리간 유의차가 없었다. 뿌리의 길이 변화는 특별한 경향치가 나타나진 않았으나 절단위치가 높은 7cm처리구가 가장 짧았고 뿌리수와 마찬가지로 1cm, 3cm 및 5cm의 처리구에서는 유의한 차이가 없었다. 따라서 7cm절단 처리구는 뿌리 수가 많은 반면 뿌리의 길이는 짧게 생육했던 것으로 나타났다.

Fig. 5
The changes of growth characteristics of Chinese chive seedlings as affected by leaf cutting treatment of 40 days after sowing and recutting on 21 days after first cutting in rockwool plug tray. Cutting heights are 1, 3, 5 and 7 cm above the subterranean part of the plant. The error bars represent the standard deviation of the values (n = 6). Thick arrow means cutting treatment time.
절단위치에 따른 기관별 생체중과 건물중의 변화를 보면(Fig. 6) 지상부와 지하부의 생체중의 경시적인 변화가 절단위치가 높을수록 증가하는 경향이었고, 특히 재절단 이후 1cm와 3cm절단 처리구는 지상부 생체중 감소가 심하였으나 5cm와 7cm절단처리구는 절단에 따른 영향이 크지 않은 것으로 나타났다. 기관별 건물중의 경시적 변화도 생체중 변화와 유사한 반응이었으나 재절단 이후 5cm와 7cm 절단처리구의 생체중과 건물중의 변화패턴의 차이가 나타났는데 재절단 이후 생체중은 지속적인 증가 경향이었으나 건물중은 감소하였다가 다시 증가하는 경향이 1cm 및 3cm 절단처리구와 유사한 변화를 보여 재절단 이후 5cm와 7cm절단 처리구의 지상부 생체중 증가에 있어서 뿌리량의 증대로 인한 양수분 흡수량이 많아 한정된 지상부 세포에 상대적으로 많은 양의 수분공급이 이루어져 생체중 증가는 이루어졌으나 건물중의 증가는 미미한 것으로 나타났다.

Fig. 6
The changes of fresh and dry weight of Chinese chive seedlings as affected by leaf cutting treatments of 40 days after sowing and recutting on 21 days after first cutting in rockwool plug tray. Cutting heights are 1, 3, 5 and 7 cm above the subterranean part of the plant. The error bars represent the standard deviation of the values (n = 6). Thick arrow means cutting treatment time.
Table 3은 절단높이에 따른 파종후 40일째에 첫번째 절단을 하고, 그 후 다시 21일째에 두 번째 절단을 한 후 첫 절단 42일째 부추의 생육특성을 나타낸 것이다. 절단 위치에 따른 엽수의 증가는 7cm높이로 절단한 것이 가장 많은 것으로 나타났고, 1cm의 절단 높이는 엽수증가가 현격히 차이가 있는 것을 알 수 있었다. 절단높이에 따른 초장, 근수 및 근장은 절단높이 처리에 따른 유의성이 없었다. 지상부와 지하부의 생체중과 건물중의 변화를 보면 지상부의 생체중과 건물중에서 7cm높이로 절단한 처리구가 가장 biomass의 확보가 많은 것으로 나타났으나 지하부의 생체중과 건물중은 평균값의 차이는 있으나 통계적 유의성은 나타나지 않았다. 이에 따라 지상부와 지하부의 T/R율도 처리간에 통계적 유의성이 없었으나 절단위치가 낮을수록 지하부 생장대비 지상부의 생장이 더 높아지는 경향이 있었다.
Table 3.
The growth characteristics of Chinese chive seedlings as affected by leaf cutting treatment of 40 days after sowing and recutting on 21 day after first cutting in rockwool plug tray. Cutting heights are 1, 3, 5 and 7 cm above the subterranean part of the plant.
| Cutting ht. |
No. of leaves (ea/cell) |
Plant ht. (cm/pl) |
No. of roots (ea/cell) |
Root length (cm/pl) | Fresh wt.(g/cell) | Dry wt.(g/cell) | T/R ratio | |||
| Top | Root | Top | Root | |||||||
| 1 cm | 10.00bz | 18.72 | 27.00 | 8.50 | 0.40b | 0.77 | 0.03c | 0.06c | 0.66 | |
| 3 cm | 16.00ab | 19.83 | 26.25 | 5.92 | 0.49ab | 0.90 | 0.05bc | 0.08bc | 0.59 | |
| 5 cm | 16.75ab | 19.17 | 29.00 | 8.12 | 0.53ab | 1.13 | 0.05ab | 0.12ab | 0.48 | |
| 7 cm | 18.75a | 19.25 | 28.50 | 6.60 | 0.67a | 1.21 | 0.06a | 0.16a | 0.45 | |
Yoo 등(1992)은 7종의 자생부추류를 대상으로하여 분얼과 분구특성에 대한 연구를 진행하면서 두메부추와 좀부추는 6월 초순이나 하순부터 꾸준히 분얼이 증가하다가 10월에 들어 기온의 하강에 의해 발육이 정지되면서 분얼도 멈추었으며, 이외의 산부추, 한라부추, 참산부추, 세모부추 및 돌부추는 증가의 경향이 크지 않았다고 하였으며, Lee 등(2014)와 Park 등(2016)은 부추의 시설재배시 50-75%의 차광에 의해 하고현상을 감소시키고 수량증대 및 분얼수의 증대에 도움이 되었다고 하였는데 부추류의 분얼은 생장의 속도와 생장량에 영향을 받는 것으로 판단되었다. 특히 본 연구에서 지제부 절단을 통해 분얼수 증대에 영향을 미치려 하였으나 절단위치가 높을수록 엽수의 증가와 함께 분얼이 증가하는 것을 확인하였다.






