서 언
원예작물 용기재배를 위해 이용하는 혼합상토는 용기 의 높이 등 형태에 적합하도록 물리 및 화학적 특성을 조절하여 작물 재배에 이용한다. 용기의 특성을 고려하 여 노지토양보다 공극률을 높이고, 대공극 비율이 높은 상태로 물리적 특성을 조절하며, 이를 위해 직경이 큰 펄라이트, 버미큘라이트, 피트모스 및 코이어 더스트 등 의 혼합비율을 높여서 조제한다(Choi 등, 2000).
원예용 상토로 이용되는 펄라이트나 버미큘라이트의 경우 직경 2~5mm 규격이 원예용 등급으로 인정되고 (Nelson, 2012), 이와 같은 크기는 직경 0.002mm 이하 인 점토나 직경 0.002~0.005mm인 미사토보다 직경이 1,000배~2,500배 큰 것이다. 혼합상토를 구성하는 원료 의 직경이 클 경우 표면적이 감소하고, 표면적 감소가 원인이 되어 입자 표면에 형성되는 음전하가 감소(통상 양이온치환용량으로 표현됨.)하며, 그리고 음전하량 감소 가 토양의 물리·화학적 완충력이 낮아지는 원인이 된다 (Choi 등, 2000). 물리·화학적 완충력이 낮으면 수분 및 양분의 과부족에 대하여 식물이 민감하게 반응하고 식물 생육이 저조해지는 경우가 자주 발생한다.
특히 최근 원예작물 묘생산을 위해 보편적으로 적용하 는 플러그 육묘의 경우 한 식물체를 지주하는 상토의 양이 적으며, 플러그 트레이의 규격에 따른 차이가 있지 만 한 식물체를 지주하는 상토의 양이 매우적다. Styer 와 Koranski(1997)는 28cm × 56cm(가로 × 세로)의 플 러그 트레이에 18공~800공의 셀을 만들며, 트레이 셀의 수가 많을수록 한 식물체를 지주하는 상토의 양이 적어 진다고 하였다. 국내 채소류 육묘의 경우 32-셀, 50-셀 및 72-셀 트레이가 많이 이용되며, 32-셀은 50~72mL, 50-셀은 36~62mL, 그리고 72-셀 트레이는 30~54mL의 트레이 내의 셀 용적을 갖는 것으로 알려져 있다. 따라 서 셀수가 적을수록 트레이 내의 각 셀당 용적이 많고, 이로 인해 완충력이 증가하여 식물 생장에 유리하게 작 용한다는 것은 농가에서도 충분히 인식하고 있다.
플러그 육묘의 경우 플러그 트레이에 상토를 충전하고 종자를 파종하여 발아시키며, 발아된 종자를 이식 전까 지 육묘한다. 이 때 충전되는 대부분의 상토는 조제과정 에서 일정량의 비료를 첨가하고, 비효가 부족할 시기에 추비를 하고 있다. 그러나 상토의 완충력에 따라 기비로 혼합되는 비료의 종류 및 양을 조절해야 한다. 특히 질 소의 경우 NH4+나 NO3-로 시비할 수 있고, NH4+의 경우 저농도에서는 상토의 양이온치환부위에 흡착되는 양이 많아 유실량이 적고, NO3- 보다 작물 생장에 유리하게 작 용하지만, 고농도에서는 과잉피해가 빈번하게 발생한다. 그러나 NO3-의 경우 상토의 양이온치환부위에 흡착되지 못하는 이유로 흡수효율이 낮아지는 문제를 갖는다.
따라서 과잉피해를 유발하지 않고 작물 생육이 우수한 범위 내로 NH4+의 시비 비율을 조절하는 것이 작물 생 장이나 흡수효율 증진을 위해 바람직하지만 적합한 비율 이 상토의 특성에 따라 다르다는 문제점을 갖고 있다. 이상 설명한 바와 같은 배경하에 ‘녹광’ 고추를 대상으 로 기비로 혼합된 암모늄태 질소(NH4+)와 질산태 질소 (NO3-)의 비율이 상토 화학성 변화와 유묘 생장에 미치 는 영향을 구명하기 위하여 본 연구를 수행하였다.
재료 및 방법
연구를 수행하기 위해 코이어 더스트:피트모스:펄라이트 를 35:35:30%(v/v/v) 비율로 혼합한 상토를 조제하였다. 조제된 상토의 물리적 특성을 측정한 결과 공극률 82.4%, 용기용수량 62.7%, 기상률 19.7%였고, 1~4.98kPa의 수분 장력하에 존재하는 식물이 쉽게 흡수할 수 있는 수분이 19.5% 그리고 4.98~9.96kPa의 장력하에 존재하는 완충 수가 5.5%로 측정되었다.
상토 구성재료를 혼합하는 과정에서 기비를 첨가하였 으며 총질소의 농도를 300mg·L-1로 동일하게 조절한 조 건에서 암모늄태 질소와 질산태 질소의 비율(NH4+:NO3-) 을 0:100, 27:73, 50:50, 73:27, 100:0으로 변화시켰다. 질소질 비료와 필수원소를 포함한 비료를 기비로 첨가하 였고, 혼합한 비료의 종류와 양은 Sung 등(2016)의 조성 과 동일하게 하였다(Table 1).
Table 1. Kinds and amounts of pre-planting nutrient charge fertilizers incorporated during formulation of the mixture of coir dust:peatmoss:perlite 35:35:30% (v/v/v)z.
![]() |
질소 외에 모든 필수원소를 포함한 상태의 혼합상토를 50구 플러그 트레이에 충전하고 ㈜ 동부팜흥농의 ‘녹광’ (Capsicum annuum L. cv. Nokkwang) 고추 종자를 파 종하였다. 파종한 플러그 트레이를 28~29°C로 온도를 조절한 발아실에 위치시켰고, 3일 뒤 종자가 발아된 후 즉시 플러그 트레이를 유리온실로 옮긴 후 육묘하였다. 파종 20일 후부터 추비를 시작하였고, 7~10일 간격으로 13-2-13과 20-9-20(N-P2O5-K2O, Sunshine Technigro, USA) 비료를 질소 기준 120mg·L-1로 농도를 조절하여 두상관비하였으며, 필요시 지하수를 두상관수 하였다. 2018년 2월 26일 파종 후 2018년 4월 17일까지 육묘하 는 동안 온실의 평균 주/야간 온도는 28/16°C였으며, 평 균 광도는 약 370μmol·m-2·s-1(오후 2시 기준)였다.
상토의 pH 및 EC 변화는 매주 상토를 채취하여 측정 하였다. 상토의 다량원소 농도 변화를 확인하기 위해 혼 합상토 조제과정에서 기비를 혼합한 상토 시료를 고추 종자 파종 3주 및 7주 후에 채취하여 분석하였다. 식물 체의 무기원소 함량 분석을 위해 파종 7주 후에 식물체 지상부를 수확한 후 0.01N HCl 용액으로 수세하여 잎 표면의 이물질을 제거하고 75°C 건조기에서 24시간 건 조시켰다. 건조된 식물체는 20mesh 스크린을 통과하도 록 분쇄한 후 건물중에 기초하여 분쇄된 식물체의 무기 원소 함량을 분석하였다. 식물체의 지상부 생장은 파종 7주 후에 무작위로 수집한 15개체를 Choi 등(1997)의 방법에 따라 조사하였으며, 주요 조사항목은 초장, 초폭, 엽장, 엽폭, 엽수, 경직경, SPAD, 생체중 및 건물중이었 다. 상토 및 식물체 무기원소 분석은 국립농업과학원표준 법(NIAST, 2000)에 준하여 실시하였으며, 방법과 분석을 위해 사용한 기자재는 Sung 등(2016)과 동일하였다.
파종 7주 후에 각 처리별 15개체를 무작위로 선발하 여 3반복으로 조사한 지상부 생장과 상토 및 식물체의 무기원소 함량 분석 결과는 CoStat 프로그램(Monterey, California, USA)으로 처리간 평균을 p ≤ 0.05 수준에서 비교하였고, 1차 및 2차항 회귀분석을 하여 NH4+:NO3- 비율 변화에 따른 경향을 파악하였다.
결과 및 고찰
기비로 혼합된 NH4+:NO3- 비율이 파종 7주 후 고추유 묘의 지상부 생장에 미치는 영향을 조사한 결과를 Table 2와 Fig. 1에 나타내었다. NH4+:NO3- 비율이 50:50인 처 리구에서 지상부 식물체의 생체중과 건물중이 가장 무거 웠으며, NH4+:NO3- 비율이 27:73, 0:100으로 NO3- 비율 이 늘어난 경우 50:50 처리에 비한 감소 정도가 크지 않았다. 그러나 NH4+:NO3- 비율이 73:27 또는 100:0으 로 조절하여 NH4+ 비율이 높아질 때 생장이 심하게 저 조하였고, NH4+:NO3- 비율에 따른 생체중 및 건물중 변 화에서 직선 및 2차곡선회귀가 성립하여 경향이 뚜렷함 을 나타내고 있다. NH4+ 비율이 높은 처리구에서의 생 장저하는 NH4+ 독성으로 인한 결과로 판단되며, Marschner(2012)는 NH4NO3를 시비하면 NH4+가 먼저 흡 수된 후 NO3-의 흡수가 시작되며 이로 인해 pH가 낮아 졌다가 다시 상승한다고 하였다. 또한 일반적인 경우 NH4+의 시비농도가 높아지면 H+가 세포 외로 용출되지 만 과도하게 근권부 NH4+가 고농도일 때 세포 내 pH stat이 적절하게 작동하지 못하여 세포질 및 액포의 pH 가 저하하고 생육이 저조해지는 문제가 발생한다고 하였 다. 그는 NH4+가 높은 경우 생육이 저조해지는 구체적 인 이유로 pH stat이 부적절하게 작동하여 세포질 pH 조절이 어렵고 세포막을 가로질러 H+ 이동이 어려워지는 문제 발생, 흡수되는 양이온과 음이온의 비율이 불균형 해서 energy, 광합성 산물, 물을 소비해야 하는데 NH4+가 불필요하게 원형질막을 가로질러 운반되면서 energy를 소 비한다고 생육이 저조해지는 문제를 설명하고 있다. 또한 Fabrice 등(2008)은 세포 외의 NH4+ 농도가 높은 경우 세포내에 free-putrescine이 과다하게 축적되고 식물 세포 막이 파괴되거나 조직 괴사 등의 현상이 발현된다고 보 고한 바 있다. 작물 생장과 관련하여 Sonneveld와 Voogt(2009) 또한 NH4+ 비율을 30% 이내로 조절할 때 작물 생장에 유리하다고 보고한 바 있다. 본 연구에서는 100:0 처리구를 제외한 다른 처리간에는 지상부 생장의 통계적인 차이가 인정되지 않았지만 토양 pH나 EC 변 화와 지상부 생장을 고려할 때 NH4+ 비율을 50% 이하 로 유지하는 것이 바람직하다고 판단하였다.
Table 2. Growth characteristics of hot pepper plug seedlings 7 weeks after sowing in 50-plug trays as influenced by various NH4+:NO3- ratios of nitrogen incorporated as pre-planting nutrient charge fertilizer in the coir dust:peatmoss:perlite (35:35:30%, v/v/v) medium.
![]() |

Fig. 1
Growth of hot pepper plug seedlings 7 weeks after sowing in 50-plug trays as influenced by various various NH4+:NO3- ratios of nitrogen incorporated as pre-planting nutrient charge fertilizer in the mixture of coir dust, peatmoss, and perlite 35:35:30% (v/v/v) (NH4+:NO3- ratios: A, 0:100; B, 27:73; C, 50:50; D, 73:27; E, 100:0).
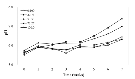
육묘기간 동안 매주 상토 시료를 채취하여 pH와 EC의 변화를 측정하였고, 그 결과를 Fig. 2와 3에 나타내었다. 파종 전 상토의 pH를 측정한 결과 질소비율에 따른 처리 간 차이가 뚜렷하지 않았으나 고추묘의 생장이 진전되면 서 처리간 차이가 커지는 경향이었다. NH4+:NO3- 비율이 100:0, 73:27 또는 50:50인 처리들은 파종 7주 후의 pH 가 약 6 정도였지만 27:73 또는 0:100인 처리의 pH가 점차 상승하여 파종 7주 후 0:100인 처리는 7.40으로 측 정되었다. 이는 지상부 생장이 증가하면서 비료의 흡수 량이 증가하였고, NH4+ 또는 NO3-의 흡수량 증가를 통 해 상토 pH 변화에 미치는 영향이 증가한 것이 원인으 로 파악된다. Marschner(2012)는 식물 뿌리의 무기원소 흡수는 펌프(pump), 담체(coupled transporter, carrier) 및 통로(channel)를 통해 이루어지고, 이중 1차 능동수송자 인 펌프(pump)의 경우 ATP를 소모하면서 무기원소를 세포안으로 흡수하지만, 2차 능동수송자인 담체의 경우 전기화학적 기울기 차이에 의해 무기원소가 세포 안쪽으 로 이동한다고 하였다. 그는 담체를 통해 양이온이 흡수 될 때 H+가 배출되는 역수송이 발생하고, 음이온이 흡수 될 때는 H+가 세포 안쪽으로 흡수되는 동반 수송 또는 OH-가 세포 밖으로 이동하는 역수송이 일어난다고 하였 다. 따라서 본 연구의 NO3-의 시비 비율이 높아짐에 따 라 상토의 H+가 감소하거나 OH-가 증가하여 상토 pH가 상승하였다고 판단한다. NH4+:NO3- 비율에 따른 상토의 pH 변화는 Choi(2007)가 매리골드를 대상으로 수행한 연구 그리고 Choi 등(2008)의 ‘매향’ 딸기를 대상으로 수행한 연구에서도 유사한 경과가 보고된 바 있다.
파종 전 상토 분석 결과에서 NH4+ 비율이 높을수록 상토의 EC가 높았다(Fig. 3). 이는 NH4+ 비율을 높게 조 절하는 과정에서 Cl-이나 SO4-2 등 NH4+와 결합된 상대 이온의 농도가 증가한 것이 주요 원인이라고 생각하며 Table 1에 나타낸 기비 조성에 그 내용을 나타내었다. 그러나 모든 처리의 EC가 파종 3주 후까지 유사한 수준 을 유지하다가 파종 3주 후부터 급격히 낮아지기 시작 하였고, 파종 7주 후에는 0:100(NH4+:NO3-) 처리만 다른 처리보다 낮았을 뿐 나머지 처리간에는 차이가 뚜렷하지 않았다. 파종 3주 후부터 EC가 급격히 낮아진 것은 식 물체의 지상부 생장량이 급증하면서 흡수량이 증가하고 지속적인 관수로 인해 근권부의 무기원소가 용탈된 결과 라고 판단되었다.
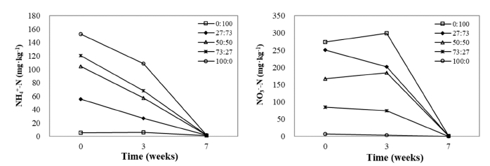
고추 묘의 생장기간 동안 NH4+과 NO3-의 비율에 따른 상토의 NH4+-N과 NO3--N의 농도 변화를 Fig. 4에 나타 내었다. 종자 파종 전 분석한 경우 NH4+ 시비 비율이 높 을수록 상토의 NH4+-N 농도가 높은 경향이었고 처리간 차이가 뚜렷하였다. 그러나 파종 3주 후 모든 처리의 NH4+-N 농도가 낮아졌고 처리간 차이도 적어지는 경향 을 보였으며, 파종 7주 후에는 모든 처리에서 매우 낮은 농도로 분석되었을 뿐만 아니라 처리간 차이도 없었다. 그러나 모든 처리의 NO3--N 농도는 파종 3주 후까지 파 종 전과 유사한 수준을 유지하다가 그 이후에 급격히 농도가 낮아졌다. 파종 3주 후까지 모든 처리의 상토 NH4+-N 농도가 급격히 낮아진 것에 비해 NO3--N 농도 가 유사한 수준을 유지한 것은 NH4+가 급격히 NO3-로 산화되고 있음을 의미한다. 이렇게 판단하는 이유는 이 시기에 식물생장이 급격히 일어나면서 모든 필수원소의 흡수량이 증가함에도 불구하고(Fig. 5의 다량원소 농도 변화 참조) NO3--N 농도가 유사한 수준을 유지하였기 때문이며 NH4+가 토양 미생물에 의한 질산화성 작용에 의해 NO3-로 변화되는 내용에 관하여 Choi(1994)나 Tate(1995)가 보고하였다. 또한, 파종 3주 후 NH4+-N과 NO3--N의 농도가 급격히 낮아지는 이유는 Oh 등(2018) 의 보고와 같이 식물체 생장에 따른 무기원소 흡수량이 증가하고, 관수로 인해 무기원소가 용탈되었기 때문이라 고 판단하였으며, 이는 앞서 기술한 EC의 감소 원인과 같다.
상토의 다량원소 농도를 분석하여 변화되는 양상을 Fig. 5에 나타내었다. 모든 처리에서 정도의 차이가 있었 을 뿐 파종 후부터 급격히 농도가 낮아졌고, 파종 7주 후 K과 P 농도는 모든 처리에서 매우 유사한 농도로 분 석되었다. 그러나 NO3- 시비 비율이 높은 처리에서 상토 의 Ca과 Mg 농도가 낮았으며 이는 Fig. 1에 나타낸 상 토의 pH 변화를 고려하여 판단할 수 있다. NO3- 비율이 높을수록 상토의 pH가 높았으며 pH가 상승할 경우 상 토의 토양 용액에 존재하는 Ca과 Mg의 활성도가 높아 지고(Lindsay, 2001) 식물에 의한 흡수량이 증가한다 (Marschner, 2012;Sonneveld와 Voogt, 2009). 식물체에 의한 흡수량 증가는 상대적으로 상토 내에 존재하는 잔 존량 감소의 원인이 되며 본 연구에서 NO3- 비율이 높 은 처리의 Ca과 Mg 농도가 낮아진 원인이 되었다고 판 단한다.
파종 7주 후의 지상부의 무기원소 함량을 분석한 결과 를 보면(Table 3), P을 제외한 다른 원소에서는 처리간 유의한 차이를 보이지 않았다. 또한 T-N은 NH4+:NO3- 비율이 50:50인 처리에서 가장 높고 이 보다 NH4+ 비율 이 높거나 낮을 때 식물체내 함량이 감소하였고, P 함량 은 73:27 처리에서 가장 높고 이 보다 NH4+ 비율이 높 거나 낮을 때 감소하여, 두 원소 모두 0.05% 수준의 직 선 및 2차곡선회귀가 성립하였으며 식물체내 함량이 뚜 렷한 경향을 보이며 변화됨을 알 수 있었다. Yi 등 (2013)은 식물체내 질소 함량이 NH4+가 높은 처리에서 많았던 이유로 NH4+가 NO3-에 비해 빨리 흡수되고, 유 기질소로의 전환도 빠르기 때문에 식물체내 질소 축적량 이 많아진다고 보고하였다. 그리고, Ca과 Mg은 NH4+ 비 율이 73%를 넘었을 때 식물체내 함량이 가장 낮았는데, 이는 흡수과정에서의 양이온간 길항작용이 원인이 되었 다고 판단한다(Marschner, 2012;Nelson, 2012).
Table 3. Influence of various NH4+:NO3- ratios of nitrogen incorporated as pre-planting nutrient charge fertilizer on the tissue nutrient contents of hot pepper based on the dry weight of whole above ground plant tissue 7 weeks after sowing in 50-plug trays.
![]() |
이상의 결과를 고려할 때 고추 플러그묘 생산을 위해 서는 NH4+와 NO3-를 혼합하여 상토에 기비로 처리할 때 NH4+의 비율이 50%를 넘지 않도록 조절하는 것이 바람직하며, 그 이상의 비율에서는 독성이 발현될 수 있 다고 판단된다.









