Introduction
Firmness is maintained due to an interaction of Ca in cell walls, where it binds to pectins and forms bridges between pectic acids, and as a result, the fruits get intact middle lamella (Madani et al., 2014). Ca increase fruit tissue by reducing respiration, maintaining ascorbic acid and membrane that maintained antioxidant ability, and thus fruits get firmness (Wang et al., 2014). Silicon (Si) is also a functional plant nutrient, and its deficiency in crops has been reported since 1970s (Laing et al., 2006) and it can increases the tomato fruits firmness (Weerahewa and David, 2015). Boron (B) is another vital element that influences cell wall formation to maintain the firmness of pear fruit (Khalaj et al., 2017). Si elicited polyphenol that can induce related genes and enzymes in the metabolic pathways, and avocado fruit’s increase the ability against stress, and reduced lipid peroxidation, lessened electrolyte leakage and increased catalase activity (Tesfay et al., 2011).
Modified atmosphere packaging (MAP) of fresh products can modify the micro atmosphere inside package, by natural reciprocation of two processes; the respiration of the product and the conveyance of gases in the packaging that leads to high carbon dioxide and low oxygen atmosphere (Mahajan, et al., 2007). Proper MAP can retain postharvest quality and shelf life (Islam et al., 2014).
Macro and micronutrients exist in the nutrient solution, however there was no combined foliar spray information about B + Ca + Si. Moreover, no information that directly compared cherry tomato quality and shelf life after B + Ca + Si pre-harvest treatment and MAP postharvest storage at 5°C, 11°C, and 24°C. The aim of this present research was to increase the cherry tomato quality and shelf life by using B + Ca + Si pre-harvest treatment and MAP storage as a postharvest condition at 5°C, 11°C, and 24°C.
Materials and Methods
Cherry tomatoes (Solanum lycopersicum cv. ‘Unicorn’) had grown in hydroponic system during summer at a plastic house in Korea. The supplied nutrient solution EC and pH were 2.3 dS·m-1 and 5.8-6.2, respectively. Foliar spray treatments were started after bearing three trusses of tomato plants and they carried out once a week for five weeks. These treatments were : 1M calcium from calcium chloride (Goutam et al., 2010) + 20mM Si from silicon dioxide (Conceicao et al., 2014), and 4.85mM boron from boric acid (Davis et al., 2003) + 1 M calcium from calcium chloride + 20mM Si from silicon dioxide. A tap water used as a control. Harvested light red maturity-stage tomatoes were used to measure the harvest time quality at room temperature (20°C), and the rest were kept at 5°C and 11°C with 20,000cc/m2 day atm oxygen transmission rate (OTR) packaging film as a MAP, and at 24°C with 40,000cc OTR packaging film as a MAP with 85% relative humidity to measure the fruit quality and shelf life.
Carbon dioxide and oxygen were measured by a PBI Dansensor (Check Mate 9900, Denmark). A GC-2010 Shimadzu chromatograph (Shimadzu Corporation, Japan), and equipped with a BP 20 wax column (30m × 0.25mm × 0.25μm; SGE Analytical Science, Australia) and with a flame ionization detector was used to analyze ethylene. The detector and injector, ovens and carrier gas (N2) flow rate were 127°C, 50°C, and 0.67mL/s, respectively (Mele et al., 2017).
Tomatoes fresh weight loss was measured by subtracting the tomato weights from their earlier measured weights and presented as percent of weight loss during the storage period. Tomatoes visual quality was observed on a scale of 1 to 5 (1 = very bad, 2 = bad, 3 = good, marketable, 4 = very good, and 5 = excellent) at 5°C, 11°C, and 24°C by five panel members based on visual quality determinants such as mold growth, decay, shriveling, smoothness, shininess, and similarity (Jeong and Watkins, 2010). The firmness of tomato was measured by a rheometer (Sun Scientific Co. Ltd., Japan). Skin color values of tomatoes were analyzed by a chroma meter which model is CR-400 (Konica Minolta Sensing, Inc., Japan). In the chroma meter, a* and b* represented the degree of redness and yellowness, respectively (Mele et al., 2017). In this research, tomato redness was recorded as an a*/b* value. The lycopene content was measured according to Fish et al. (2002), with a UV spectrophotometer (Shimadzu Corporation, Tokyo, Japan). The titratable acidity and soluble solid was measured by a DL22 food and beverage analyzer (Metter Toledo Ltd., Korea) and a refractometer (Atago USA Inc., USA), respectively. Vitamin C was analyzed by a HPLC (Waters Associates, Milford, MA, USA) which furnished by a C18 column (4.6cm × 250mm × 5μm; Agilent, USA) at 265nm (Mele et al., 2017). The mobile phase was 1 (100% MeOH): 9 (0.1M KH2PO4) with a 1.0mL min-1 flow rate. A 20μL supernatant sample was prepared from 5% metaphosphoric acid of 2g frozen homogenized tomato which filtered through a 0.20μL regenerated cellulose membrane.
Statistical analysis. The statistical analysis of all data was done by SPSS V. 16 (SPSS Inc., Chicago, USA), and the significant differences of the mean values were examined following the one-way ANOVA of Duncan’s multiple range test (DMRT).
Result and Discussions
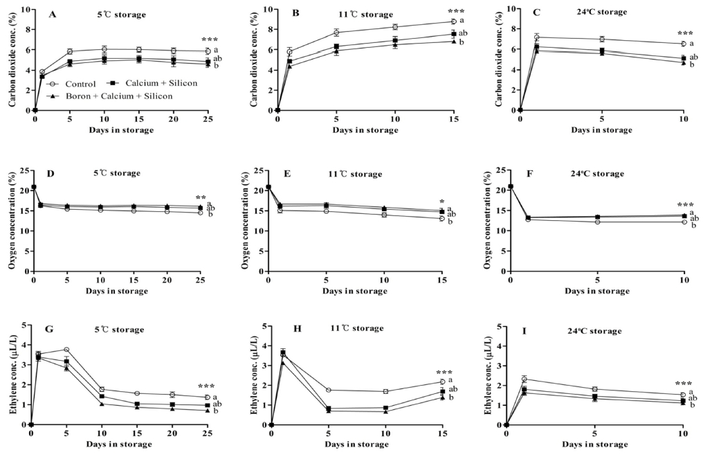
B + Ca + Si-treatment had the lowest carbon dioxide and the highest oxygen concentration which leads to fresh tomato fruits. At 10°C–15°C, 3%–5% oxygen and 3%–5% carbon dioxide is a recommended MA atmosphere for ripe tomatoes during transport and/or storage (Kader, 2002), and our result at 5°C and 11°C was close to these findings. The current study agrees with Islam et al. (2014), that the proper MA condition at 5°C, 11°C and 24°C is 5%–9% carbon dioxide and 13%–16% oxygen, 5%–12% carbon dioxide and 11%–16% oxygen, and 9%–11% carbon dioxide and 12%–14% oxygen, respectively in tomato fruits. The carbon dioxide and oxygen composition of B + Ca + Sitreated tomatoes was similar to the tomatoes in a MA condition with 20,000 cc at 5°C and 11°C, and 40,000 cc at 24°C (Fig. 1).
The control tomato fruits had the highest ethylene production; as a result, the tomatoes rapidly turned red and had a shorter shelf life. Ethylene reduced the kiwifruit firmness (Jabbar and East, 2016), and 0.5 ppm was threshold in tomato for ethylene action (Kader, 2002). The B + Ca + Sitreated tomato fruits maintained lower ethylene production; as a result, the tomatoes had a prolonged shelf life (Fig. 1).
The fresh weight loss of B + Ca + Si-treated tomato fruits at 5°C, 11°C, and 24°C had 0.24%, 0.22%, and 0.48%, respectively, which can help prolong the shelf life by maintaining fresh tomato fruits (Fig. 2). As the storage temperatures increased, so the fresh weight loss was increased, and this happened because higher temperature leads to higher respiration and evaporation (Islam et al., 2014). The lowest fresh weight loss had in B + Ca + Si – treated tomato fruits because of lower transpiration (moisture loss), and lower respiration. This is in agreement with Romero-Aranda et al. (2006), which the hydrophilic nature of Si maintains moisture in tomato fruit tissues by building a barrier to protect moisture loss through the cuticle via crystals deposited in the epidermal cells.
The B + Ca + Si-treated tomato fruits had the longest shelf life because they maintained their marketable visual quality (≥3) and freshness. The control, Ca + Si-, and B + Ca + Si-treated tomato fruits had shelf life of 19, 23, and 25 days, respectively, at 5°C. Moreover, control, Ca + Si-, and B + Ca + Si-treatment maintained ten, 13, and 15 days shelf life, accordingly at 11°C. At 24°C, the control, Ca + Si-, and B + Ca + Si-treated tomato fruits had shelf life of 6, 8, and 10 days, respectively (Fig. 3). Senescent changes resulting in losses in physicochemical and nutritional quali- ties can be inhibited, and the fruit storage life could be markedly prolonged (Pila et al., 2010). B + Ca + Si treatment improve the shelf life of tomatoes by lowering respiration, shriveling, and internal breakdown. High temperatures influence the tomato’s respiration rate, which does not prolong the shelf life (Islam et al., 2012).

Fig. 3.
Visual quality (A, B and C) of tomatoes at 5°C, 11°C, and 24°C storage temperatures. The visual quality was observed on the scale 1-5 (5: excellent, 4: very good, 3: good, marketable, 2: bad and 1: waste) during at 5°C storage. Data pointed by the mean ± standard error (n = 10). **; ***; significant at p≤0.01 and 0.001, respectively of Duncan’s multiple range tests (DMRT).
The Ca + Si -treated tomato fruits showed higher firmness compared with control both harvest time and after storage. Moreover, the B + Ca + Si -treated tomato fruits showed the highest firmness among the treatments both harvest time and after storage. The B maintained the Capectate associations (Davis et al., 2003) and Ca treatment increased the Ca-pectate by maintaining middle lamella (Hepler and Winship, 2010) which increase the tomato fruits firmness. The B + Ca + Si-treated tomato fruits may cross-link pectin molecules in plant cell walls, and the metal binding stabilizes the cell-wall structure by the pectin network. B + Ca + Si-treated tomato fruits showed the highest firmness due to lower respiration, ethylene production, and color development. The B + Ca + Si-treated tomato maintained their firmness, which is desirable for long-time storage (Table 1).
Table 1. Firmness, color and lycopene of cherry tomato which treated by boron (B), calcium (Ca) and silicon (Si) with MAP (20,000 cc OTR packaging film at 5°C and 11°C, and 40,000 cc OTR packaging film at 24°C).
| Treatments | Firmness (N) | Color (a*/b*) | Lycopene (mg /kg FW) | |||||||||
|---|---|---|---|---|---|---|---|---|---|---|---|---|
| Storage temp. | Harvest | 5°C (25days) | 11°C (15days) | 24°C (10days) | Harvest | 5°C (25days) | 11°C (15days) | 24°C (10days) | Harvest | 5°C (25days) | 11°C (15days) | 24°C (10days) |
| Control | 18.97bz | 12.50b | 15.87b | 14.09b | 0.41a | 0.57a | 0.67a | 0.77a | 86.89a | 119.12a | 140.67a | 160.56a |
| Ca + Si | 22.17ab | 15.18ab | 17.62ab | 16.15ab | 0.41a | 0.55ab | 0.64ab | 0.75ab | 85.28a | 109.44ab | 132.28ab | 152.71ab |
| B + Ca + Si | 24.31a | 16.92a | 18.22a | 17.63a | 0.42a | 0.52b | 0.60b | 0.72b | 84.73a | 104.99b | 126.52b | 144.63b |
| P values | *** | *** | ** | *** | NS | ** | ** | ** | NS | * | * | * |
There was no significant difference in quality parameters (color, lycopene, soluble solids, titratable acidity and vitamin C) at harvest time among the treatments, as we selected same maturity-stage fruits (light red) to do this experiment, but these fruits showed significant differences after storage in all storage temperatures.
Color is important to sellers, buyers, and consumers when choosing tomato fruits. The B + Ca + Si-treated tomato fruits had lower color development than the other treatments due to lower respiration and ethylene production which help to prolong the shelf life. During fruit ripening, loss of tissue permeability and membrane integrity (Panarese et al., 2012) and color development leads the ripeness (Islam et al., 2013) that influenced by carbon dioxide and ethylene, thus deteriorates tomato quality and shortens the shelf life.
The maturity stages of tomato fruits influence the lycopene content. The B + Ca + Si-treated tomato fruits had the lowest lycopene content among the treatments (Table 1). There is a big difference in the lycopene content in red- and deep-red-stage tomato fruits (Brandt et al., 2006). The control had rapid color development; thus, the fruits lost quality, market value, and shelf life quickly. However, the control had the highest soluble solids after storage and this is in agreement with Nath et al. (2012), that soluble solids may increase because of excessive moisture loss thus stimulate the hydrolysis of carbohydrates to soluble sugars. Moreover, Ca treatment maintains the lowest metabolic activity during fruit storage (Goutam et al., 2010). B + Ca + Si-treated tomato fruit can form a protective barrier, and the tissue permeability and cellular metabolic changes which can slow down color development, lycopene, and soluble solids by lowering respiration, ethylene production and ripening, consequently tomatoes get prolonged shelf life.
The B + Ca + Si-treated tomato fruits had higher titratable acidity and vitamin C content than the other treatments (Table 2). Higher acidity retained by Ca-treatment due to delay ripening process and low respiration rate during storage period in Guava (Goutam et al., 2010). Moreover, the reduced rate of metabolic activities has implication for better vitamin C (Tigist et al., 2013). The titratable acidity and vitamin C content were maintained in the B + C + Si-treated tomato fruits after storage because of lower respiration, ethylene production, ripening, and metabolic activities.
Table 2. Soluble solids, titratable acidity and vitamin C content of cherry tomato which treated by boron (B), calcium (Ca) and silicon (Si) with MAP (20,000 cc OTR packaging film at 5°C and 11°C, and 40,000 cc OTR packaging film at 24°C).
| Treatments | Soluble solids (°Brix) | Titratable acidity (% citric acid) | Vitamin C (mg /100g FW) | |||||||||
|---|---|---|---|---|---|---|---|---|---|---|---|---|
| Storage temp. | Harvest | 5°C (25days) | 11°C (15days) | 24°C (10days) | Harvest | 5°C (25days) | 11°C (15days) | 24°C (10days) | Harvest | 5°C (25days) | 11°C (15days) | 24°C (10days) |
| Control | 7.27az | 7.50a | 7.57a | 7.59a | 0.68a | 0.57b | 0.38b | 0.37b | 15.69a | 8.75b | 12.65b | 9.94b |
| Ca + Si | 7.16a | 7.25ab | 7.35ab | 7.37ab | 0.69a | 0.64ab | 0.45ab | 0.42ab | 16.74a | 10.13ab | 14.41ab | 12.05ab |
| B + Ca + Si | 7.11a | 7.19b | 7.23b | 7.28b | 0.71a | 0.69a | 0.53a | 0.51a | 16.98a | 11.15a | 15.62a | 13.65a |
| P values | NS | * | * | ** | NS | ** | ** | ** | NS | * | * | ** |
Conclusion
B + Ca + Si pre-harvest treatment and MAP storage as a postharvest condition was evaluated to know the cherry tomato quality and shelf life at 5°C, 11°C, and 24°C. The application of B + Ca + Si increases fruit firmness at harvest time. B + Ca + Si treatment decreases carbon dioxide, ethylene, fresh weight loss, color, lycopene, and soluble solids during storage in all storage temperatures. Moreover, B + Ca + Si-treated tomato fruits retained their oxygen level, visual quality, firmness, titratable acidity, and vitamin C content in all storage temperatures. The B + Ca + Si treatment could help improve the cherry tomato quality, shelf life and may offer an economical value to the grower, seller, buyer, and/or consumer.




