서 론
소비자의 친환경 농산물에 대한 선호도의 증가와 함께 식물공장은 신선, 청정 채소생산에 있어 최적의 생산시 스템으로 평가되어 최근 엽채류 중심으로 식물공장을 상 업적으로 이용하려는 관심이 높다. 외국의 경우 샐러드 채소 위주의 소비가 많으나, 한국은 쌈채소나 새싹채소 등이 웰빙식품으로서 소비가 증가하고 있다. 쌈채소는 엽채류와 양채류 중에서 쌈용으로 소비하는 채소로 상추, 치커리, 청경채, 샐러리, 쑥갓, 깻잎, 신천초, 다채, 쌈추, 겨자, 케일, 비트, 근대 등이 포함된다(KREI, 2006). 잎 을 식용으로 하는 채소류는 무기질과 비타민A 및 C, 플 라보노이드, 안토시안 등의 폴리페놀화합물의 주요 급원 으로 이러한 성분들의 생리활성효과가 계속적으로 보고 되어왔다. 국내 쌈채소의 재배면적은 2000년 이후 매년 증가하여 2005년 11,682ha, 생산액은 약 2,943억원 (2005)으로 채소 생산액의 4% 이상을 차지하게 되었고 (KREI, 2006), 이중 상추류의 재배면적은 2015년 4,022ha (MAFRA, 2016a), 생산액은 1,247억(MAFRA, 2016b)으로 쌈채소 총생산액의 40%이상을 차지할 것으로 추정된다.
최근 고품질 안전농산물에 대한 소비자들의 관심이 높 아지면서 채소에 함유되어 있는 질산염(NO3-)을 인체에 유해한 성분으로 인식하고 있으며, 이러한 소비자들의 소비패턴을 충족시키기 위한 재배기술이 요구되고 있다. 유럽연합(EU)은 이미 오래 전부터 채소를 통하여 섭취 한 질산염이 인체에 유해한 것으로 보고 1997년에 15개 전 회원국가에 통용되는 채소 질산염 허용 기준에 대한 단일 기준치를 상추와 시금치에 대해 설정하였으며 (Barbara, 1987; Lee 등, 2005), 채소 별 질산염 허용 기 준치를 2,500~3,500ppm으로 정하고 있다. 우리나라의 질산염 섭취량은 WHO가 정한 일일 섭취허용량(ADI)을 1.8~3.4배 초과하는데, 이것은 쌈이나 김치 등으로 이용 되는 채소 소비량이 많기 때문인 것으로 보고되어있다 (Son, 2000).
유럽에서는 질산태 질소(NO3-N)를 질소원으로 이용하 는 수경재배시 체내 질산염 저감을 위한 양액관리기술에 대한 연구를 수행하였고((Benoit와 Ceustermans, 1995; Oertili 등, 1987), 일본에서도 질소원의 시용에 따른 체 내 질산염 함량(Ikeda와 Osawa, 1980), 배양액의 pH에 따른 원예작물의 선택적인 질소흡수 특성 구명(Ikeda와 Osawa, 1981)등이 보고되었다. 상추는 암모늄태 질소 (NH4-N)를 우선적으로 흡수하는 작물로서(Ikeda와 Osawa, 1981), Ikeda와 Osawa(1980)는 상추, 시금치 등에서 양 액내 NO3-N 증가와 체내 질산염 함량은 비례하며, NH4-N 단용시 체내 함량은 거의 0mg·L-1에 가까워진다 고 하였다. 우리나라에서는 1990년대부터 채소류의 질산 염 함량 허용기준에 대한 논의가 활발히 진행되어 왔으 며, 국내 채소류의 질산염 함량과 잔류실태 등이 조사되 었다(Chung 등, 1999; Lee 등, 2005). 또한 상추, 미나 리, 청경채 등 엽채류의 수경재배시 배양액 조성내 질소 원의 종류(Lee 등, 1998a), NO3-N의 농도 또는 NO3-N : NH4-N 비율(Kang과 Kim, 2007; Lee 등 1998b; Oertili 등, 1987; Park 등, 1994; Son, 2000), 수확 전 배양액내 NO3-N의 염화이온(Cl-) 또는 황산이온(SO42-) 대체 (Benoit와 Ceustermans, 1995; Mun과 Lee, 2001a, 2001b), 일장 조절(Mun과 Lee, 2001b) 등에 따른 체내 질산염을 비롯한 내적 품질에 대한 연구가 수행되었다. Benoit와 Ceustermans(1995)는 상추의 경우 수확 5~7일 전 양액내 NO3-N를 Cl- 이나 SO42-으로 대체하면 체내 질산염의 함량을 40% 정도 감소시킬 수 있다고 하였으며, 이때 Cl-의 한계농도는 4me·L-1 수준이었다고 하였다. Mun과 Lee(2001b)는 미나리 수경재배 시 질소원을 제1 인산암모늄(NH4H2PO4) 및 탄산암모늄[(NH4)2CO3]을 사 용하여 NH4-N를 3me·L-1로 공급하면 체내 질산염 함량 이 크게 저하되고 외관적 품질도 크게 나빠지지 않았음 을 보고하였다. 이와 같이 엽채류의 수경재배시 질산염 저하에 관한 연구가 수행되어 왔으나, 인위적 환경 조성 이 가능한 폐쇄형 생산시스템 조건에서 쌈채소의 질산염 저감에 대한 연구는 활발히 수행되지 못했다. 식물공장 에서의 작물생산 방식은 대개 수경재배 방식으로 질소원 의 대부분을 NO3-N 형태로 이용하기 때문에 쌈채소 체 내의 질산염 함량을 감소시키기 위한 양액관리기술이 요 구된다. 특히 완전제어형 식물공장은 저광도 조건에서 생산비용이 적게 드는 엽채류를 중심으로 재배하는데, 저광도로 인한 작물의 질소동화계 효소의 활성이 낮아 체내 질산염 함량의 증가가 우려된다. 따라서 본 실험은 대표적인 쌈채소인 청치마상추의 폐쇄형 식물공장 재배 시 생육과 수량의 감소없이 수경재배 시 문제가 되는 질산염 함량을 효과적으로 저감시킬 수 있는 1) 수확 전 배양액 조성방법과 2) 적정 광도 및 최적 양액결제시기 를 구명하고자 수행하였다.
재료 및 방법
본 실험은 공시작물로 청치마상추(Lactuca sativa L. ‘Cheongchima’, Asia Seed Inc., Korea)를 사용하였으며, 국립원예특작과학원 시설원예연구소 내 소형 폐쇄형 식 물생산시스템(69×70×185cm, L×W×H)(HGE-02TC, ParaENT Inc., Korea)내에서 우레탄스폰지에 종자를 파종한 후 약 20일간 육묘하였고, 본엽이 3~4매 전개되었을 때, 2단으 로 구성된 수경재배용 재배모듈의 스티로폼 베드(55×52cm) 에 10×10cm의 재식밀도로 50개체씩 정식하였다.
1. 저광도 조건에서의 수확 전 양액조성 방법 구명
폐쇄형 식물생산시스템의 재배환경은 온도 22.0±2°C, 상대습도 60±10%의 조건으로 조절하였으며, 재배시스템 의 인공 광원은 4Φ×575mm 외부전극형광램프(EEFL, external electrode fluorescent lamp, ParaENT Inc., Korea)를 사용하였고, 25개 EEFL 램프와 투명 PC판으 로 구성된 59×53×3.5cm(L×W×H) 크기의 광원을 2단으 로 설치하였다. EEFL광원은 재배베드 바닥면으로부터 30cm의 높이로 설치되었고, 광도는 110±10μmol·m-2·s-1, 주간/야간의 길이는 15h/9h로 설정하였다. 광원으로부터 30cm 밑에서 분광광도계(Li-1800, Li-cor Inc., USA)로 측정한 광파장 분포는 Fig. 1과 같다. 실험에 사용한 배 양액은 국립원예특작과학원 상추 표준양액(N-P-K-Ca- Mg=9.2-3.6-5-3-1.5 me·L-1)을 기본 양액조성으로 사용하 였다. 배양액은 저면급수식(ebb & flow)의 순환식 수경 재배 방식으로 재순환되어 공급되었고, 배양액의 pH와 EC는 pH 5.8~6.0, EC 1.5±0.05dS·m-1으로 조절하여 공 급하였으며, 2일 간격으로 측정하여 설정 수준으로 보정 하였다. 청치마상추는 양액조성 처리 전까지 상추 표준 배양액으로 재배한 후 처리시점부터 수확시까지 양액조 성을 달리하여 공급하고 처리별 작물의 생육특성, 체내 질산염, 비타민 C 함량 등의 변화를 조사하였다. 양액조 성 처리는 정식 후 19일부터(수확 7일 전) 수확시까지 ① 양액을 중단하고 시설원예연구소 용수를 공급한 처리 (TW), ② 1/2배액의 표준양액으로 공급한 처리(1/2 S), ③ 양액조성내 NO3-N 결제 처리(NO3-N removal) 및 ④ 양액내 질소 공급원으로 탄산암모늄을 사용한 처리 [(NH4)2CO3]로 하였고, 정식 후 수확시기까지 양액조성 의 변화없이 원예원 상추 표준액을 연속 공급한 무처리 구(Control)를 대조구로 하였다(Table 1). NO3-N removal 처리와 (NH4)2CO3 처리는 칼슘 공급을 위해 질산칼슘 4 수염 또는 10수염 비료 대신에 CaCl2·2H2O를 사용하였 으며, 이로 인한 Cl-의 함량은 양액내 3me·L-1 수준이었 다. 또한 질산칼륨(KNO3)대신에 황산칼륨(K2SO4)의 사 용으로 황산염(SO4-S)의 농도는 표준양액보다 5.0me·L-1 높은 농도를 나타내었다. Lee 등(1998a)의 연구에서와 같이 (NH4)2CO3 처리는 전체 질소의 농도를 6.5 me·L-1 로 설정하여 (NH4)2CO3 및 NH4H2PO4을 사용하여 질소 를 대체(NH4-N로서 각각 5.3 및 1.2me·L-1)하여 공급하였 다(Table 1). 시설원예연구소의 원수는 평균 pH 7.47, EC 0.18dS·m-1 이었으며, 1/2 S 처리는 EC 0.75dS·m-1, pH 5.8~6.0로, 나머지 3가지 양액조성은 EC 1.5±0.05dS·m-1, pH 5.8~6.0으로 공급되었다.
Table 1. Nutrient solution formulations applied to the green leaf lettuce ‘Cheongchima’ for 7 days before harvest in the closed-type plant production system with the recirculating ebb and flow hydroponics.
| Treatment | Macro element (me·L-1) | ||||||
|---|---|---|---|---|---|---|---|
| NO3-N | NH4-N | P | K | Ca | Mg | SO4-S | |
| Control | 8 | 1.2 | 3.6 | 5 | 3 | 1.5 | 1.5 |
| TW | 0.17 | - | - | 0.12 | 1.32 | 0.34 | 0.8 |
| 1/2 S | 4 | 0.6 | 1.8 | 2.5 | 1.5 | 0.75 | 0.75 |
| NO3-N removal | - | 1.2 | 3.6 | 5 | 3 | 1.5 | 6.5 |
| (NH4)2CO3 | - | 6.5 | 3.6 | 5 | 3 | 1.5 | 6.5 |
2. 질산염 저감을 위한 적정 광도 및 수확 전 양액결 제시기 구명
폐쇄형 식물공장에서 체내 질산염 함량을 저감시키기 위해 수확 전 일정기간 동안 양액공급을 중단하고 수돗 물 또는 EC가 낮은 원수를 사용할 경우 최적 양액결제 시기 및 적정 광도를 구명하고자 실험1과 독립적으로 실험을 수행하였다. 폐쇄형 식물생산시스템은 이전 실험 에 사용한 것과 동일하며, 청치마상추를 공시작물로 하 여 평균온도 22.0±1°C, 습도 RH 60±10%, 광조사 15h/ 9h(명기/암기)의 조건에서 3수준의 광도로 처리하여 작물 을 재배하였다. 광원은 EEFL을 실험에 사용하였고, 청 치마상추를 100±10, 200±10, 300±10μmol·m-2·s-1의 조건 에서 일정기간 생육시킨 다음 수확 3, 5, 및 7일 전 양 액공급을 중단하고 원수를 공급하여 양액결제 처리를 하 였다. 생육기간동안 생육, 체내 질산염, 비타민 C 함량 등의 변화를 조사하였으며. 대조구는 100μmol·m-2·s-1의 광도에서 양액조성의 변화없이 수확기까지 원예원 상추 표준양액을 계속 공급하여 재배하였다. 배양액은 pH 5.5~6.5, EC 1.5±0.05dS·m-1로 저면급수식(ebb & flow) 의 순환식 수경재배 방식으로 재순환되어 공급되었다.
식물체내 질산염(NO3-) 함량 분석을 위해 신선한 3~4번 엽을 채취하여 잘게 자르고 잘 혼합한 후 분쇄기를 이용 하여 균일하게 마쇄한 다음 즙액을 5000rpm으로 10분간 원심분리하였다. 상등액을 1mL 취하고 일정량의 증류수를 가하여 희석한 다음, 희석액을 IC(Ion Chromatography) (ICS-5000, Dionex, USA)로 분석하였다. 비타민 C 함량 수확 전은 건강기능식품의 기준 및 규격(식품의약품안전 청 고시 제 2011-68호)의 시험법에 따라 시료 10g을 동 량의 10% 메타인산용액을 가하여 10분간 현탁시킨 후 시료 중 존재하는 비타민 C를 5% 메타인산을 넣어 균 질화 시키고 옥타데실(octadecyl)화된 칼럼을 연결하여 자외부 흡광광도검출기를 이용하여 최대 흡수 파장인 254nm에서 검출하여 정량화하였다.
모든 실험은 폐쇄형 생산시스템을 완전임의배치 3반복 으로 수행하고, 시험구당 50개체씩 처리하였으며, SAS (Statistical Analysis System, Ver9.1, Cary, NC, USA)프 로그램을 이용하여 ANOVA (analysis of variance) 및 Duncan’s multiple range test (DMRT)를 실시하여 5% 유의수준에서 각 처리간 유의성을 검정하였다.
결과 및 고찰
청치마상추를 원예원 상추 표준양액으로 100±10μmol·m-2·s-1 의 광도에서 수확 전 7일 동안 양액조성을 달리하여 공 급하고 생육 및 체내 질산염의 변화를 분석한 결과, 생 육이 급격히 증가하는 생육중기인 정식 14일 후 체내 질산염 함량은 3,900ppm으로 유럽 EU의 채소류 기준허 용치를 초과하는 함량을 나타내었다(Fig. 2). 체내 질산 염의 함량은 생육초기 엽면적의 발달 및 생체중의 증가 와 함께 증가하였으나 정식 후 19일부터 모든 처리구에 서 감소하는 경향을 나타내었는데, 수확기에 상추와 미 나리의 질산염 감소를 보고한 이전의 연구(Mun과 Lee, 2001a; Mun과 Lee, 2001b)와 동일한 결과를 나타내었다. 수확 전 일정 기간 동안 양액을 조정한 처리구들은 양 액조성의 변화없이 원예원 상추 표준양액으로 연속 공급 한 처리보다 체내 질산염 함량이 낮았으며, 특히 양액결 제 처리구(TW)에서 저감 효과가 가장 크게 나타났다 (Fig. 2). 대조구를 제외한 나머지 처리구의 질산염의 함 량은 유럽의 기준허용치보다 낮았으며, 처리구간 유의적 인 차이는 나타나지 않았다. 수확 전 양액조성 처리기간 동안 양액 내 질소급원으로 탄산암모늄을 사용한 (NH4)2CO3 처리와 양액을 중단하고 시설원예연구소 용수 를 공급한 TW 처리구는 질산염의 저하와 함께 생육량의 감소를 가져왔다. 양액내 질소원에 따른 상추와 미나리의 질산염 함량을 조사한 Lee 등(1998a)의 실험에서도 (NH4)2CO3 처리시 표준양액으로 재배한 대조구에 비해 생체중은 낮았다고 보고하였으나, NH4NO3 또는 (NH4)2SO4를 사용한 경우에 비하여 높게 나타나 새로운 질소원으로서의 가능성을 제안하였다.
청치마상추의 체내 비타민 C 함량을 조사한 결과, 수 확 전 양액조성에 따른 함량의 차이는 크게 나타나지 않았으나, 수확 3일 전까지 표준양액으로 연속공급한 대 조구와 양액공급을 중단한 TW 처리에서 가장 높게 나 타났다(Fig. 3). 양액조정 기간동안 수확시기에 가까울수 록 모든 처리의 체내 비타민 C 함량은 감소하였는데, 다른 처리에 비해 (NH4)2CO3 처리는 수확시 체내 비타 민 C 함량이 가장 높고, 체내 함량 감소도 가장 적었던 반면, TW 처리구는 21.7mg/100g에서 10.1mg/100g으로 2배 이상 감소하였다. 이전 연구에서 엽채류의 체내 질 산염과 비타민 C 함량은 역의 상관관계가 있어, 대체로 체내 질산염 함량이 높은 처리구에서 비타민 C 함량이 낮았다고 보고되었는데(Kang과 Kim, 2007; Shou 등, 2007; Toor 등 2006), 본 실험에서는 수확 전 양액조성 에 따른 질산염과 비타민 C 함량과의 역의 상관관계가 뚜렷하게 나타나지는 않았다.
수확 전 양액조성 처리에 따른 청치마상추의 생육은 표 2와 같다. 엽장, 엽폭, 엽록소 함량에 있어서는 처리 간 유의적인 차이가 없었던 반면, 엽면적과 생체중은 탄 산암모늄을 질소원으로 대체 처리한 (NH4)2CO3 처리구 에서 가장 낮게 나타났으며, 양액을 결제한 TW 처리구 에서도 질산염 저감효과가 뛰어난 반면 낮은 생육량과 낮은 엽록소 함량을 보였다. Lee 등(1998a)도 질소원을 탄산암모늄으로 재배한 미나리와 상추에서 체내 질산태 질소 함량이 500ppm 로 낮아졌으나 생육이 20% 이내 로 감소했다고 보고하였다. 한편 NO3-N 결제 처리구에 서는 가장 높은 엽면적 및 생육량을 나타내었고, 1/2 S 처리구에서도 NO3-N 결제구의 생육과 비슷한 양상을 보 였다. 이러한 생육특성은 청치마상추와 동일한 처리로 재 배한 청경채, 적치마 상추에서도 비슷한 결과를 보였다 (Yeo 등, 1993). 결과적으로, 폐쇄형 생산시스템내 100μmol·m-2·s-1 내외의 광조건에서 수확 7일 전 양액내 NO3-N 비료를 결제하거나 1/2배액으로 배양액 농도를 낮추어 공급함으로써 외적 품질 및 생육량의 저하없이 질산염을 저감효과를 볼 수 있었다.
Table 2. Growth characteristics of the green leaf lettuce ‘Cheongchima’ hydroponically grown at the different nutrient composition for 7 days before harvest
| Treatments | No. of leaves | Leaf width (cm) | Leaf length (cm) | Chlorophyll content (SPAD) | Leaf area (cm2/plant) | Fresh weight (g) |
|---|---|---|---|---|---|---|
| Control | 20.5 aby | 11.0 a | 20.5 a | 22.8 a | 920 ab | 32.9 a |
| TW | 20.0 b | 10.7 a | 20.1 a | 20.9 a | 922 ab | 32.8 a |
| 1/2S | 21.0 ab | 10.3 a | 20.6 a | 22.8 a | 1044 a | 36.0 a |
| NO3-N removal | 21.8 a | 11.1 a | 20.4 a | 21.0 a | 1079 a | 35.8 a |
| (NH4)2CO3 | 21.8 a | 11.2 a | 21.6 a | 22.4 a | 873 b | 26.1 b |
| Significancez | * | NS | NS | NS | * | ** |
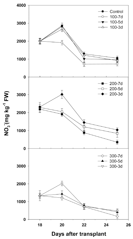
폐쇄형 식물공장에서 쌈채소의 수경재배시 문제가 되 는 체내 질산염 함량을 효과적으로 저감시키기 위한 수 확 전 양액결제(양액중단) 시기 및 적정 광도를 구명하 기 위해 실험을 수행하였다. 양액결제 처리를 하기 전 체내 질산염 함량은 광도에 따라 차이가 있는데, 100과 200μmol·m-2·s-1의 조건에서 평균 체내 질산염 함량은 2,000~2,400ppm 이었던 반면 300±10μmol·m-2·s-1의 조건 에서 자란 상추에서는 1,300ppm으로 낮았다(Fig. 4). 체 내의 액포에 다량 저장되어 있는 질산염을 대사과정에 사용하여 NO3-의 환원을 유도하기 위해서는 충분한 양 의 광이 필요한데, 질소동화계 효소인 질산환원효소 (nitrate reductase, NR) 및 글루타민합성효소(glutamine sythetase, GS)는 일정한 범위 내에서 광도가 높을수록 효소 활성이 증가하는 것으로 알려져 있다(Larouche 등, 1989; Lee 등, 1998c). 광도와 일장에 따른 식물체내 질 산염 함량은 NR의 활성에 의하여 크게 영향 받는다고 보고되어 있는데, Lee 등(1998c)은 상추와 미나리 수경 재배시 계절, 차광 및 일장에 따른 질산염 함량과 질소 동화계 효소의 활성을 조사하였을 때, 질산염은 겨울, 가을, 봄 및 여름 순으로 많았고, 질소동화계 효소의 활 성은 질산염 함량과 반대의 경향을 나타내었다고 보고하 였다. 한편 광은 효소의 활성을 증가시키지만, 그와 함 께 질산염의 흡수도 왕성해지는데, 광량을 250, 125 및 62.5μmol·m-2·s-1로 조절하여 상추를 수경재배 한 Fukuda 등(1993)의 연구에서도 질산염의 흡수량은 250μmol·m-2·s-1 의 광도에서 가장 높았다고 보고하였다. 작물에 따라 정 도의 차이는 있으나 일반적으로 장일과 고광도 조건하에 서 질소동화계 효소의 활성이 높고, 체내 질산염 함량은 적은 것으로 보고되어 있다(Larouche 등, 1989). 높은 광도조건에서 재배한 작물의 질산염 흡수량이 낮은 광도 보다 많음에도 불구하고 체내 질산염의 함량이 적은 원 인은 광량의 증가에 따라 질소동화계 효소의 활성도 증 가하여 흡수된 질산염을 신속하게 NO2 -로 환원시켜 질 소동화에 이용하기 때문인 것으로 추정이 된다(Lee 등, 1998c). 본 실험에서 100, 200 및 300μmol·m-2·s-1의 광 조건에서 수확 7, 5 및 3일 전 양액결제 처리를 한 후 체내 질산염 함량을 조사한 결과, 3수준의 광조건 모두 수확 7일 전 양액결제시에 체내 질산염이 가장 낮게 나 타났다(Fig. 4). 특히 300μmol·m-2·s-1의 광도와 수확 7일 전 양액결제 처리시 식물체내 질산염의 빠른 저감효과를 볼 수 있었는데, 상추의 평균 체내 질산염 함량은 수확 시 174ppm까지 감소되었다. 모든 광도에서 수확 3일 전 양액결제 처리는 처리 직전까지 체내 질산염 함량이 계 속 증가하였으나, 양액결제 처리후 짧은 시간동안 빠르 게 질산염 함량이 감소된 것을 볼 수 있었으며, 특히 광 도가 높을수록 질산염의 저감효과가 크게 나타났다. 질 산염 함량은 300μmol·m-2·s-1 광도에서 수확 3일 전 결제 처리에 의해 2,021ppm에서 480ppm으로, 200μmol·m-2·s-1 광도에서 수확 3일 전 결제 처리에 의해 3,018ppm에서 1,035ppm으로 감소되었다. 폐쇄형 식물생산시스템에서 광도 및 양액결제 시기에 따른 생육량을 분석한 결과 (Table 3), 수확 7일 전 양액결제 처리는 체내 질산염의 저감효과가 컸던 반면 엽중, 엽면적 등의 생육 감소를 가져왔는데, 200과 300μmol·m-2·s-1의 광조건에서 수확 7 일 전 양액결제시 수확 3일 전 양액결제보다 엽중은 20~35%, 엽면적은 16~31% 낮은 값을 나타내었다. 200 과 300μmol·m-2·s-1의 광조건에서 엽중, 엽수, 엽면적 등 의 생육은 100μmol·m-2·s-1 조건의 모든 처리보다 높게 나타났으며 특히 200과 300μmol·m-2·s-1의 광조건에서 수확 3일 전 양액결제시 두 처리 모두 다른 처리에 비 해 생육량이 높게 나타났다(Table 3). 200μmol·m-2·s-1의 조건에서 상추 엽형은 300μmol·m-2·s-1에 비해 엽폭이 좀 더 좁고 엽장은 긴 형태를 보였고, 엽록소의 함량 (SPAD)은 광도가 높을수록 더 높은 수치를 나타내었다. 결과적으로, 폐쇄형 식물생산시스템에서 청치마상추 재 배시 200, 300μmol·m-2·s-1 광도에서 수확 3일 전 양액결 제를 통해 외적품질의 저하없이 생육량이 가장 높으면서 동시에 짧은 시간동안 식물체내 질산염의 저감효과를 볼 수 있었다.

Fig. 4.
Changes of nitrate contents in hydroponically-grown green leaf lettuces ‘Cheongchima’ as affected by different light intensities (100, 200, and 300 μmol·m-2·s-1) and the time of nutrient solution removal before harvest (7d , 7 days before harvest; 5d, 5 days before harvest; 3d, 3 days before harvest).
Table 3. Growth characteristics of hydroponically-grown green leaf lettuces ‘Cheongchima’ as affected by different light intensities and nutrient solution removal for 7, 5, and 3 days before harvest.
| Treatments | Fresh weight (g) | No. of leaves | Leaf width (cm) | Leaf length (cm) | Chlorophyll content (SPAD) | Leaf area (cm2/plant | ||
|---|---|---|---|---|---|---|---|---|
| Light intensity (cm2/plant) x (μmol·m-2·s-1) | DBHy | Root | Leaf | |||||
| 0 (Control) | 1.25 | 13.8 | 16.5 | 7.25 | 18.2 | 26.3 | 474.5 | |
| 100 | 7 | 1.25 | 13.5 | 17.0 | 7.50 | 18 | 25.0 | 458.1 |
| 5 | 1.80 | 13.8 | 15.0 | 7.25 | 17.2 | 24.2 | 446.5 | |
| 3 | 1.50 | 14.7 | 18.3 | 6.60 | 17.4 | 25.6 | 470.0 | |
| 200 | 7 | 3.77 | 22.8 | 20.7 | 7.50 | 16.9 | 27 | 547.6 |
| 5 | 3.08 | 22.0 | 19.7 | 7.80 | 17.9 | 27.3 | 515.1 | |
| 3 | 3.63 | 35.1 | 21.0 | 9.1 | 19.1 | 27.8 | 796.4 | |
| 300 | 7 | 3.00 | 26.9 | 22.3 | 9.67 | 17.8 | 33.3 | 598.2 |
| 5 | 4.13 | 27.8 | 22.0 | 9.70 | 16.5 | 32.2 | 621.5 | |
| 3 | 4.73 | 33.8 | 22.3 | 9.9 | 18.2 | 37.3 | 711.9 | |
| Significancez | ||||||||
| Light intensity (LI) | *** | *** | *** | *** | NS | *** | *** | |
| DBH | * | *** | *** | *** | NS | ** | *** | |
| LI×DBH | NS | NS | NS | * | NS | NS | * | |
광도 및 양액결제 시기에 따른 비타민 C 함량을 분석 한 결과 100, 200μmol·m-2·s-1 에서 자란 상추에 비해 300μmol·m-2·s-1 에서 수확 3일과 5일 전 양액결제 처리 를 한 상추의 체내 비타민 C 함량이 가장 높은 것으로 나타났다(Fig. 5). 광도 300μmol·m-2·s-1에서의 7일 전 양 액결제 처리에서 비타민 C 함량은 100, 200μmol·m-2·s-1 에서와 비슷한 수준이었으며, 100, 200μmol·m-2·s-1 에서 는 양액결제시기에 따른 처리간 비타민 C 함량의 유의 적인 차이가 나타나지 않았다. 작물의 비타민 함량과 질 산염 함량은 양액의 농도(Lee 등, 1998b; Shinohara와 Suzuki, 1981), 질소원 형태(Lee 등, 1998a; Takebe 등, 1995)에 따라 많은 영향을 받는데, 일반적으로 양액내 질 산태질소 비율이 높을수록 체내 질산염 함량은 증가하고 비타민 C 함량은 감소하는 것으로 보고되어 있다. 본 실험 에서도 체내 질산염 함량이 가장 낮았던 300μmol·m-2·s-1 처리의 수확 3일과 5일 전 비타민 C 함량이 높게 나타 났으나, 수확 7일 전 양액결제 처리에서는 광도에 따른 질산염 함량의 차이가 뚜렷하게 나타나지 않았다.
질산태 형태의 질소 성분은 작물의 생육에 많은 양이 필요하며, 흡수 및 이용되어 그 자체로는 해가 없으나 질산염 함량이 높은 채소를 동물이 다량 섭취하게 되면 소화과정중 체내에서 환원된 아질산염이 식품에 들어있 는 아민류와 반응하여 강력한 발암성 물질인 Nnitrosamine이 생성된다고 알려져 있다(Bruning-Fann과 Kaneene, 1993a, 1993b). 수경재배 잎채소류의 질산염 저감 방법은 수확 전 양액의 공급을 중단하거나 수확 전 5~7일 동안 양액의 NO3--N를 Cl- 또는 SO42-으로 대 체(Benoit와 Ceustermans, 1995: Mun과 Lee, 2001b)하 는 방법 등이 있다. 이러한 방법들은 장기간 질소의 공 급이 중단될 경우 질소 부족에 의한 잎의 황화로 인하 여 상품성이 현저하게 저하될 뿐 아니라 수량 감소의 원인이 될 수 있으며, NO3-함량 저감은 가능하지만 각종 유용 성분의 함량도 같이 감소될 가능성이 높아 품질은 오히려 저하될 수 있다(Lee, 1998a). Oertili 등(1987)은 결구상추에서 재배 기간 중 양액의 질산태 질소를 제거 한 후 5일 경과 시 식물체내 질산염 함량은 거의 0에 가까운 수준으로 저하되고, 건물중은 질산태질소 제거 후 10일경부터 감소하였다고 보고하였다. 미나리에서도 수확 5일 전에 양액내 NO3--N를 6me·L-1의 Cl-와 3me·L- 1의 NH4 +로 교체하였을 경우, 질산염은 40% 감소되지만 급속한 pH 저하에 따른 뿌리의 갈변으로 양수분의 흡수 가 저해되어 상품성이 저하되었음이 보고되었다(Mun과 Lee, 2001b). 본 실험에서는 폐쇄형 식물생산시스템에서 청치마상추 재배시 100μmol·m-2·s-1조건에서 수확 7일 전 양액내 NO3-N 비료를 결제하여 조성하거나 배양액 농 도를 1/2배액으로 낮추어 공급함으로써 외적 품질 및 생 육량의 저하없이 질산염 함량을 저감시킬 수 있었다. 또 한 200 또는 300μmol·m-2·s-1 광도에서 수확 3일 전 양 액결제를 통해 품질의 저하없이 생육량이 가장 높으면서 동시에 짧은 시간 동안 식물체내 질산염의 저감효과를 볼 수 있었다. 환경이 인위적으로 조절되는 식물공장시 스템에서 재배기간 동안 정상적으로 생육시킨 다음 수확 전 일정 기간 동안 양액과 광도의 조절을 통해 체내 성 분을 조절하는 양액관리기술은 식물공장 운영에 들어가 는 자원과 에너지를 절약하고 고품질 채소를 효율적으로 생산하는 경제성 있는 식물공장 모델의 예가 될 수 있 을 것이다.






