서 론
재료 및 방법
1. 실험 대상 온실, 환경 데이터 수집 및 제어 디자인
2. 온실 환경 제어 수학적 모델
3. 온실 환경 3차원 모델
결과 및 고찰
1. 작물 증산 시나리오(ET)
2. 기간난방 부하 시나리오(QHload)
3. 환기 시나리오
4. 보광 시나리오(DLIout)
5. 소프트웨어 개발 및 활용
서 론
전 세계적으로 현대 농업은 급속도로 전개되는 4차 산업혁명의 변화와 함께 경험적인 생산 방식에서 벗어나 농산물의 품질을 향상시키고 생산 효율을 극대화하는 스마트 농업으로 전환되고 있다. 우리나라 역시 IT 기반 스마트 시설농업이 대두되고 있으며, 정부는 ‘시설원예분야 ICT 융복합확산사업’을 통한 ICT 융복합 스마트팜 시설 보급에 박차를 가하고 있으며, 2022년까지 국비 4,000억 원을 지원하여 전국 4개 지역에 대규모 스마트팜 혁신밸리를 구축하고 있다(Kang 등, 2020). 그러나 우리나라 농촌은 고령화, 저출산, 인구유출의 위기에 직면해 있어 스마트 농업으로의 전환에 어려움이 있다. 실제로 2020년 기준 농촌 인구는 약 103만 명으로 전체 인구의 5%였고, 경영주의 평균연령은 66세에 달한다(KOSTAT, 2020). 이렇듯 고령화된 농업인들에게 스마트팜 시설 관리를 위한 고도의 융합 기술은 활용도가 떨어질 수 있다. Kim 등(2018)은 농민 대상의 교육이 기술집약적인 시설인 스마트팜 운영을 목표로 하지만, 대형 시설 및 장비 등을 교육하는 데 경제적, 공간적 한계가 있다는 점을 지적하며 가상현실(virtual reality, VR)을 활용한 농업 교육 방안을 제시하였다.
ICT 기술의 하나인 시뮬레이션이란 현실의 모방이나 재현을 통해 이용자가 선택에 따른 결과를 관찰하거나 경험하도록 하는 것이다. 또한 시뮬레이션은 실제 상황의 모델과 이론적인 체계로 구성되어 있으며 주어진 상황을 여러 방식으로 조작하여 특정 목표에 도달하는 과정으로 이어지게 된다(Filipczak 등, 1994). 최근 컴퓨터 성능 개선과 시뮬레이션 기법의 발전으로 온실 내·외부 환경을 예측하는 전산유체역학(computational fluid dynamics, CFD)을 통한 시뮬레이션 연구가 활발하게 진행되고 있으며(Tadj 등, 2010; Yu 등, 2014; Jeong 등, 2020), 기상조건과 작물 생육 모델을 고려한 온실 환경 의사결정 모델이 활발하게 연구되고 있다(de Zwart, 1996; Navas 등, 1998; Luo 등, 2005; Cunha, 2007; Tignor 등, 2007). 중국에서는 가상의 농지 설계, 농업 토지 정보 시스템 활용 등 다양한 농업분야 IT와 가상현실 기술의 접목을 통한 디지털 농촌 관리 시스템, 농촌 관광 자료 등의 활용이 제안되고 있다(Yang 등, 1999; Zhu, 2004). 그러나 이러한 기술들은 개발자가 시뮬레이션 코드를 공개하지 않고 상용 소프트웨어를 허용하지 않아서 국내 농업용 시뮬레이션에 적용될 수 없기 때문에 국내의 재배 실정에 맞는 새로운 툴의 개발이 필요한 상황이다.
이상적인 교육용 시뮬레이션은 학습자들이 적극적이고 능동적으로 참여할 수 있도록 관찰 및 측정이 어렵고 복잡한 내용들을 단순하고 명확하게 보여주거나 학습자 선택에 따른 환경 제어의 결과 등이 인공의 환경에서 제공하여야 한다(Barton과 Maharg, 2007). 온실 환경 제어 모델은 다양한 환경 조건에서의 온실 내부 환경을 시각적으로 구현할 수 있으며, 3차원 모델링은 시설재배 온실을 가상으로 구축하여 3차원적 체험을 가능케 하기 때문에 교육용 시뮬레이션 적용 기술로 효과적이다.
따라서 본 연구의 목적은 파프리카 재배 온실의 복잡한 구성 요소들을 종합하여 다양한 환경 조건에서 온실 내부 환경을 시각적으로 볼 수 있는 스마트팜 시설 교육용 시뮬레이션을 설계하기 위하여 온실 환경 제어 모델을 활용하는 것이다.
재료 및 방법
1. 실험 대상 온실, 환경 데이터 수집 및 제어 디자인
표준 기상 데이터는 기상청에서 제공하는 2021년 함안군 시설원예연구소 소재 전체 기상자료와 평년값 자료를 토대로 대표성을 갖는 월별 데이터를 가공처리하여 매 시간별 기상자료를 활용하였다. 실험대상 온실은 경상남도 함안에 위치한 국립원예특작과학원 시설원예연구소(35.2°N, 128.4°E)의 벤로형 유리온실(폭 8m, 길이 36m, 높이 5.3m)과 연동형 플라스틱 필름 온실(폭 19m, 길이 40m, 높이 5.4m)로 선정하였다.
온실 내 환경 분포를 보기 위해 기온(KSH-7310, Korea Digital, Seoul, Korea), 상대습도(KSH-7310, Korea Digital) 및 광센서(SWSR-7500, Korea Digital) 등을 유리온실 내 4개 지점과 플라스틱 필름 온실 내 9개 지점에 각각 배치하였다. 벤로형 온실에서 온도, 상대습도는 온실 내부를 4등분하여 입구에서 시설을 바라보는 기준으로 우측(전면부, 후면부)와 좌측(전면부, 후면부) 4개 지점을 선정한 후, 지면으로부터 2m 높이에 설치하였고, 광도 센서는 각 4개 지점에서 파프리카 작물의 상단부 높이에 따라 조절할 수 있도록 설치하였다. 플라스틱 필름 온실의 경우, 시설을 바라보는 기준으로 우측(전면부, 중앙, 후면부), 중앙(전면부, 정중앙부, 후면부), 좌측(전면부, 중앙, 후면부)로 9개 지점을 나누어 설치하고, 광도 센서의 경우 각 9개 지점에서 벤로형 온실과 같은 방식으로 설치하였다.
보광등의 인공 광원에서 조사된 광합성유효광양자속밀도(photosynthetic photon flux densities, PPFDs)는 광 스펙트럼 분석기(LI-180, Li-Cor Biosciences, Lincoln, NE, USA)를 이용하여 상부 보광인 고압나트륨등의 경우 바닥으로부터 2m 높이에서, 수관 내 보광인 LED등의 경우 광원으로부터 0.5m 거리에서 측정하였다.
소프트웨어 개발 및 시뮬레이션에 고려되는 온실 제어 디자인 변수는 Fig. 1과 같다. 파프리카 온실의 환경 제어 시스템의 시각적 구현을 위한 요소로는 환기창, 차광 스크린, 유동팬, 보광등, 탄산시비 시스템, 온수난방관 등이 있었다(Fig. 2).
2. 온실 환경 제어 수학적 모델
시뮬레이션 개발을 위한 수학적 모델은 온실 환경 상태를 설명할 수 있는 물질 및 에너지수지 법칙으로부터 나온 3가지의 일차미분방정식 조합을 이용하였고, 시뮬레이션은 MATLAB Simulink(Ver. R2022b, Mathworks, Natick, MA, USA) 프로그램을 이용하여 수행하였다. 상태방정식에는 (1) 기온(°C), (2) 절대습도() 및 (3) 지면 온도(°C)가 포함된다(Fitz-Rodriguez 등, 2010). 이는 온실이라는 해석 공간에서 발생하는 에너지량을 수치 해석적으로 계산하고 예측하는 데 이용되었다. 기간난방부하, 환기율, 적정 탄산시비량 및 적정 보광량 추정을 위한 계산식을 추가하여 원하는 기간의 온실 환경 제어 결과를 예측하였다.
2.1 에너지수지 방정식
에너지수지 방정식은 온실 구성요소 각각의 열적 상호교환을 나타내는 정상 상태 조건 하에서 얻어질 수 있다(Fitz- Rodríguez 등, 2010). 온실 표면에 도달한 태양에너지는 피복재에 의한 반사, 흡수 및 투과 등의 과정을 통해 온실 내부로 유입된다(Lee 등, 2016). 온실 환경의 결과는 유입된 태양에너지가 공기, 작물, 바닥과 천장 요소들의 상호 작용에 따른 에너지 균형을 통해 보여질 수 있고, 환기되는 온실의 물질 및 에너지 전달을 묘사할 수 있었다(Fig. 3). 각 식의 기초는 Table S1과 같다. 단순화되고 보완된 형태의 에너지 수지 방정식은 다음과 같다(ASAE, 2003):
2.2 물질 에너지 방정식
온실 내 공기 물질 에너지 방정식 계산을 위해, 피복재 안쪽 면에 의한 응축, 지면으로부터의 증발이 없으며, 오직 온실 공기에 영향을 주는 수분의 출처는 증발식 냉각시스템 또는 작물의 증산작용에 의한 것이라고 가정한다. 수분 역시 오직 환기에 의해서만 손실된다고 특정하며, 물질 수지 방정식은 다음과 같다:
작물의 증산량 추정에는 Penman-Monteith의 모델에 기반하고 파프리카에 맞게 변형된 추정식을 사용하였다(Shin과 Son, 2015):
온실 내 온도와 절대습도 변화에 대한 미분방적식은 다음과 같다(Takakura와 Son, 2004):
2.3 난방 부하 계산식
기간난방부하는 재배 기간 중 난방이 필요한 시기의 난방에 따른 열량이다. 온실에서 발생하는 열 손실은 전체 열손실의 60% 이상을 차지하는 피복재를 통한 관류열량, 틈새를 통해 손실되는 환기전열량, 그리고 토양의 열교환에 의한 지중전열량으로 나뉜다(Nam과 Shin, 2015). 기간난방부하는 피복면적을 기준으로 평균난방부하계수와 일조시간에 따른 조정계수를 곱하여 식 (13)과 같이 구한다. 최대난방부하(QHLoadmax), 기간난방부하(QHLoad) 산출식과 연료소비량(Fv)은 다음과 같이 나타낼 수 있다(Son 등, 2021):
2.4 환기율 및 적정 탄산시비량 계산식
환기량이란 단위시간당 외부 공기의 유입량을 뜻한다. 환기량은 단위시간당 몇 회분의 공기가 유입되었는가를 나타내는 환기횟수(Vn)와 온실체적(Vtotal)으로 구할 수 있다. 환기율(qv)은 환기량을 온실의 바닥면적(Afl)으로 환산한 값이며, 계산식은 다음과 같다(Sabeh와 Giacomelli, 2006):
적정 수준의 CO2 농도는 탄산시비량의 결정 기준으로서 작물의 종류, 생육단계 및 광도, 수분 등 환경조건에 따라 다르다. 적정 CO2 농도를 유지하기 위해 공급해야 하는 단위면적당 시비량은 온실 체적, 환기 횟수, 대기 중의 CO2 농도, 단위면적당 작물의 순광합성량 등을 고려하여 계산한다. 농도 단위를 g·m-3 대신 ppm으로 변경하기 위해 환산계수를 이용하여 계산하면 다음과 같다(Son 등, 2021):
2.5 적정 일적산광량 및 필요 보광량 계산식
최적 생육에 부합하는 온실 내 기준 광도는 일적산광량을 기준으로 결정한다. 목표 일적산광량(DLI)은 일조시간(h-1)을 나누어 결정하며 광원의 조명광도(PPFD, µmol·m-2·s-1)는 광원의 개수, 광원의 광속을 바닥면적(Afl)으로 나눈 값으로 환산한다. 일적산광량에 근거한 필요 보광량 산출은 다음과 같다(Lee 등, 2021).
3. 온실 환경 3차원 모델
교육용 시뮬레이터 소프트웨어 개발을 위해 실험 대상 벤로형 유리온실과 연동형 플라스틱 필름 온실을 실측값을 바탕으로 CAD 소프트웨어(SOLIDWORKS, Dassault Systemes, Vélizy-Villacoublay, France)를 사용해 모델링하였고, 거터, 암면 슬라브, 암면 배지 역시 실제와 동일하게 3차원으로 구축하였다(Fig. 4A, 4B). 고해상도의 휴대용 3차원 스캐너(GO!SCAN50TM, CREAFORM, Lévis, Quebec, Canada)를 이용하여 온실 파프리카의 3차원 스캔을 총 7단계의 생육단계별로 진행하였다(Fig. 4C).
결과 및 고찰
1. 작물 증산 시나리오(ET)
작물의 수분 사용량 추정 및 예측은 작물 개체 기준의 관수량과 재배시설의 규모에 따른 전체 관수량을 결정한다는 점에서 매우 중요한 요인이다(Zeng 등, 2009). 일반적으로 작물의 증산 모델은 적산광에 근거하여 광도가 증가할수록 증산량이 많아진다는 가정 하에 Penman-Monteith의 모델에 기반한 예측식이 주로 이용되었다(Jolliet과 Bailey, 1992; Medrano 등, 2005; Ta 등, 2011). 그러나 일정 수준 이상의 조건에서는 증산량이 광도의 증가와 비례하지 않으며, 광도의 편차가 큰 계절에는 추정 오차가 커질 수밖에 없다(Shin과 Son, 2015). Shin 등(2014)은 정밀한 증산량 추정을 위해 광도 보정식을 적용하여 파프리카 재배에 맞게 변형된 증산량 추정식을 사용하였고, 본 연구의 시뮬레이션에서도 해당 식을 적용하였다. 시뮬레이터 식 (8)에서 사용된 계수 a, b는 각각 0.26, 0.09 (kg/day)이며, 엽면적지수(leaf area index, LAI, m2·m-2)는 생육 초기 단계인 0.3부터 생육 후기의 3을 기준으로, 수증기압포차(VPDin)는 Shin 등(2014)을 참고하여 0-0.040kPa 범위로 적용하였다. 일적산광량은 파프리카 작물의 생육 초기부터 후기까지의 단계를 대변하는 10월, 1월, 4월을 기준으로 각각 16, 12, 24MJ·m-2·d-1로 설정하였다. 재식밀도는 국내 파프리카 재배 농가에서 보편적으로 적용되는 3주/m2(Jeong 등, 2009)로 설정한 뒤, 플라스틱 필름 온실에서의 작물 1주의 증산량을 추정하였다. 작물의 증산량은 Eq. (8)에서와 같이 광도와 비례적인 관계로 증가하였으며, 또한 LAI에 따라 함께 증가하는 경향을 보였으나 LAI 2.7(m2·m-2) 이상 수준에서 증가폭이 감소하였다(Fig. 5A). 이는 Kang 등(2019)이 보고한 바와 같이 생육 단계가 진전됨에 따라 파프리카 작물의 상단부 및 인접 작물에 의해 군락 내 수광량 이 감소했기 때문에 증산의 증가폭 역시 감소한 것으로 판단된다. 한편, 파프리카 장기 재배의 경우, 7월 간 휴작기를 갖은 뒤, 광량이 충분한 8월에 정식하여 광량 및 일조시간이 적은 겨울철에 생육 중기를 맞이하기 때문에 생육 단계에 따른 파프리카의 증산량은 겨울철까지 거의 증가하지 않다가 광량이 증가하는 봄철부터 급격하게 증가하였다(Fig. 5B). 따라서 파프리카 작물의 증산량 추정에 있어서 환경 변수 이외에 작물의 재배 작형 및 생육 변화에 따른 증산량 변화도 중요하게 고려해야 할 것이다.
2. 기간난방 부하 시나리오(QHload)
겨울철 난방부하 시뮬레이션에서는 2021년 12월 한달 동안의 외부 기온 데이터를 이용하여, 연동형 플라스틱 필름 온실의 내부 기온과 난방부하 및 연료소비량을 계산하였다. 식에 사용된 평균난방부하계수(Uaverage)와 피복재의 열절감률은 각각 2.94(kcal·m-2·h-1·°C-1)와 0.35였다. 12월 평균 일조시간에 따른 조정계수는 2820였다. 원래 난방부하의 단위인 kcal·h-1는 환산계수 0.001163을 이용하여 kW로 변환되었다. 연료소비량(Fv)을 추정하기 위한 연료 발열량(FHeat)과 난방장치의 열이용효율(Neff) 값은 등유의 평균발열량인 8790 (kcal·L-1)과 온수난방의 열이용효율 0.7을 적용하였다. 난방 시 설정한 목표 온도는 20°C였다.
2021년 12월 한 달의 평균 외부 기온은 약 0.1°C였고, 플라스틱 필름 온실 내 평균 온도는 7.4°C였다. 12월 중 가장 추운 날은 26일이었고 최저 기온은 온실 외부가 ‒12.1°C, 내부가 1.6°C였으며 난방 기간 중 가장 추울 때 드는 열량인 최대난방부하는 321MW였다(Fig. 6). 난방부하 값을 연료의 발열량과 난방장치의 열이용 효율로 나눈 연료소비량은 기간난방부하 그래프와 동일한 양상을 보였는데, 26일의 연료소비량이 17.1L로 가장 높게 나타났다.
3. 환기 시나리오
3.1 환기율 시나리오(qv)
고온기의 온실은 천창과 측창 등의 환기 시설을 개방하여도 실내 온도가 40°C 가까이 오를 수 있다. 이는 많은 작물의 생육적온을 초과한 수준이므로 고온장해가 발생할 수 있는 재배 조건이다. 환기율은 온실 내부의 온도와 관련된 에너지수지와 밀접한 관련이 있으므로 활용하기에 유용한 항목이다. 유리 온실과 플라스틱 필름 온실의 경우, 시뮬레이션된 자연 환기율은 큰 차이가 나지 않았다(Table 1). 이는 온실체적(Vtotal)과 바닥면적(Afl)의 비가 유사하여 시간당 환기횟수에 따라 환기율이 유사했기 때문으로 사료된다.
3.2 탄산 시비량 시나리오(Dtotal)
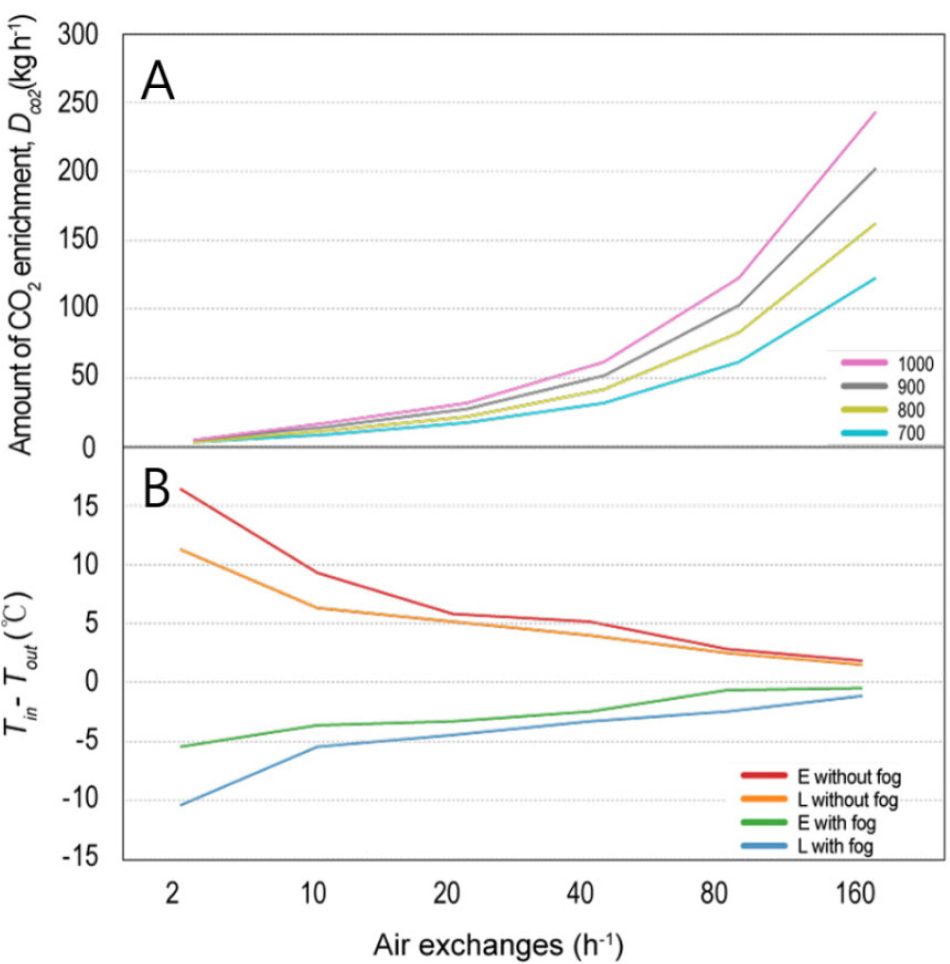
탄산가스 시비량 추정을 위해 파프리카 품종별 CO2 농도에 따른 생산성 비교 연구를 참고하여(Beny와 Leath, 2002), 온실내 CO2 농도 수준을 700ppm으로, 외부 CO2 농도는 400ppm으로 설정하였다. 단위면적당 작물의 순광합성량은 µmol-1·m-2·s-1 단위를 g·m-2·h-1으로 변환해 주기 위해 환산계수 0.1584를 이용하여, 3(g·m-2·h-1)으로 설정하였다(Shin 등, 2022). 각 온실의 전체 탄산가스 시비량(DTotal)은 단위면적당 탄산가스 시비량(DCO2)에 각 온실의 바닥면적(Afl)을 곱하여 추산하였다. 탄산가스 투입량은 온실 체적(Vtotal)과 비례하였으며, 유리 온실에 비해 체적이 큰 플라스틱 필름 온실에서 최대 140% 가까이 늘어났다. 한편, 시간당 환기 횟수가 2회에서 20회로 많아지면 적정 CO2 시비 농도를 유지하기 위해 탄산가스 투입량은 유리온실 및 플라스틱 필름 온실에서 각각 약 560%, 553% 이상 증가하였다(Table 1). 유리온실을 대상으로 한 환기횟수별 탄산가스 투입량을 시뮬레이션한 결과, 자연환기 없이 틈새환기 수준에 불과한 환기횟수 2회의 경우, 적은 CO2 투입량으로도 700에서 1,000ppm 수준까지의 적정 탄산시비 농도를 유지할 수 있었다(Fig. 7A). C3 식물인 파프리카의 경우, 온실 내 CO2 농도가 대기 중 CO2 농도보다 2-3배 가량 높을 때, 생육 적온이 5-10°C 정도 상승한다는 점에서 오전 중 탄산시비 시 온실 내 온도가 상승하더라도 자연환기를 하지 않는 것이 경제적이고 효과적이라는 것을 알 수 있다(Martzopoulou 등, 2020).
Table 1.
Ventilation rate (m3·m-2·s-1) and optimal amount of CO2 enrichment (kgf·h-1) implemented with the simulation for Venlo- type glasshouse and multi-span plastic film house structure design at summer condition in the morning.
그러나 온도가 급격히 상승하여 한계 온도 35°C(Son 등, 2021)를 초과하는 경우 환기는 필수적이므로 환기창이 열렸을 때 탄산시비를 한다면, 시설 내 CO2 농도가 대기 중 CO2 농도보다 떨어지지 않게 시비 설정 값을 대기 중 농도 ±50ppm으로 제어하는 것이 합리적일 것이다.
3.3 포그 냉방 시나리오(Ec)
자연환기는 환기 효과가 낮고 외부의 풍압력, 실내외 온도차, 환기창의 위치 등의 요소에 지배받기 때문에 환경 제어 측면에서 효과적이지 않다. 따라서 고온기에는 다양한 냉방 수단을 이용하여 실내 온도를 낮추는 기술이 필요하다. 생육 단계 및 포그 냉방 시설 유무에 따른 유리온실 내외부 기온차를 보기 위해 작물의 생육 단계를 환기가 많이 필요한 정식 직후 (9월), 최대 생산기에 접어드는 생육 후반(5월)으로 설정하였다(Fig. 7B).

Fig. 7.
Simulated greenhouse CO2 enrichment requirement at the different target CO2 concentrations (A) and the air temperature differential during the hottest part of the day in May at different air exchanges and different scenarios (B). Simulation scenarios include early stage (E) or late stage (L) in combination with or without fog cooling system.
Eq. (7)에 따라 작물의 증산(ET)과 냉방시스템(Ec)의 합인 증발산량(E)은 내부 절대습도(AHin)과 외부절대습도(AHout)의 차로 알 수 있다. 현열 에너지는 작물의 증산 또는 냉방 시스템의 발산에 의해 제거되는 것을 고려할 때, 온실 내부의 온도는 환기 횟수, 작물의 증산량, 냉방 시스템의 유무에 따라 크게 달라진다. 본 시뮬레이션에서 온실 내외부의 온도차는 환기를 하지 않은 생육초기(E without fog)의 냉방시설이 없는 온실에서 16.4°C로 가장 높게 나타났다. 냉방 효율은 생육 단계와 상관 없이 환기횟수가 많아짐에 따라 감소하였다. 시뮬레이션에서 적정 온실 기온인 24°C에 도달하기 위해서 필요한 온실 내외부 기온차는 ‒9.9°C 수준이었다. 이는 환기를 하지 않은 생육 후기의 유리 온실(L with fog)에서 냉방 시스템을 가동하는 조건에 해당한다.
4. 보광 시나리오(DLIout)
시설에서 인공 광원을 이용한 재배는 크게 광합성을 촉진하는 보광 재배와 일장조절로 생육상을 전환시키는 전조 재배로 분류된다. 일반적으로 보광의 광도는 광보상점 이상이 되어야 하며, 광포화점에 이르기까지 광도가 높을수록 광합성효율이 증가한다(Runkle, 2007). 실험 대상 지역의 1년 동안의 온실 외부 평균 일적산광량(DLI)은 19.4mol·m-2·d-1였으며, 가장 높은 날과 낮은 날은 각각 5월의 28.2mol·m-2·d-1와 1월의 10.3mol·m-2·d-1이었다. 토마토와 파프리카의 최적 DLI가 20에서 35mol·m-2·d-1인 것을 고려할 때, 시설과채류 재배 기간 동안 광환경을 개선하기 위해 보광은 필수적이다(Dorais, 2003; Yoon 등, 2021). 이번 시뮬레이션에는 겨울철 부족한 광량을 보충하기 위한 보광 시스템이 적용된 플라스틱 필름 온실을 가정하였으며, 2022년 1월 기준, 하루 DLI가 11.8mol·m-2·d-1인 날을 선정하였다. 작물의 생육 단계는 8월에 정식했다는 전제하에 1월 기준으로 초장 2m 수준의 생육 단계를 고려하였다.
시뮬레이션에 이용한 광원은 시설 재배에 주로 사용되는 고압나트륨등(high pressure sodium lamp, HPS lamp)과 수관 내 보광 LED등이다. 광투과율 70%의 플라스틱 필름 온실(Lopez와 Runkle, 2017)에서 목표 DLI를 20에서 30mol·m-2·d-1로 설정하였을 때, 고압나트륨등을 적용했을 경우와 수관 내부를 보광하는 LED등을 함께 적용했을 때의 보광 필요시간을 계산하였다(Table 2). 보광등에서 조사된 PPFD는 고압나트륨등의 경우 2m 높이에서 211μmol·m-2·s-1이었으며, 적색, 청색 LED 램프 보광의 경우, 군락 내부 0.5m 거리에서 70μmol·m-2·s-1이었다. 이를 한 시간 단위로 환산하면 각각 0.7596, 0.2532mol·m-2이었다. 시뮬레이션 결과, 20mol·m-2·d-1의 DLI를 목표로 한다면, 하루에 상부 보광으로는 약 10시간 47분, 상부 보광 및 수관 내 보광으로는 약 8시간의 보광등 작동이 필요하다. 목표 일적산광량 30mol·m-2·d-1을 채우기 위해서는 약 24시간의 상부보광등 작동, 약 18시간의 상부보광 및 군락 내 보광등 작동이 필요한 것으로 나왔다. 이는 시뮬레이션 해당 일의 DLI가 매우 낮은 수준인데다, 겨울철 플라스틱 필름 온실의 광투과율이 약 70%에 불과하기 때문인 것으로 보인다.
Table 2.
Values of supplemental lighting needed for gaining target daily light integral (DLI) implemented with the simulation for multi-span plastic film house structure design on December 24th, 2021.
| Date |
Target DLI (mol·m-2·d-1) | Duration of supplemental lighting (h-1) | |
| QHPS | QHPS + QLED | ||
| 24th Dec. | 20 | 10.8 | 8.1 |
| 25 | 17.3 | 13.0 | |
| 30 | 23.9 | 18.0 | |
5. 소프트웨어 개발 및 활용
앞서 분석한 결과처럼 시뮬레이션 기술은 시간 및 공간에 구애 받지 않고 재배 및 환경 조건에 따라 다양한 온실 내부 환경을 경험할 수 있게 해준다. 정부 차원에서 스마트팜 보급을 위해 많은 시스템을 구축해가고 있지만, 농업 관련 기술 발전 속도에 비하여 보급 속도는 뒤처지고 있는 실정이다. 또한 대부분의 농가에서 병해충의 전염이나 재배 노하우의 유출 우려 등으로 외부인의 방문을 꺼려하므로 현장성 있는 시설 농업 교육을 실시하는데 어려움이 많다(Kim 등, 2018). 실제 재배 시설과 유사하게 구축된 3차원 온실에서 환경 조절 시스템 등의 시설 운영 체험을 해본다면 시설 운영에서 발생하는 문제점과 생산성 제고를 위한 개선 방안을 이해하는데 도움이 될 것이다.
본 시뮬레이션의 온실 환경 제어 방식은 하루 24시간을 최대 6개의 주기로 분할하여 각 주기마다 환기, 난방, 보광 등 제어 시스템의 설정 값을 독립적으로 입력할 수 있으며, 폐루프 제어 시스템(closed loop system)을 통해 출력값과 목표값을 비교하여 편차가 작아지도록 하여 최종적으로 목표 제어값에 도달하도록 하였다(Fig. 8). 모델의 검증은 시설 내 주요한 환경 요인인 기온으로 진행하였다. 실측치와 시뮬레이션에 의한 예측치의 결정계수(R2)와 표준 오차는 각각 0.85, 1.1(°C)로, 기온치와 시뮬레이션에 의한 온도 예측치의 경향성이 유사함을 확인할 수 있었다(Fig. 9). 모델 검증의 정량적 지표로서 결정계수는 0.8 이상으로 높게 나타난 바, 본 연구의 결과는 교육용 시뮬레이션에서 온실 환경 변화를 충분히 반영할 수 있다고 판단된다.
본 연구의 온실 환경 시뮬레이션은 HTML5 웹 표준으로 개발하여 PC뿐만 아니라 모바일, 태블릿에서 동작 가능하도록 개발할 계획이다. Fig. 10은 설계된 시뮬레이션 시제품 화면을 나타내며, 외부기상 정보는 사용자 설정한 주소를 기반으로 기상청 날씨 정보를 연계하여 사용한다. 또한, 온실 형태(비닐, 유리) 및 구조, 피복재, 보온재를 설정하면 최대 냉난방 부하 및 기간난방부하를 자동으로 계산하여 시뮬레이션 시 반영할 수 있으며, 농가의 정식 시기, 재배 작형(여름, 겨울) 정보와 차광 스크린, 천/측창, 보광 및 탄산시비 등 설비의 유무를 입력할 수 있도록 설계하였다. 그리고 생육 단계별 권장 기준 및 설정 기준은 실험 및 연구에 근거하여 얻은 최적의 환경 요소 설정 값을 포함하여 재배 상황에 맞게 유연한 적용 및 업데이트가 가능하도록 반영할 것이다.











