© The Korean Society for Bio-Environment Control. All rights reserved.
ABSTRACT
서 론
물냉이(Nasturtium officinale R. Br.)는 미국 질병예방 통제센터(Control Disease Center, USA)에서 칼로리당 영양밀도가 가장 높은 작물로 2014년도에 선정 되었다 (Di noia, 2014). 물냉이는 십자화과에 속하는 다년생 수 생 초본식물로 맑고 차가운 물가에서 자라며 유럽, 미국 그리고 아시아에 걸쳐 널리 분포한다(Cruz 등, 2008). 우 리나라의 물냉이는 유럽 원산의 귀화식물로 “워터크레스 (watercress)”로 불리지만 유럽에서는 “크레숑(cresson)”으 로 더 잘 알려진 향신 채소이다. 물냉이는 자연하천이나 온실수경재배로 생산되며 일반적으로 샐러드용 채소로 섭취한다(Manion 등, 2014). 물냉이는 비타민 C, B, E뿐 만 아니라 Ca, P, K, Fe, Mg, Zn, Se, β-carotene같은 다 량의 미네랄과 glucosinolate를 포함한다(Zahradníková와 Petříková, 2013). 이러한 glucosinolate는 높은 항산화 능 력이 검증되어 항암(Mithen, 2001) 또는 항바이러스에 효과가 있어 인간의 건강과 면역력을 증진시킬 수 있다 고 하였다(Rodrigues 등, 2016). 특히, 물냉이는 유익한 산화방지제인 2-phenethyl isothiocyanate (PEITC)를 많 이 함유하는 것으로 알려져 있으며, PEITC는 특정 발암 물질에 대한 신체의 저항능력을 증가시키는 것으로 나타 났다(Palaniswamy 등, 1997;Syed Alwi 등, 2010).
담액수경(deep flow technique; DFT)법은 순수수경법 의 일종으로 뿌리가 액체배지 속에 담겨져 있는 가장 고전적인 수경재배 방법이다. 이 방법은 베드 내 액량이 많기 때문에 지하부의 온도 변화가 작으며, 배양액의 농 도, 조성, pH 등이 안정하고 교정하기 쉽고, 전기 공급 이 끊기는 상황에서 시스템의 안전성이 높은 것이 장점 있다(Son, 1999). 그러나 다른 순수 수경재배 방법과 비 교하여 초기 설치비가 많이 들며, 특히 뿌리에 대한 산 소 공급이 적고, 이에 따른 야간의 뿌리호흡이 제한 받는 것이 단점이 있어 인위적인 산소공급 시스템이 필요하다 (Park과 Kim, 1998). 일반적으로 지하부의 산소 부족은 지상부의 세포 비대를 감소시키지만(Atwell과 Steer, 1990) 지하부에 주기적인 산소공급을 해주면 뿌리의 활 착과 발근에 도움이 된다(Howard, 1975).
담액수경재배의 단점을 극복하기 위한 방법으로 양액 내에 산소를 공급하기 위하여 배양액의 순환주기를 조절 하거나(Seo 등, 2009) 양액내 산소공급장치를 이용하는 방법 등이 이용 되고 있으며, 이중에서 마이크로-나노 버블을 담액수경재배에 적용한 결과 상추의 지상부 생육 이 유의적으로 증대되었다(Park과 Kurata, 2009). 이러한 결과는 배양액내 발생된 마이크로버블의 표면에 전기적 음전화를 나타내는 (–)제타포텐셜에 기인하였다고 보고 하였다(Takahashi, 2005). 이러한 마이크로버블의 전기적 특성으로 버블끼리 서로 붙지 않고 양전하를 띠는 물질 을 끌어당길 수 있다(Park과 Kurata, 2009). 버블이 붕괴 (소멸) 되는 순간에는 히드록시 래디칼(OH-)이 발생되며 (Takahashi 등, 2007), 이러한 래디칼은 식물 근권에 자 극을 주어 엘리시터를 생성하거나 스트레스로 작용 하여 2차대사 산물의 추적 등에 영향을 수 있다고 생각된다. 식 물의 근권 수분스트레스와 뿌리 상처 처리를 통하여 온실 에서 자란 허브류에 속하는 진딧물뿌리버섯(Hypericum pruinatum)의 총 폴리페놀 함량이 증가(Caliskan 등, 2017), 토마토(Murshed 등, 2013)와 밀(Esfandiari 등, 2008)의 항산화물질 증가가 보고되었다. 그러나, 마이크 로버블 기술을 이용하여 물냉이의 생육 및 2차대사산물 의 변화에 대한 연구는 매우 미비하다. 따라서, 본 연구 는 고품질 물냉이 생산을 위하여 담액수경 재배 시 양액 내 마이크로버블 처리가 물냉이의 생육 및 glucosinolate 함량에 미치는 영향을 분석하기 위해서 수행되었다.
재료 및 방법
1. 실험재료 및 재배환경
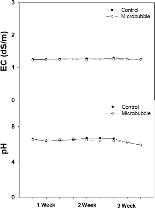
물냉이 종자(Water Cress, Asia Seed CO. Ltd., Korea) 를 암면배지(Groplug, Grodan Co. Ltd., Netherland)에 파 종한 뒤, 식물 생장 챔버(HB-301S-3, Hanbaek Scientific Technology CO. Ltd., Korea)에서 온도 22°C, 습도 80%, 광도 175±15μmol·m-2·s-1, 광주기 16/8h(주간/야간) 으로 세팅하여 2주간 육묘하였다. 육묘 후 균일한 개체 를 육안 선발하여 온도, 습도, 광도가 일정하게 유지되 는 밀폐형 식물공장 형태의 환경조절실 내 담액수경 재 배 시스템에 정식하였다. 정식 후 환경조절실 내 환경은 22±2°C, 습도 70±10%, 광도 200±20μmol·m-2·s-1, 광주기 16/8h(주간/야간)으로 유지되었으며 오츠카배양액(Otsuka House1-A, Otsuka Co. Ltd., Japan)을 이용하여 정식기 간동안 EC 1.24±0.02dS·m-1, pH 6.4±0.2로 유지하여 (Fig. 1) 3주간 재배하였다.

Fig. 1
Time course of the changes in electrical conductivity (EC) and pH in the Otsuka nutrient solution generated with microbubbles and non-microbubbles in a deep flow technique (DFT) hydroponic culture system during experimental period of 3 weeks.
2. 마이크로버블 처리
마이크로버블 처리를 위하여 수중펌프(UP100, Hyupshin Design Co. Ltd. Seoul, Korea)와 고속선회형 마이크로버 블 장치(Besty; Febion Co. Ltd., Fukui, Japan)를 호스로 연결하여 DFT 식물재배 베드내에 버블직경 10~50mm의 마이크로버블을 공급해주었다(Fig. 2). 대조구의 경우 수족 관용 에어 블로어(DK-200, DAE-KWANG Electronics Co. Ltd., Seoul, Korea)와 에어스톤 4개를 이용하여 매크로버 블을 공급하였다. 실험구와 대조구의 DFT 재배베드로 공 급되는 공기양은 면적식 유량계(DK46, Krohne Korea Co. Ltd., Seoul, Korea)로 조절하여 같은 공기를 공급하였다. 배양액내 수중펌프와 블로어의 작동 주기는 10분/10분 (On/Off) 간격으로 설정하여 양액을 순환시켜 주었다.

Fig. 2
Photos of the watercress grown under microbubbles and non-microbubbles conditions (A) and plant growth between two conditions (B).
3. 생육 측정
DFT 수경재배 시스템에서 3주간 재배된 물냉이의 초 장, 근장, 엽장, 엽폭을 디지털 버니어캘리퍼스(SD500- 300PRO, Shin Con CO. Ltd., Korea)를 이용하여 측정하였 다. 처리구별 비파괴 엽록소 함량 값과 양자효율(Quantum yield; Qy)을 비교하기 위하여 SPAD-502(Minolta Camera Co. Ltd., Japan)과 Fluorpen(FP100, Photo systems Instruments, Cesko)를 이용하여 SPAD값과 Qy값을 측정 하였다. 지상부 생체중, 지하부 생체중은 전자저울(MW- 2N, CAS Co. Ltd., Korea)을 이용하여 측정하였으며, 물냉이의 생체중을 측정 후, 70°C로 설정한 건조기(HB- 501M, Hanbaek Scientific Technology CO. Ltd., Korea) 에 1주일간 건조시킨 후 물냉이의 지상부와 지하부 건 물중을 측정하였다.
4. Glucosinolate 함량 분석
물냉이의 glucosinolate 함량 분석을 위해 마이크로버블 처리구와 대조구의 물냉이를 3주씩 채취하였다. 채취한 물냉이를 동결건조후에 막자사발로 분말화하여 2.0mL 튜 브에 100mg씩 평량한 후 70% (v/v) boiling menthanol 을 1.5mL씩 넣었다. 혼합된 시료를 Vortexing 처리 한 후 항온수조 70°C에서 5분간 넣어 조(crude) GSLs를 추 출하였다. 이후 원심분리기(Smart R17, Hanil Science industrial Co. Ltd., Korea)를 이용하여 12,000 rpm, 10min, 4°C로 원심분리를 진행한 후 상층액을 추출하여 ISO, 1992와 Choi 등, 2018 측정방법을 기준으로 HPLC(1260 Infinity Series, Agilent Technologies Inc., USA)를 이용하여 glucosinolate 함량을 분석하였다.
5. 실험 설계 및 통계분석
본 실험은 완전임의 배치법으로 2반복 수행하였다. 생육 조사를 위하여 반복당 9개체를 측정하였으며, glucosinolate 분석을 위해서 반복당 3개체를 이용하였다(n=9, n=3). 실 험 결과에 대한 통계분석을 위하여 IBM SPSS Statistics ver. 24 프로그램을 이용해 집단통계량을 분석하였고, 두 집단의 평균 간 유의성 검증을 위하여 독립표본 t 검정 법을 이용하여 5% 유의수준에서 처리간 평균값의 유의 성을 검증하였다.
결과 및 고찰
1. 배양액의 EC 및 pH 변화
수경재배 시, 식물은 대표적인 질소원인 질산성 질소 (NO3-)와 암모니아성 질소(NH4+) 중에서 NH4-N을 우선 흡수 한다. 이러한 결과 체내의 양이온과 음이온의 균형 을 유지하기 위하여 뿌리를 통하여 H+ 을 배출하게 되 고 양액의 pH가 감소하게 된다(Park과 Kim, 1991). 본 실험의 경우 재배기간 중 배양액의 EC와 pH값은 대조 구와 처리구간에 큰 차이를 보이지 않았다(Fig. 1). 이러 한 결과는 재배되는 식물 개체수와 비교하여 이용되는 배양액의 양이 다른 순수 양액재배 방식과 비교하여 많 기 때문으로 사료된다. 그러나, 마이크로버블을 생성시킨 수경재배 시스템에서 잎상추(Lactuca sativa L. ‘Coslettuce’)를 2주간 재배하는 동안 EC는 본 연구와 마찬가지로 변화하지 않았으나, 대조구의 pH는 EC농도 에 따라서 처리구와 비교하여 0.2-0.5 정도 증가하는 것 으로 나타났다(Park 등, 2010). 또한 마이크로버블을 간 헐적으로 발생시킨 처리(15, 30, 60분/h)에서 마이크로버 블 처리구의 pH는 대조구와 비교하여 1.5정도 낮게 나 타나, 2주간의 재배 후에 pH는 4.5 수준으로 낮아졌으 며 생체중은 대조구와 비교하여 유의적인 차이를 보이며 높았다(Park 등, 2010). 이렇게 pH가 낮아진 이유로는 마이크로버블 처리가 근권에서 양이온의 흡수를 증가시 켰으며, 식물체내에서는 양이온과 음이온의 균형을 위해 서 체외로 수소이온을 방출한 기인한 것으로 평가하였다 (Park 등, 2010). 이러한 결과는 마이크로버블 표면에 형 성되는 (-)제타포텐셜로 인하여 버블 표면에 양이온의 흡착이 증가하였으며(Park과 Kurata 2009), 이러한 버블 이 뿌리 표면에 흡착되면서 발생된 것으로 평가된다. 마 이크로버블의 발생 방식이나, 발생기의 내구년수 등으로 버블의 물리화학적 특성이 변할 수 있기 때문에 마이크 로버블 장치를 DFT 시스템에 이용할 경우, 양액의 pH 변화에 따른 (-)제타포텐셜을 사전에 측정하는 것이 중 요할 것으로 판단된다.
2. 생육비교
정식 3주 후 마이크로버블 처리에 따른 물냉이의 생육 조사 결과 물냉이 초장은 대조구에서 4.86cm, 마이크로 버블 처리구에서 3.44cm로 대조구에서 41% 증가하였다 (Fig. 3). 그러나 근장, 엽장, 엽폭은 대조구와 처리구간 유의적 차이가 없었다(Fig. 3). SPAD와 Qy값 역시 처리 구별 유의적 차이가 발견할 수 없었으며(Fig. 4), 지상부 의 생체중과 건물중, 지하부의 생체중과 건물중의 평균 값은 대조구와 비교하여 마이크로버블 처리구에서 작았 으나, 통계적인 유의적 차이는 없었다(Fig. 5). 이러한 결과는 소송채(Brassica rapa L. ‘perviridis’)를 가압용해 방식과 가스순환방식으로 마이크로버블을 발생시킨 수경 재배 시스템에서 3주간 재배하였을 때, 대조구와 비교하 여 생육이 낮은 결과와 유사하였다. 특히 작물의 초장은 처리 1주일 후부터 차이가 나기 시작했으며, 생체중, 건 물중, 엽록소 함량에서 가압용해 방식의 마이크로버블 처리구에서 대조구와 비교하여 유의적으로 더 낮았다 (Ikeura 등, 2017). 용액내의 과포화 용존산소 농도 (12mg·L-1) 조건에서 재배된 상추는 뿌리의 호흡, 뿌리 갈 변, 배양액내의 유기물 산화도가 증가하여 생육에 불리하 다고 보고하였다(Chun과 Takakura, 1994). 그러나, Park 과 Kurata (2009)는 DFT재배 시스템에서 마이크로 버블 처리구에서 2주간의 생육기간 동안 잎 상추의 생체중이 2.1배, 건물중이 1.7배 높았다고 보고하였다. 또한 간헐적 인 마이크로 버블의 발생(15, 30, 60분/h)이 잎 상추의 지 상부 생체중과 건물중이 대조구와 비교하여 유의적으로 증가하였으나, 뿌리의 생육은 유의적인 차이가 발생하지 않았다(Park 등, 2010). 고속선회 방식으로 생성된 마이크 로 버블의 경우, 발생기가 작동(10분/ON과 10분/OFF)되 는 동안 배양액의 온도가 대조구와 비교하여 1°C 정도 상승되고 다시 내려오는 패턴을 보였다. 온도 상승에 따 른 뿌리의 호흡량 증대가 예측되고 이러한 호흡량은 뿌 리의 전체 생육에 영향을 줄 수 있을 것으로 사료된다.

Fig. 3
Stem length, root length, leaf length and leaf width of the watercress grown under microbubbles and non-microbubbles conditions for 3 weeks. Data represent the means (±SE). Means with different letters are significantly different by t-test (P≤0.05).

Fig. 4
SPAD and Qy of the watercress grown under microbubbles and non-microbubbles conditions for 3 weeks after transplanting. Data represent the means (±SE).

Fig. 5
Shoot fresh and dry weights (SFW and SDW) and root fresh and dry weights (RFW and RDW) of the watercress grown under microbubbles and non-microbubbles conditions for 3 weeks after transplanting. Data represent the means (±SE).
가장 반응성이 강한 래디컬인 수산기 래디컬(OH-1)은 마이크로버블의 붕괴(소멸) 시에 발생된다고 보고되었으 며, 특히 고압용해 방식에서 주로 발생되며, 가스용해 방식에서는 잘 일어나지 않는다고 하였다(Takahashi, 2007, 2009). 그러나 고속선회 방식의 경우에도 고압용 해 방식과 비슷하게 에너지 투입이 많은 방식이므로 버 블의 물리화학적 특성은 고압용해 방식과 더 유사하다고 유추할 수 있다. 특히 고압용해 방식의 마이크로버블 발 생기를 사용하여 소송채 재배 시, 생육의 저하는 이러한 래디컬에 기인한 것으로 예측되며, 투과전자현미경을 이 용하여 뿌리의 선단 세포를 해부한 결과, 재배기간인 3 주에 걸쳐 근단(root apex) 표피세포의 원형질 분리가 생장점 부근으로 진행되었다. 이러한 뿌리의 표피세포의 변화는 양수분의 흡수에 부정적 영향을 미쳤을 것이라고 보고하였다(Ikeura 등, 2017). Frensch와 Hsiao (1994)는 근권의 수분포텐셜 부족에 기인하는 삼투스트레스에 의 해서 뿌리 세포의 팽압이 감소하고, 뿌리 세포 신장을 억제한다고 하였다. 결국, 지하부 건물중 감소는 근권의 가압용해 방식의 마이크로버블이 소송채의 근단 표피세 포의 자극을 통해 삼투 스트레스가 발생되었고, 이것이 원형질 분리를 유도하였으며, 세포의 신장이 억제되어 양수분의 흡수가 줄어든 것으로 예측하였다(Ikeura 등, 2017). 마이크로버블을 생성하는 방식에 따른 버블의 물 리화학적 특성이 달라지고, 본 실험에서 사용된 고속선 회 방식으로 생성된 버블의 경우에도 버블 내부에 축적 된 에너지와 발생된 래디컬 등에 의해서 뿌리의 양수분 흡수에 영향을 줄 수 있는 것으로 판단된다.
3. Glucosinolate 함량 비교
정식 후, 3주간 마이크로버블 처리구와 대조구에서 수확 된 물냉이의 glucosinolate 성분을 분석한 결과, 두 처리구 모두 5종류(gluconasturtiin, glucobrassicin, gluconapin, 4- methoxyglucobrassicin, glucoiberin)의 glucosinolate가 검 출되었다(Table 1). 마이크로버블 처리된 물냉이의 gluconasturtiin, glucobrassicin, gluconapin, glucoiberin은 대조구와 비교하여 마이크로버블 처리구에서 각각 84, 106, 180, 150% 증가하였으며, 4-methoxyglucobrassicin 성 분만 53% 감소하였다. 절대값 측면에서 gluconasturtiin의 농도가 총 glucosinolate 함량의 90%를 차지하지만 다른 모든 성분들에서 마이크로버블 처리구에서 유의적으로 매우 높은 결과를 보였다. 단위 건물중 당 각 처리구별 총 glucosinolate 함량은 마이크로버블 처리구에서 20.61μmol·DWg-1, 대조구에서 11.10μmol·DW g-1으로 마이크로버블 처리구에서 85% 증가되었다. 각 처리구 별 식물 개체당 총 glucosinolate 함량을 알아보기 위하 여 식물 1주당 건물중에 함유된 glucosinolate 함량을 분 석한 결과, 마이크로버블 처리구에서 223.05μmol/plant 대조구에서 134.80μmol/plant으로 약 65% 증가된 결과 를 나타냈다(Fig. 6).
Table 1. The values of gluconasturtiin, glucobrassicin, gluconapin, 4-methoxyglucobrassicin, and glucoiberin concentration of the watercress grown under microbubbles and non-microbubbles conditions for 3 weeks after transplanting.

Fig. 6
Total glucosinolate contents per plant of the watercress grown under the microbubbles and non-microbubbles conditions for 3 weeks after transplanting. Data represent the means (±SE). Means with different letters are significantly different by t-test (P≤0.05)
질소 처리 (6, 56, 106mg·L-1)와 황 처리 (8, 16, 32mg·L-1) 를 달리하여 물냉이를 재배할 경우, 질소처리에 의해서 glucobrassicin, 4-methoxyglucobrassicin과 gluconasturriin 농도가, 황 농도의 증가에 따라서 gluconapin과 glucobrassicin의 농도가 증가하였다(Kopsell 등, 2007). 물냉이의 gluconasturtiin은 장일조건(16h > 8h), 낮은 온 도 (10-15°C > 20-25°C), 적색광 보광조건 (metal halide + Red > metal halide + FR), 일장 마지막에 짧은 시간 동안의 적색광 조사(Red > Far-Red)에서 각각 30-40%, 50%, 25-40%, 25% 증가하였다(Gerard 등, 2006). Gluconasturtiin에 함유되어 있으며 항암성분으로 알려진 2-phenethyl isothiocyanate(PEITC)는 8시간의 일장조건 보다는 12시간 처리에서, 주간온도 15°C 조건 보다는 25°C 조건에서 더 많이 축적되었다(Palaniswamy 등, 1997). Palaniswamy 등 (2003)은 정식 후, 40-60일이 지 난 물냉이의 생장점 부근의 성숙한 잎에서 가장 높은 PEITC가 축적된다고 보고하였다. 순무(Brassica rapa L.) 를 청색 멀칭에서 재배할 경우 녹색이나 백색 멀칭과 비교하여 지상부보다는 지하부 glucosinolate 함량이 증 가하였으며(Antonious 등, 1996), 컬러필름을 이용한 멀 칭, 즉 광질의 변화는 바질(Ocimum basilicum L.)의 향 기와 페놀함량의 변화를 가져온다고 하였다(Loughrin과 Kasperbauer, 2001). 이러한 보고를 고려하면 재배 환경 의 변화는 glucosinolate 함량에 큰 영향을 미치는 것으 로 판단된다. 살구묘목(Prunus mume)에서 히드록실 래 디컬의 영향으로 인한 광합성 및 생장량 감소의 결과를 보았을 때(Yoon 등, 2006) 위에서 언급된 마이크로버블 의 발생 시, 같이 생성되는 히드록시 래디컬(OH-1)은 분 명히 작물의 근권부에 물리화학적으로 자극을 줄 수 있 다. 이러한 자극은 식물의 2차대사산물의 생성과 축적에 방아쇠 역할을 할 수 있고, 그러한 결과로 우리는 마이 크로버블 처리를 통해서 glucosinolate 함량이 증대된 고 품질의 물냉이를 생산할 수 있었다. 따라서, 마이크로버 블을 수경재배에 이용할 경우, 발생방식에 따른 물리화 학적 특성을 분석할 필요가 있으며, 양액내 발생된 또는 발생 후 혼합되는 조건에서 생장에 마이너스 영향을 줄 수도 있으나, 이차대사산물의 증가에는 긍정적인 영향을 줄 수 있을 것으로 사료된다.
사 사
본 연구는 충남대학교 학술연구비 지원에 의해 수행되 었음
References
Antonious, G.F., M.J. Kasperbauer, and M.E. Byers. 1996. Light reflected from colored mulches to growing turnip leaves affects glucosinolate and sugar contents of edible roots. Photochem. Photobiol. 64:605-610. 10.1111/j.1751-1097.1996.tb03112.x
10.1111/j.1751-1097.1996.tb03112.xAtwell, B.J., and B.T. Steer. 1990. The effect of oxygen deficiency on uptake and distribution of nutrients in maize palnts. Plant and Soil. 122:1-8. 10.1007/BF02851904
10.1007/BF02851904Caliskan, O., J. Radusiene, K.E. Temizel, Z. Staunis, C. Cirak, D. Kurt, and M.S. Odabas. 2017. The effects of salt and drought stress on phenolic accumulation in greenhousegrown Hypericum pruinatum. Ital. J. Agron. 12:271-275. 10.4081/ija.2017.918
10.4081/ija.2017.918Choi, J.Y., S.J. Kim, K.J. Bok, K.Y. Lee, and J.S. Park. 2018. Effect of different nutrient solution and light quality on growth and glucosinolate contents of watercress in hydroponics. Protected Horticulture and Plant Factory 27:371-380 (in Korean). 10.12791/KSBEC.2018.27.4.371
10.12791/KSBEC.2018.27.4.371Chun, C., and T. Takakura. 1994. Rate of root respiration of lettuce under various dissolved oxygen concentrations in hydroponics. Environmental Control in Biology. 32:125-135. 10.2525/ecb1963.32.125
10.2525/ecb1963.32.125Cruz, R.M., M.C. Vieira, and C.L. Silva. 2008. Effect of heat and thermosonication treatments on watercress (Nasturtium officinale) vitamin C degradation kinetics. Innovative Food Science & Emerging Technologies 9:483-488. 10.1016/j.ifset.2007.10.005
10.1016/j.ifset.2007.10.005Di Noia, J . 2014. Defining Powerhouse Fruits and Vegetables: A Nutrient Density Approach. Preventing chronic disease. 11. 10.5888/pcd11.130390. 10.5888/pcd11.13039024901795PMC4049200
10.5888/pcd11.13039024901795PMC4049200Esfandiari, E., M.R. Shakiba, S.A. Mahboob, H. Alyari, and S. Shahabivand. 2008. The effect of water stress on the antioxidant content, protective enzyme activities, proline content and lipid peroxidation in wheat seedling. Pak. J. Biol. Sci. 11:1916-1922. 10.3923/pjbs.2008.1916.192218983033
10.3923/pjbs.2008.1916.192218983033Frensch, J., and T.C. Hsiao. 1994. Transient responses of cell turgor and growth of maize roots as affected by changes in water potential. Plant Physiol. 104:247-254. 10.1104/pp.104.1.24712232076
10.1104/pp.104.1.24712232076PMC159183Gerard, E.E., G. Holden, J.D. Cohen, and G. Gardner. 2006. The Effect of temperature, photoperiod, and light quality on gluconasturtiin concentration in watercress (Nasturtium officinale R. Br.). J. Agri. and Food Chem. 54:328-334. 10.1021/jf051857o16417287
10.1021/jf051857o16417287Howard, B.H . 1975. Improved rooting of cuttings by diffusion of oxygen through the rooting medium. J. Hort. Sci. 50:173-174. 10.1080/00221589.1975.11514620
10.1080/00221589.1975.11514620Ikeura, H., H. Takahashi, F. Kobayashi, M. Sato, and M. Tamaki. 2017. Effect of different microbubble generation methods on growth of Japanese mustard spinach. J. Plant Nutrition. 40:115-127. 10.1080/01904167.2016.1201498
10.1080/01904167.2016.1201498ISO . 1992. Rapeseed: Determination of glucosinolates content - Part 1: Method using high performance liquid chromatography, 9167-1:1992 (pp.1-9). Geneva, Switzerland.
Kopsell, D.A., T.C. Barickman, C.E. Sams, and J.S. McElroy. 2007. Influence of nitrogen and sulfur on biomass production and carotenoid and glucosinolate concentrations in watercress (Nasturtium officinale R. Br.). J. Agri. and Food Chem. 55:10628-10634. 10.1021/jf072793f18052091
10.1021/jf072793f18052091Loughrin, J.H., and M.J. Kasperbauer. 2001. Light reflected from colored mulches affects aroma and phenol content of sweet basil (Ocimum basilicum L.) leaves. J. Agric. Food Chem. 49, 1331-1335. 10.1021/jf001264811312860
10.1021/jf001264811312860Manion, L.K., D.E. Kopsell, D.A. Kopsell, C.E. Sams, and R.L. Rhkerd. 2014. Selenium fretilization influences biomass, elemental accumulations, and phytochemical concentrations in watercress. J. Plant Nutrition 37:327-342. 10.1080/01904167.2013.789110
10.1080/01904167.2013.789110Mithen, R . 2001. Glucosinolates-Biochemistry, genetics and biological activity. Plant Growth Regul. 34:91-103. 10.1023/A:1013330819778
10.1023/A:1013330819778Murshed, R., F. Lopez-Lauri, and H. Sallanon. 2013. Effect of water stress on antioxidant systems and oxidative parameters in fruits of tomato (Solanum lycopersicon L, cv. Microtom). Physiol. Mol. Biol. Pla. 19:363-378. 10.1007/s12298-013-0173-724431505PMC3715648
10.1007/s12298-013-0173-724431505PMC3715648Palaniswamy, U., R. McAvoy, and B. Bible. 1997. Supplemental lighting before harvest increase phenethyl isothiocyanate in watercress under 8-hour photoperiod. HortScience 31:222-223. 10.21273/HORTSCI.32.2.222
10.21273/HORTSCI.32.2.222Palaniswamy, U.R., R.J. McAvoy, B.B. Bible, and J.D. Stuart. 2003. Ontogenic variations of ascorbic acid and phenethyl isothiocyanate concentrations in watercress (Nasturtium officinale R. Br.) leaves. J. Agric. Food Chem. 51:5504-5509. 10.1021/jf034268w12926905
10.1021/jf034268w12926905Park, J.S., and K. Kurata. 2009. Application of microbubbles to hydroponics solution promotes lettuce growth. HortTechnolgy. 19:212-215. 10.21273/HORTSCI.19.1.212
10.21273/HORTSCI.19.1.212Park, J.S., K. Ohashi, K. Kurata, and J.W. Lee. 2010. Promotion of lettuce growth by application of microbubbles in nutrient solution using different rates of electrical conductivity and under periodic intermittent generation in a deep flow technique culture system. Europ. J. Hort. Sci. 75:198-203.
Park, K.W., and Y.S. Kim. 1998. Hydroponics in horticulture.
Park, S.K., and K.Y. Kim. 1991. Hydroponics. pp.132-156. Oseong Press, Seoul, Korea.
Rodrigues, L., I. Silva, J. Poejo, A.T. Serra, A.A. Matias, A.L. Simplicio, M.R. Bronze, and Catarina M. M. Duarte. 2016. Recovery of antioxidant and antiproliferative compounds from watercress using pressurized fluid extraction. The Royal Society of Chemistry. 6:30905-30918. 10.1039/C5RA28068K
10.1039/C5RA28068KSeo, T.C., H.C. Rhee, M.Y. Rho, K.L. Choi, H.K. Yun, and C.H. Chun. 2009. Effect of circulation cycle of nutrient solution on the dissolved oxygen concentration, and the growth and phytonutrient contents of leafy vegetables grown in DFT systems. J. Bio-Environment Control. 18:112-118 (in Korean).
Son, J.E . 1999. Analyses of root-zone temperatures at various locations in NFT, DFT, and aggregate culture systems. J. Kor. Soi. Hort. Sci. 40:4-8.
Syed Alwi, S.S., B.E. Cavell, U. Teland, M.E. Morris, B.M. Parry, and G. Packham. 2010. In vivo modulation of 4E binding protein 1 (4E-BP1) phosphorylation by watercress: a pilot study. British J. Nutrition 104:1288-1296. 10.1017/S000711451000221720546646PMC3694331
10.1017/S000711451000221720546646PMC3694331Takahashi, M . 2005. ζ Potential of microbubbles in aqueous solutions: electrical properties of the gas−water interface. J. Phys. Chem. B. 109:21858-21864. 10.1021/jp044527016853839
10.1021/jp044527016853839Takahashi, M . 2009. Base and technological application of micro-bubble and nanobubble. Materials Integration. 22:2-19 (in Japanese).
Takahashi, M., K. Chiba, and P. Li. 2007. Free-radical generation from collapsing microbubbles in the absence of a dynamic stimulus. J. Phys. Chem. B 111: 1343-1347. 10.1021/jp066925417253740
10.1021/jp066925417253740Yoon, J.H., M. Abe-Suzuki, P. Eko, H. Tamai, S. Hanamitsu, and K. Nakane. 2006. Negative effects of hydroxyl radicalgenerating mists (simulated dew water) on the photosynthesis and growth of Japanes apricot seedlings (Prunus mume). Ecol Res. 21:117-12510.1007/s11284-005-0112-3
10.1007/s11284-005-0112-3Zahradnikova, H., and K. Petřikova. 2013. Nematocid effects of watercress (Nasturtium officinale R. Br.). Acta Univ Agric Silvic Mendelianae Brun. 61:233-236. 10.11118/actaun201361010233
10.11118/actaun201361010233