서 론
재료 및 방법
1. 식물 재료 및 재배 조건
2. 줄기 밀도 처리
3. 작물생육, 형태형성 및 과실 조사
4. 보광 처리 및 온실의 광 환경
5. 실험 설계 및 통계분석
결과 및 고찰
1. 줄기 유인에 따른 기관 생육 및 형태형성
2. 수확 시기별 과실 생체중, 건물중, 품질 및 생산량
서 론
대표적인 시설과채류인 파프리카는 재배면적과 총 생산량이 지속적으로 확대되고 있으며 고부가가치 작물로서 각광받고 있다(KATI, 2019). 파프리카의 생산량은 광, 온도, 상대습도, CO2 농도와 같은 온실 내부의 환경요인에 영향을 받는다(Dorais, 2003; Marcelis 등, 2004). 특히 겨울철의 낮은 일조량은 파프리카의 광합성 동화산물을 제한하여 (Heuvelink와 Körner, 2001; Kim 등, 2011) 낙화율 및 낙과율을 증가시키고 수량을 감소시키는 요인이 된다(Marcelis 등, 2004; Jeong 등, 2009). 따라서 겨울철의 열악한 광 환경을 개선하고 식물의 생육 및 과실의 수량과 품질을 향상시키기 위해 인공광을 이용한 보광이 적극적으로 이용되고 있다(Runkle 등, 2012; Kim 등, 2013; Lee 등, 2014; Kwon 등, 2018; Park 등, 2018a, 2018b).
한편, 분지성을 갖는 파프리카의 재배 특성 상 줄기 유인 수를 조절함으로써 과실 수와 과실 크기 등을 조절하며 재배 공간의 효율적 운용이 가능하다. 국내에서는 파프리카를 “V” 자 형태로 2줄기로 유인하여 6.6-7.4줄기·m-2의 줄기밀도(Jeong 등, 2009)로 재배하는 것이 일반적이다. 3개 또는 4개의 줄기로 유인할 경우 총 마디 수와 함께 과실 수가 증가하여 높은 생산량을 보이나 동시에 과실 크기가 감소하였다는 결과가 보고된 바 있다(Cebula, 1995; Jovicich 등, 2004; Maboko와 du Plooy, 2011; Alsadon 등, 2013). 그러나, 줄기 밀도를 높게 유지할 경우, 생육 중기 이후 인접 작물에 의한 상호차광으로 인하여 군락 내부의 수광량이 감소하고 호흡량이 증가하여 전반적인 생육 부진으로 이어져 생산량에 불리하게 작용할 수 있다(Khah와 Passam, 1992; Kang 등, 2019).
관행의 줄기 밀도는 보광 처리가 고려되지 않은 것이기 때문에, 파프리카 재배에 있어 보광 처리 하에 줄기 유인 수를 증가시킬 경우 이에 적절한 줄기 밀도 및 전정 방식을 결정할 필요가 있다. 보광을 통하여 군락 내 작물의 광 환경을 개선함으로써 3줄기 유인과 같이 높은 줄기 밀도 재배 하에서도 효율적인 과실 생산이 가능한지 파악할 필요가 있다. 그러나, 현재 보광 시 줄기 유인 밀도가 작물의 생육, 과실 품질 및 생산량에 미치는 영향에 관한 연구는 미흡한 실정이다. 따라서 본 연구의 목적은 겨울철 광 환경에서 고압나트륨등을 이용한 보광 하에서 줄기 유인 수가 파프리카의 생육, 과실 품질과 생산량에 미치는 영향을 구명하는 것이다.
재료 및 방법
1. 식물 재료 및 재배 조건
본 연구는 2020년 10월 26일부터 2021년 5월 25일까지 경상남도 함안에 위치한 국립원예특작과학원 시설원예연구소(35.2°N, 128.4°E)의 벤로형 유리온실(폭 8.4m, 길이 20m, 높이 5.5m)에서 수행되었다(Fig. 1A). 육묘실에서 4주간 재배한 파프리카(Capsicum annuum L., cv. Scirocco)를 전기전도도(electrical conductivity, EC) 2.6dS·m-1의 표준 양액으로 포습된 암면 배지(SV75151/9, Hankuk URmedia, Seoul, Kor)에 4개체씩 정식하였으며, 온실 내 재식밀도는 3.2주·m-2였다. 온실 내부 온도는 주간 26°C, 야간 18°C로 유지해 주었으며, 천, 측창 개폐 및 온수관을 이용한 난방으로 내부 온도를 제어하였다. 작기 중 온실 내부의 일평균온도는 20.9°C, 상대습도는 40% 였다(Fig. 2). 관수는 08시부터 15시 30분까지 90분 간격으로 하루 5회(1회 250mL) 급액하였으며, 정식부터 착과기에는 EC 1.8dS·m-1, 1그룹 착과 이후에는 EC 1.8dS·m-1에서 2.5dS·m-1까지 공급 양액을 점진적으로 증가시켜 점적으로 공급하였다. 재배 기간 동안 유인, 적심, 병해충 방제 등의 관리작업을 주기적으로 실시하였다.

Fig. 1.
Experimental set-up for stem number and light treatment in the greenhouse: Representative image of the experimental greenhouse (A), spectral distributions of the high pressure sodium (HPS) lamp (B), and location of the 2 and 3 stem treatments (C).

Fig. 2.
Greenhouse environments during experimental period. Change in daily light integral (A), air temperature and relative humidity (B) in the greenhouse from 50 to 130 days after transplanting (DAT).
2. 줄기 밀도 처리
정식 후 분지된 줄기를 식물체당 2줄기, 3줄기 방식으로 유인하였다(Fig. 1C). 유인 처리에 따른 줄기 밀도는 2, 3줄기 처리구에서 각각 6.4, 9.6줄기·m-2 였다. 2줄기 유인 처리구는 관행 방식에 따라 2개의 줄기가 “V”자 형태의 수관을 나타내도록 전정하였으며(Jovicich 등, 2004), 3줄기 처리구의 경우 분지된 줄기가 3개일 경우 3개의 줄기를 그대로 유인하였고, 2개일 경우 분지의 바로 다음 마디에서 분지된 줄기를 또 다른 주지로 하여 3줄기 형태로 유인하여 개체당 주지의 개수를 일정하게 유지하였다. 각 주지별로 정식 후 영양생장을 유지하기 위해 분지 위로 2번째 마디까지 화방을 적심했으며, 분지 위 3번째 마디부터 화실을 유지하였다.
3. 작물생육, 형태형성 및 과실 조사
작기가 끝나는 정식 후 212일(212 DAT, days after transplanting)에 처리구 당 8개체 씩 파괴조사를 실시하였다. 조사 항목은 엽수, 엽면적, 초장의 비파괴조사 항목과 잎, 줄기, 과실의 생체중과 건물중의 파괴조사 항목으로 나누어 측정하였다. 과실 수확은 80% 이상 착색된 과실을 매 3일마다 수확하였고, 과실 생체중은 수확 직후 측정하였다. 자연순환식 건조기(HB503LF, Hanbaek Sci., Bucheon, Kor)를 통해 80°C에서 과실 건물중은 120시간 동안, 엽 및 줄기 건물중은 72시간 동안 건조 후 측정하였다. 수확한 과실은 상품과와 비상품과로 분류하였는데, 무게 100g 미만의 과실, 배꼽썩음과, 병과, 열과 및 기형과를 비상품과로 구분하여 분류하였다. 과실의 당도는 수확한 과실의 과피를 갈아 즙을 낸 후 휴대용 당도계(PAL-1, ATAGO, Tokyo, Japan)를 통해 측정하였다.
4. 보광 처리 및 온실의 광 환경
재배 기간 동안 온실 외부 평균 일적산광량은 13.7mol·m-2·d-1였으며, 보광은 고압나트륨등(1000W DE 347-400V, Dutch Lighting Innovations, Aalsmeer, The Netherlands; Fig. 1B)을 이용하여 6시부터 22시까지 16시간의 광주기로 2020년 12월 1일부터 실험 종료일까지 처리하였다. 광주기 및 일적산광량은 시설 과채류 보광에 관한 연구(Dorais, 2003)를 참고하여 적용하였다. 주간에는 온실 상부에 설치된 광 센서를 통해 일사량이 100W·m-2 이상일 때는 자동으로 소등되도록 일사감응 방식으로 제어하였으며, 제어 시 일적산광량은 최소 12mol·m-2·d-1 이상으로 유지되었다. 보광등에서 조사된 광합성유효광양자속밀도(photosynthetic photon flux density, PPFD)는 온실 바닥에서부터 1.0m 높이에서는 55.4µmol· m-2·s-1, 2.0m 높이에서는 179.4µmol·m-2·s-1이었으며, 보광 처리 하에서 일사량과 보광량을 합한 일적산광량은 2.0m 높이 기준 측정 시 가장 높은 날과 낮은 날 각각 29.2와 11.7 mol·m-2·d-1으로 유지되었다.
5. 실험 설계 및 통계분석
총 270주의 파프리카 육묘를 4구 배지 위에 정식하였으며 완전임의 배치법으로 실험하였다. 통계 분석에는 R package (R 3.6.2, R Foundation, Vienna, Austria)를 이용하였으며, 생육 및 과실 조사 결과의 경우, 최대값과 최소값을 갖는 개체를 제외한 후 Student’s t-test를 실시하였다. 도표 작성에는 Python (Python 3.9.5, Python Software Foundation, Wilmington, USA)을 사용하였다.
결과 및 고찰
1. 줄기 유인에 따른 기관 생육 및 형태형성
작물의 생육 및 형태형성 지표는 줄기 유인 밀도에 따라 차이를 보였다. 초장은 3줄기 유인 처리구가 2줄기 유인 처리구에 비해 15.8% 짧았고, 마디 수는 3줄기 유인이 2줄기 유인에 비해 5% 많았다(Table 1). 3줄기 유인 처리구에서 마디 수와 엽 수가 더 많았음에도 2줄기 유인 처리구에 비해 낮은 초장을 보였는데, 이는 같은 재식 주수에서 줄기 밀도가 증가할 수록 마디길이가 짧아지는 기존 결과(An 등, 2000; An 등, 2002; Alsadon 등, 2013)와 일치했다. 엽 수는 3줄기 유인 처리구에서 2줄기 유인 처리구에 비해 24% 증가했으나, 엽면적은 유의한 차이를 나타내지 않았다. 화방 수는 3줄기 유인 처리구에서 27% 높았으나 유의한 차이는 없었다. 줄기 유인 수의 증가는 절대적인 마디 수 증가와 함께 총 엽수 및 화방 수의 증가를 가져온다(Jovicich 등, 1999). 줄기 유인 방식에 따른 엽수의 증가가 엽면적의 유의미한 증가로 이어지지 않았다는 점에서, 3줄기 유인 처리구에서 상대적으로 개별 잎의 크기가 줄어들었음을 알 수 있다.
기관별 건물중은 통계적 유의성을 보이지 않았는데, 이는 2줄기와 4줄기 유인 방식으로 유인한 파프리카에서 처리구별 총 건물 생산량에서 큰 차이가 없었던 선행 결과(Jovicich 등, 1999)와 유사하였다. 따라서 줄기 밀도의 증가가 파프리카의 형태형성에는 영향을 미쳤으나, 영양생장 기관의 발달을 저해하지 않음으로써 전체 건물중의 총량에는 큰 영향을 미치지 않았음을 알 수 있었다.
Table 1.
The plant height, the number of nodes, the number of leaves, and the leaf area of 2 and 3 stem-sweet peppers grown under supplemental lighting with high pressure sodium lamps.
|
Treatment
|
Plant height
(cm / plant)
|
No. of nodes
per stem
|
No. of leaves
per plant
|
Leaf area
(m2 / plant)
|
No. of flowering per plant
|
|
2 stems
|
194.2 ± 10.5
|
140.4 ± 4.8
|
126.1 ± 4.5
|
1.39 ± 0.11
|
4.6 ± 1.2
|
|
3 stems
|
167.6 ± 6.9
|
147.7 ± 3.7
|
156.8 ± 4.1
|
1.47 ± 0.06
|
5.9 ± 2.4
|
|
Significance
|
***
|
***
|
***
|
ns
|
ns
|
2. 수확 시기별 과실 생체중, 건물중, 품질 및 생산량
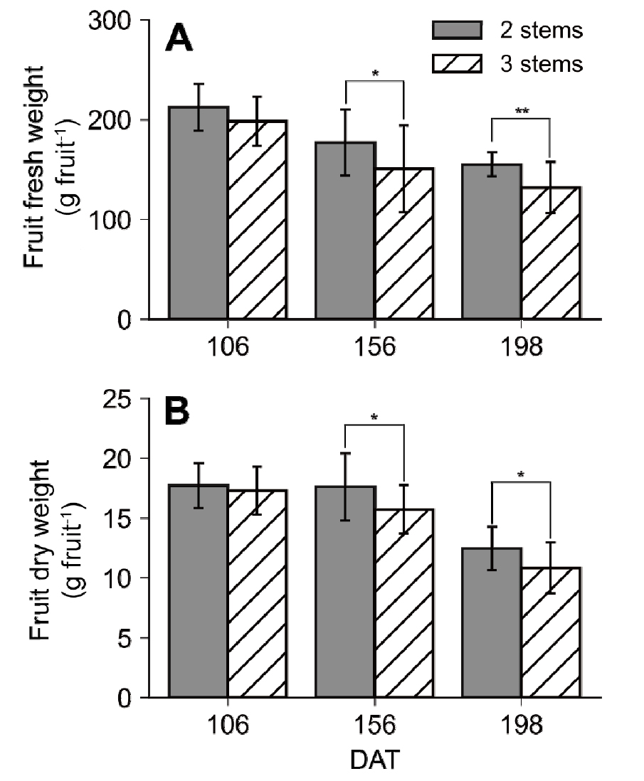
과실 생체중과 건물중을 측정한 결과, 생육 단계가 진전될수록 두 처리구에서 모두 평균 생체중과 건물중은 점차 감소하는 경향을 보였다(Fig. 3). 106 DAT에는 두 처리구 간에 유의한 차이가 없었다. 하지만 156 DAT에는 3줄기 유인 처리구에서 2줄기 유인 처리구에 비해 생체중이 17%, 건물중이 12% 감소했고. 198 DAT에는 생체중이 17%, 건물중이 15% 감소했다. 평균 과실중은 3줄기 유인 처리구가 2줄기 유인 처리구에 비해 13.2% 낮았다(Table 2).

Fig. 3.
The harvested fruit fresh weight (A), fruit dry weight (B) of fruits of 2 and 3 stem-sweet peppers grown under supplemental lighting with high pressure sodium (HPS) lamps for 106, 156 and 198 days after transplanting (DAT). The vertical bars indicate SD, n = 18. The asterisk indicates significant differences via Studentꞌs t-test, *p < 0.05; **p < 0. 01; ***p < 0. 001 ns, non-significant.
Table 2.
The fresh weight and dry weight of leaf, stem, and fruit of 2 and 3 stem-sweet peppers grown under supplemental lighting with high pressure sodium lamps.
|
Treatment
|
Dry weight (g)
|
|
Leaf
|
Stem
|
Fruit
|
Total
|
|
2 stems
|
126.7 ± 36.6
|
158.3 ± 27.3
|
102.4 ± 12.7z |
387.4 ± 71.5
|
|
3 stems
|
109.0 ± 13.0
|
142.0 ± 12.7
|
100.8 ± 15.3
|
351.9 ± 22.4
|
|
Significance
|
ns
|
ns
|
ns
|
ns
|
식물체에서 착과가 많이 이루어지면, 과실로의 동화산물 요구(sink strength)가 증가되고 광합성 효율이 높아질 수 있다(Lee와 Cha, 2009; Kim 등, 2013). 본 실험에서는 보광 처리에 의해 작물 수광량 및 광합성량이 증가하여 3줄기 유인의 많은 착과수에도 과실에 필요한 동화산물 요구도를 충분히 충족했을 것으로 보인다(Kim 등, 2013). 그러나, 겨울에서 봄으로 이어지는 작형에서, 생육의 진전과 함께 작물의 엽면적지수 또한 증가함에 따라 작물의 광이용효율이 점차 떨어지고 광합성 동화산물이 감소함에 따라 2줄기 및 3줄기 처리구의 과실 생체중 및 건물중이 서서히 감소하였을 것으로 생각된다.
한편, 줄기 유인 수의 증가는 2줄기 유인 작물에 비하여 3줄기 유인 작물의 평균 과실중을 감소시켰는데, 이는 줄기 유인 수의 제한이 과실중의 감소에 미치는 기존 연구 결과와 일치하였다(Cebula, 1995; An 등, 2007; Alsadon 등, 2013). 줄기 수가 증가할 경우 늘어난 마디, 잎 및 착과 수로 인해 상대적으로 영양생장 기관 및 과실로의 동화산물 요구도가 증가하고 과실과 영양기관 간의 경합이 발생하게 된다(Aloni 등, 1997; Marcelis 등, 2004; Jang 등, 2017). 이에 따라 줄기 유인 수가 많은 작물에서 소과의 비율이 많아지게 된다(Maboko와 du Plooy, 2008). 결과적으로 기존 연구에서 줄기 수가 많은 작물은 줄기 수가 적은 작물에 비해 소과 및 중과의 수량이 증가하고 평균 과실중이 감소하는 경향을 보였다(Maboko와 du Plooy, 2008; UM, 2008). 그러나 본 실험에서 3줄기 유인 처리구는 2줄기 유인 처리구에 비해 과폭 및 평균 과실중이 감소했음에도 불구하고 ‘시로코’ 품종의 평균적인 과실중인 160-180g 범위를 보였다(Kim 등, 2012). 과실 당도는 줄기 유인 처리구간에 유의미한 차이를 보이지 않았으며, 상품과율은 3줄기 유인 처리구에서 95.4%로 2줄기 유인 처리구의 93.6%에 비해 높았다(Table 3). 이는 4본 정지 유인 고추 작물이 2본 정지 유인 작물보다 주당 상품과수가 높았던 연구와 유사한 결과이다(An 등, 2000). 또한 중과종 단고추 품종에서 줄기 수를 적절히 증가시킬 경우 개체당 수광량이 증대되고, 꽃의 소질이 양호해지며, 착과율이 높아지는 경향성이 두드러진다는 연구와 비슷한 경향을 나타낸다(Guo 등, 1991).
Table 3.
The fruit quality relevant parameters including average fruit weight, fruit length, fruit width, marketable fruit ratio, and total soluble solid (TSS) of 2 and 3 stem-sweet peppers grown under supplemental lighting with high pressure sodium lamps.
|
Treatment
|
Average fruit weight (g)
|
Fruit length
(cm)
|
Fruit width
(cm)
|
Marketable
fruit ratio (%)
|
TSS
(°Brix)
|
|
2 stems
|
181.5 ± 33.7
|
82.3 ± 9.9
|
79.0 ± 2.4
|
93.6
|
8.35 ± 0.82
|
|
3 stems
|
160.3 ± 42.5
|
78.2 ± 10.6
|
78.8 ± 2.5
|
95.4
|
8.74 ± 1.08
|
|
Significance
|
ns
|
ns
|
*
|
ns
|
ns
|
누적 수확량은 3줄기 유인 처리구가 2줄기 유인 처리구에 비해 약 30.2% 높았다(Fig. 4). 이는 줄기 수의 증가가 최종 수확량에 긍정적인 영향을 준 선행 연구 결과(Jovicich 등, 1999; Dasgan 등, 2003; Maboko와 du Plooy, 2008)와 일치한다. 또한 줄기 밀도를 관행 6.7줄기·m-2보다 높여 7.2줄기·m-2로 개선하여 수량을 증가시킨 연구와도 유사한 경향을 나타냈다(Choi 등, 2012). 파프리카는 영양생장과 생식생장의 균형에 매우 민감한 과채류로서 생육 진전에 따른 착과 조절이 최종 생산량에 큰 영향을 미친다(Jang 등, 2016). 착과기에는 과실로의 동화산물 요구도가 증대되어 영양기관인 잎, 줄기, 뿌리로의 동화산물 분배량이 감소되고 영양생장 기관 발육이 저해된다(Lee와 Cha, 2009; Jeong 등, 2009; Kim 등, 2013). 3줄기 유인 작물이 2줄기 유인 작물에 비해 영양생장 기관 생육이 부진했으나 수확량이 증대된 것은 겨울철의 낮은 광량에도 HPS 상부 보광을 통해 적정 수준의 광합성 동화산물을 유지하고 높은 착과량을 이끌어내어 소과 및 중과 수량을 증가시켰기 때문으로 판단된다. 결론적으로 파프리카 작물의 3줄기 유인은 2줄기 유인과 비교하여 형태형성의 변화를 통해 수광을 개선시키고 작물의 영양생장 및 생식생장 균형을 유지함으로써 수량을 증가시켰다.

Fig. 4.
The accumulated fruit yield of 2 and 3 stem-sweet peppers grown under supplemental lighting with high pressure sodium (HPS) lamps with days after transplanting (DAT).
1립당 550-650원으로 고가에 속하는 파프리카 종자를 수입하여 재배하는 우리나라 농가 특성 상, 재식 주수를 줄이고 줄기 유인 수를 늘려 3줄기 유인 재배를 하였을 경우, 종자 투입비, 육묘비 감소에 따라 경영비 절감에 도움이 될 수 있다. 또한 상부 보광에 이용되는 HPS 광원은 에너지 효율이 높으며, 특히 발생되는 열로 온실 내 공기 온도를 증가시켜 난방비 절감이라는 부가적인 효과를 나타낸다. Brault 등(1989)은 HPS 광원을 이용하였을 경우, 온실 난방 부하의 25-41%를 광원으로부터 보충할 수 있는 것으로 보고한 바 있다. 이와 함께 온실의 광환경이 균일하게 유지되도록 외부 광 조건을 고려한 일사감응 제어를 사용한다면 효과적일 것이다. 본 실험 결과는 국내 파프리카 농가의 재배 방법 최적화를 위한 기초 자료로 활용될 수 있을 것으로 사료된다.
Acknowledgements
이 연구는 농림축산식품부 및 농림식품기술기획평가원(IPET)의 1세대스마트팜 산업화 기술개발사업의 지원으로 수행되었음(320081-1).
References
Aloni B., L. Karni, Z. Zaidman, and A.A. Schaffer 1997, The relationship between sucrose supply, sucrose-cleaving enzymes and flower abortion in pepper. Ann Bot 79:601-605. doi:10.1006/anbo.1996.0410
10.1006/anbo.1996.0410Alsadon A., M. Wahb-Allah, H. Abdel-Razzak, and A. Ibrahim 2013, Effects of pruning systems on growth, fruit yield and quality traits of three greenhouse-grown bell pepper (
Capsicum annuum L.) cultivars. Aust J Crop Sci 7:1309-1316. doi:10.3316/informit.619772446005124
10.3316/informit.619772446005124An C.G., D.S. Kang, C.W. Rho, H.S. Kang, and B.R. Jeong 2002. Effect of training an extra shoot on growth and yield of sweet pepper (
Capsicum annuum ‘Jubilee’ and ‘Fiesta’). Kor J Hort Sci Technol 217-220 (in Korean).
An C.G., Y.B. Kim, and B.R. Jeong 2000, Effect of shoot training method on quality and yield of Sinsakigake-2 and Shishito peppers. Kor J Hort Sci Technol 18:503-507 (in Korean)
An C.G., Y.H. Hwang, Y.H. Chang, H.Y. Shin, G.W. Song, and B.R. Jeong 2007, Effects of fruiting number of lateral shoot on growth and yield of mini-paprika (
Capsicum annuum cv. ‘Hivita red’and ‘Hivita yellow’). Kor J Hort Sci Technol 126-126 (in Korean).
Brault D., C. Gueymard, R. Boily, and A. Gosselin 1989, Contribution of HPS lighting to the heating requirements of a greenhouse. Amer Soc Agr Eng 89:25-28.
Cebula S. 1995, Optimization of plant and shoot spacing in glasshouse production of sweet pepper. Acta Hortic 412: 321-329. doi:10.17660/ActaHortic.1995.412.37
10.17660/ActaHortic.1995.412.37Choi J.K., H.T. Seo, Y.J. Kim, K.J. Park, D.K. Hong, J.H. Won, and A.Y. Ahn 2012, Effect of plant stem density on growth and yield of sweet pepper in summer hydroponics. Kor J Hort Sci Technol 30:86-86.
Dasgan H.Y., and K. Abak 2003, Effects of plant density and number of shoots on yield and fruit characteristics of peppers grown in glasshouses. Turk J Agric For 27:29-35.
Dorais M. 2003, The use of supplemental lighting for vegetable crop production: Light intensity, crop response, nutrition, crop management, cultural practices. In Proceeding of the Canadian Greenhouse Conference, Octobor 9, 2003.
Guo F.C., Y. Fujime, and T. Kato 1991, Effects of the number of training shoots, raising period of seedlings and planting density on growth, fruiting and yield of sweet pepper. J Jpn Soc Hortic Sci 59:763-770.
10.2503/jjshs.59.763Heuvelink E., and O. Körner 2001, Parthenocarpic fruit growth reduces yield fluctuation and blossom-end rot in sweet pepper. Ann Bot 88:69-74. doi:10.1006/anbo.2001.1427
10.1006/anbo.2001.1427Jang D.C., K.Y. Choi, J.Y. Heo, and I.S. Kim 2016, Comparison of growth and fruit setting characteristics for selecting the optimum winter-planted paprika cultivars. Kor J Hort Sci Technol 34:424-432 (in Korean). doi:10.12972/kjhst.20160043
10.12972/kjhst.20160043Jang D.C., K.Y. Choi, J.Y. Heo, and I.S. Kim 2017, The effect of transplant age on growth and fruit yield in winter-planted paprika cultivation. Hortic Sci Technol 36:470-477. doi:10.12972/kjhst.20180047
10.12972/kjhst.20180047Jeong W.J., D.J. Myung, and J.H. Lee 2009, Comparison of climatic condition of sweet pepper’s greenhouse between korea and the Netherlands, J Bio-Env Con 18:244-252 (in Korean).
Jovicich E., D.J. Cantliffe, and G.J. Hochmuth 1999, Plant density and shoot pruning on yield and quality of a summer greenhouse sweet pepper crop in Northcentral Florida. Proceedings 28th National Agricultural Plastics Congress pp 184-190.
Jovicich E., D.J. Cantliffe, P.J. Stoffella 2004, Fruit yield and quality of greenhouse-grown bell-pepper as influenced by density, container and trellis system. HortTechnology 14:507-513. doi:10.21273/HORTTECH.14.4.0507
10.21273/HORTTECH.14.4.0507Kang W.H., I, Hwang, D.H. Jung, D.P. Kim, J. Kim, J.H. Kim, K.S. Park, and J.E. Son 2019, Time change in spatial distributions of light interception and photosynthetic rate of paprika estimated by ray-tracing simulation. J Bio-Env Con 28:279-285 (in Korean). doi:10.12791/KSBEC.2019.28.4.279
10.12791/KSBEC.2019.28.4.279Khah E.M. and H.C. Passam 1992, Flowering, fruit set and development of the fruit and seed of sweet pepper (
Capsicum annuum L.) cultivated under conditions of high ambient temperature. J Hortic Sci Biotechnol 67:251-258. doi:10.1080/00221589.1992.11516245
10.1080/00221589.1992.11516245Kim E.J., S.H. Lee, and J.H. Lee 2013, Effects of the high pressure sodium lamp lighting on the dynamics of growth and dry mass partitioning in sweet pepper plant. Kor J Hort Sci Technol 31:565-572 (in Korean). doi:10.7235/hort.2013.13037
10.7235/hort.2013.13037Kim H.C., Y.G. Ku, J.H. Lee, J.G. Kang, and J.H. Bae 2012, Comparison plant growth and fruit setting among sweet pepper cultivars of red line. J Bio-Env Con 21:247-251 (in Korean).
Kim Y.B., J.H. Bae, and M.H. Park 2011, Effects of supplemental lighting on growth and yield of sweet pepper (
Capsicum annuum L.) in hydroponic culture under low levels of natural light in winter. Kor J Hort Sci Technol 29:317-325 (in Korean).
Korea Agricultural Trade Information (KATI) 2019, The state of sweet pepper industry in Korea. Kor Agro-Fisheries Trade Corporation, Seoul, Korea. Available via https://www.kati.net/product/basisInfo.do;jsessionid=2peVO9yaYPasWtAScuCa1LnQKmXJtEZF9myu8TZabadY2tg8JvCbLHJ9geOyhjH5.kati-was_servlet_kati2017?lcdCode=MD147.
Kwon J.K., I.H. Yu, K.S. Park, J.H. Lee, J.H. Kim, J.S. Lee, and D.S. Lee 2018, Supplemental lighting by HPS and PLS lamps affects growth and yield of cucumber during low radiation period. J Bio-Env Con 27:400-406 (in Korean). doi:10.12791/KSBEC.2018.27.4.400
10.12791/KSBEC.2018.27.4.400Lee J.H., and J.C. Cha 2009, Effect of remove flowers on dry mass production and photosynthetic efficiency of sweet pepper cultivars ‘Derby’ and ‘Cupra’. Kor J Hort Sci Technol 27:587-590 (in Korean).
Lee J.W., H.C. Kim, P.H. Jeong, Y.G. Ku, and J.H. Bae 2014, Effects of supplemental lighting of high pressure sodium and lighting emitting plasma on growth and Productivity of paprika during low radiation period of winter season. Kor J Hort Sci Technol 32:346-352 (in Korean). doi:10.7235/hort.2014.14029
10.7235/hort.2014.14029Maboko M.M., and C. P. du Plooy 2008, Effect of pruning on yield and quality of hydroponically grown cherry tomato (
Lycopersicon esculentum). Afr J Plant Soil 25:178-181.
10.1080/02571862.2008.10639914Maboko M.M., and C.P. du Plooy 2011, Effect of stem and fruit pruning on yield and quality hydroponically grown tomato. Afr Crop Sci Proc 9:27-29. doi:10.5897/AJAR11.1316
10.5897/AJAR11.1316Marcelis L.F.M., E. Heuvelink, L.R.B. Horfman-Eijer, J.D. Bakker, and L.B. Xue 2004, Flower and fruit abortion in sweet pepper in relation to source and sink strength. J Exp Bot 55:2261-2268. doi:10.1093/jxb/erh245
10.1093/jxb/erh245Park K.S., D.Y. Kwon, J.W. Lee, and J.E. Son 2018a, Comparing photosynthesis, growth, and yield of paprika (
Capsicum annuum L. ‘Cupra’) under supplemental sulfur plasma and high-pressure sodium lamps in growth chambers and greenhouses. J Bio-Env Con 27:332-340. doi:10.12791/KSBEC.2018.27.4.332
10.12791/KSBEC.2018.27.4.332Park K.S., S.K. Kim, S.G. Lee, H.J. Lee, and J.K. Kwon 2018b, Application of plasma lighting for growth and flowering of tomato plants. Hortic Environ Biotechnol 59:827-833. doi:10.1007/s13580-018-0052-9
10.1007/s13580-018-0052-9Runkle E.S., S.R. Padhye, W. Oh, and K. Getter 2012, Replacing incandescent lamps with compact fluorescent lamps may delay flowering. Sci Hortic 143:56-61. doi:10.1016/j.scienta.2012.05.028
10.1016/j.scienta.2012.05.028UM Z. 2008, Investigation on production techniques in capsicum under protected cultivation. MS Dissertation, Dharwad Univ., pp 1-110.