서 론
수경재배를 위한 원수에 적당한 농도의 중탄산(HCO3-) 이 존재하면 중탄산이 토양용액의 H+와 결합을 하므로 (H+ + HCO3- ⇒ H2O + CO2), 관개수의 완충력을 높임 으로써 H+에 의한 pH의 급격한 변화를 막는 큰 장점을 갖는다. 관개수의 적절한 중탄산 농도는 60-80mg·L-1로 알려져 있지만 농도가 과도하게 높은 관개수로 수경재배 를 할 경우, pH가 상승하여 식물체에 각종 미량원소 결 핍증상의 발생 및 생장이 억제되는 원인이 된다(Styer와 Koranski, 1996).
수경재배용 상토의 중탄산 농도가 높아지는 원인은 상 토의 통기성 불량으로 토양용액의 이산화탄소 농도가 증 가하거나 중탄산 농도가 높은 해수가 유입된 지하수를 작 물 재배에 이용하는 경우 등이다. 토양용액의 이산화탄소 농도는 뿌리에서 호흡작용이(포도당 + O2 ⇒ CO2 + H2O + energy) 발생하기 때문에 높아진다. 식물의 싹이 트거나 꽃이 필 때와 같이 생장이 활발할 때는 뿌리의 호흡률이 급격히 상승한다. 또한 온도가 상승할 때에도 호흡률이 증 가하는데 0-30°C의 대기온도 범위에서는 온도가 높을수록 일반적으로 호흡률이 증가하며, 40-50°C에서 정체되고, 50°C 이상의 높은 온도에서는 호흡 기구의 불활성화로 인 해 호흡률이 감소한다(Atkin과 Tjoelker, 2003). 열대와 한 대 지역보다 온대 지역에서 또한 겨울철보다 여름철에 지 하수의 중탄산 농도가 높은 이유도 이 때문이다.
해수에 용존하는 이온 중 가장 고농도로 존재하는 물 질은 Na+이고, K+, Mg2+ 그리고 Ca2+의 순으로 농도가 낮아진다. Ca은 탄산칼슘(CaCO3)의 형태로 해수에 존재 하는데, 순수 해수에서의 탄산칼슘은 CaCO3 ⇔ Ca2+ + CO32-의 반응으로 용해되고(Lucena, 2000), 생성된 탄산 (CO32-)은 다시 물 및 이산화탄소와 결합하여 중탄산 (HCO3-)으로 변한다(CO32- + H2O + CO2 ⇔ 2HCO3-). 이와 같은 반응으로 해수에 중탄산이 고농도로 존재하고 해수가 인접한 지하수로 흘러 들어감으로써 해안가에 인 접한 지역에서 지하수의 중탄산 농도가 높아지고, 지하 수를 이용한 딸기 수경재배에서 중탄산에 의한 피해가 보고되었다(Lee, 2015).
토양입자를 피막형태로 둘러싼 토양수에 존재하는 H+ 는 중탄산과 반응하여 그 양이 감소한다. 이 반응을 통 해 토양수의 중탄산 농도가 낮아지면 토양수의 H+와 토 양의 양이온치환 부위에 흡착된 H+가 평형을 이루기 위 해 양이온치환 부위에 흡착되어 있던 H+가 탈착되어 토 양수로 밀려나온 후 중탄산과 반응한다(Raviv와 Lieth, 2008; Kim 등, 2013). 따라서 관개수에 중탄산이 고농도 로 존재할 경우 상토의 pH 상승을 억제시키기 위해서는 양이온치환 부위에 흡착된 H+의 양이 많은 강산성 혼합 상토를 사용하는 것이 바람직하다.
상토의 구성재료로써 강산성을 띠는 물질은 피트모스와 수피 등이며(Bailey, 1996), 이들 물질이 포함된 혼합상토 는 작물재배 시 Ca2+나 Mg2+ 결핍이 발생하므로 혼합상토 조제과정에서 고토석회를 혼합하여 상토 pH를 5.6-6.2의 범위로 조절하는 것이 일반적이다(Nelson, 2003). 그러나 재배기간에 따라 다르지만 pH를 상승시키기 위해 혼합되 는 고토석회의 양을 조절하여 상토의 pH를 적절한 수준 보다 낮게 조절한다면 고농도 중탄산 피해를 경감시키는 데 유리하게 작용할 수 있다(Park과 Choi, 2014).
위와 같은 내용을 배경으로 산성 혼합상토를 조제하고, pH 조절을 위해 기비로 혼합되는 고토석회의 시비수준 을 변화시킨 후 ‘싼타’ 딸기를 재배하면서 중탄산 피해 경 감에 미치는 영향을 구명하고자 본 연구를 수행하였다.
재료 및 방법
실험을 위해 강산성 물질인 피트모스(Shinsung Mineral, Jincheon, Korea)와 소나무 수피(Keumjeongwon, Yeongi, Korea)를 5:5(v/v)로 혼합한 상토를 조제하였고, 고토석 회를 혼합하기 전 화학적 특성을 분석한 결과 EC 0.46dS·m-1, pH 4.07, CEC 91.3cmol+·kg-1였다. 조제된 상토의 pH 조절을 위한 고토석회[CaMg(CO3)2] 혼합량 을 0(무처리), 1, 2, 3 및 4g·L-1로 수준을 다르게 조절하 였고, 고토석회 이외의 필수원소를 공급하기 위한 비료 의 종류 및 양은 Lee 등(2014)이 보고한 바와 같이 다량 원소(mM: 12 NO3--N, 3 NH4+-N, 1 PO4--P, 6 K+, 5 Ca2+, 2 Mg2+ 및 2 SO42--S)와 미량원소(μM: 20 B, 0.5 Cu, 20 Fe, 10 Mn, 0.5 Mo 및 4 Zn)로 동일하였다. 비 료를 포함한 상토는 충남대학교에 위치한 유리온실 내에 설치된 딸기재배용 고설베드에 충전하고, 본엽 3매의 ‘싼 타’ 딸기(Fragaria × ananassa Duch.)를 정식하였다.
정식한 유묘는 2주간 비료를 포함하지 않은 지하수만 관수하였으며, 지하수는 EC 0.23dS·m-1, pH 6.7, HCO3- 90mg·L-1, 그리고 주요 무기원소 농도(mg·L-1)는 K 0.5, Ca 22.8, Mg 2.2, Na 11.8, NO3-N 10.2, SO4 12.6였다. 2주간 관수 후 3매의 신엽을 남긴 채 하위엽을 제거하고, 중탄산 농도를 240mg·L-1로 조절한 Hoagland 용액(Raviv와 Lieth, 2008)을 조제하여 점적호스로 공급하였다. 기상환경 조건에 따라 타이머로 급액 횟수와 급액량을 조절하였으며 배양액 을 관주처리할 때 배수율(leaching percentage)을 20-30%로 유지하였다. 연구기간 중 평균 주/야간 온도는 26°C/16°C였 고, 상대습도는 30-70%, 오후 2시를 기준으로 한 광도는 330-370μmol·m-2·s-1, 평균일장은 약 15h·day였다.
모주의 지상부 생육조사를 위한 항목 및 조사 방법은 Lee 등(2014)과 Lee 등(2016)의 방법에 준하여 초장, 초 폭, 엽장, 엽폭, 엽수, 엽록소 함량, 관부직경, 지상부 생 체중 및 건물중 이었다. 관부직경은 지제부 상단 1cm를 측정하였고, 지상부 생체중을 측정한 후 건조기에서 80°C, 48시간 말린 후 건물중을 측정하였다. 엽록소 함 량은 완전히 전개된 3번째 신엽을 기준으로 엽록소 측 정계(Model SPAD-502, Minolta, Japan)를 사용하여 측 정하였다. 자묘의 생장은 모주에서 발생한 런너의 길이, 런너의 개수, 모주 당 발생한 총 자묘수, 그리고 첫번째 자묘의 생체중과 건물중을 측정하여 처리구간 차이를 비 교하였다.
상토의 화학성 분석을 위해 매 2주 간격으로 양액처리 2시간 후 상토 표면을 제거하고 식물체 근부 주변의 3 곳을 채취, 혼합하여 포화추출법(Warncke, 1986)으로 추 출하였다. 이 용액의 pH와 EC를 측정(WM-22EP, DKK-TOA, Japan)하고, 이온 크로마토그래피(883 Basic IC Plus Metrohm, Switzerland)를 사용한 무기이온 농도 를 분석하였다. 추출한 용액의 중탄산 농도는 0.01N 황 산으로 pH가 4.5에 도달할 때까지 적정하였고, 이때 소 요된 황산 용액에 중탄산 상수인 6.1을 곱하여 농도 (mg·L-1)를 구하였다(Styer and Koranski, 1997).
식물체의 무기원소 함량분석은 정식 140일 후에 수확 한 지상부 전체를 대상으로 하였다. 분석시료는 수확한 식물체를 세척하고 건조한 후 분쇄하여 사용하였다. 전질 소(T-N) 함량은 분쇄된 시료 0.5g을 정량하여 Kjeldahl 방 법(Eastin, 1978)으로 분석하였다. Ca, Mg, Fe, Mn, Zn 및 Cu 함량을 분석하기 위해 500°C의 회화로에 시료를 정량한 후 건식회화시키고, 0.01N HCl로 회화된 시료를 포집하였다. 이들 원소는 원자흡광분석계(AA-7000, Shimadzu, Japan)로 분석하였고, P는 포집된 시료를 이 용하여 Carter (1993)의 방법을 따라 분광광도계(UV MINI-1240, Shimadzu, Japan)를 사용하여 470nm에서 비색정량하였다.
식물 생육 조사 및 무기물 함량의 분석결과는 Duncan 의 다중검정으로 처리구간 차이를 비교하였다. 통계분석 은 CoStat 프로그램 Ver. 6.3(CoHort Software, CA, USA)으로 수행하였다.
결과 및 고찰
피트모스와 수피를 5:5(v/v)로 혼합하여 조제한 산성 혼합상토에 기비로 첨가한 고토석회의 수준 변화가 ‘싼 타’ 딸기의 모주 생육에 미치는 영향을 Table 1에 나타 내었다. 생체중과 건물중을 포함한 모주의 생육은 1, 2 및 3g·L-1 처리구가 우수하였고, 0(무처리) 및 4g·L-1 처 리구에서 저조하였다. 고토석회 2g·L-1 처리구에서 생체 중과 건물중은 각각 102.1g 및 23.2g으로 가장 무거웠지 만, 1 및 3g·L-1 시비구와 통계적인 차이가 인정되지 않 았으며, 4g·L-1 처리구는 각각 72.3g 및 15.1g으로 가장 가벼웠다.
Table 1.
Influence of the various incorporation rates of dolomitic lime into peat moss + pine bark (5:5, v/v) medium as pre-planting nutrient charge fertilizer on the growth of mother plants 140 days after treatment in vegetative propagation of ‘Ssanta’ strawberry
| Dolomitic lime (g·L-1) | Plant height (cm) | Plant width (cm) | No. of leaves | Petiole length (cm) | Crown dimeter (cm) | Chlorophyll content (SPAD) | Fresh weight (g/plant) | Dry weight (g/plant) |
|---|---|---|---|---|---|---|---|---|
| 0 (Untreated) | 29.9 cz | 16.5 b | 16.2 b | 21.4 bc | 5.4 ab | 38.3 bc | 75.7 b | 15.1 b |
| 1 | 36.5 ab | 31.0 a | 21.5 a | 24.5 ab | 5.5 ab | 45.0 a | 94.7 ab | 20.2 ab |
| 2 | 40.1 a | 27.1 a | 22.7 a | 27.3 a | 5.8 a | 45.9 a | 102.1 a | 23.2 a |
| 3 | 31.9 bc | 24.2 ab | 21.2 a | 23.2 ab | 6.2 a | 41.9 ab | 91.2 ab | 19.7 ab |
| 4 | 28.0 c | 15.7 b | 13.5 b | 18.1 c | 4.5 b | 36.8 c | 72.3 b | 15.1 b |
모주 재배용 상토의 고토석회 시비량 변화가 자묘의 발생 및 생장에 미치는 영향을 조사하여 Table 2에 나타 내었다. 고토석회 2g·L-1 처리구에서 런너가 가장 길었고, 0과 4g·L-1 처리구에서 짧았다. 모주당 발생한 런너수와 총 자묘수도 1, 2 및 3g·L-1 처리구에서 많았고, 0과 4g·L-1 처리구에서 유의하게 적었다. 1차 자묘의 생체중 과 건물중도 2g·L-1 처리구에서 무거웠고 0 및 4g·L-1 처 리구에서 가벼웠다.
Table 2.
Influence of the various incorporation rates of dolomitic lime into peat moss + pine bark (5:5, v/v) medium as pre-planting nutrient charge fertilizer on the growth and occurrence of daughter plants 140 days after treatment in vegetative propagation of ‘Ssanta’ strawberry.
| Dolomitic lime (g·L-1) | Runner length (cm/plant) | No. of runners (each/plant) | No. of daughter plants (each/plant) | Fresh weight of 1st daughter plant (g/plant) | Dry weight of 1st daughter plant (g/plant) |
|---|---|---|---|---|---|
| 0 (Untreated) | 180.8 cz | 2.3 b | 5.8 c | 22.0 c | 5.6 bc |
| 1 | 320.0 b | 3.0 ab | 9.8 ab | 31.9 b | 7.5 a |
| 2 | 417.8 a | 3.8 a | 11.8 a | 44.7 a | 8.6 a |
| 3 | 315.8 b | 3.3 ab | 8.8 b | 32.1 b | 6.9 ab |
| 4 | 182.3 c | 2.3 b | 5.0 c | 18.6 c | 4.8 c |
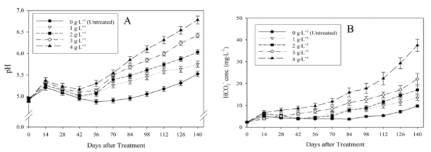
혼합상토에 기비로 혼합되는 고토석회[CaMg(CO3)2]나 탄산석회(CaCO3)는 토양수에 용해된 후 발생한 탄산 (CO32-)이 pH를 상승시키고, 이온으로 변한 Ca2+이나 Mg2+은 비료로서의 역할을 한다. 실험 시작 전 관개수에 존재하는 중탄산이 상토의 pH를 높이므로 Ca과 Mg을 공급하기 위한 최소한의 고토석회를 혼합하여도 작물 생 육에 큰 문제가 없을 것으로 예상하고 본 실험을 시작 하였었다. 즉, pH가 낮은 혼합상토로 인해 잠산성과 활 산성의 양이 높게 유지되고, 배양액에 중탄산 농도가 높 아도 pH가 과도하게 상승하지 않을 것이라고 예상한 바 있다. 예상했던 바와 같이 본 연구의 0g·L-1 처리구는 고 토석회가 혼합되지 않아 pH가 생육에 적절한 범위까지 상승하지 못하였을 뿐만 아니라 Ca와 Mg도 공급되지 않아 생육이 저조하였다. 그러나 4g·L-1 처리구는 고토석 회 처리 70일째부터 중탄산 농도가 급격하게 상승하면 서 pH가 높아졌고, 높은 pH가 생육을 감소시킨 주된 원 인이 되었다고 생각한다(Fig. 1).

Fig. 1
Changes in pHs (A) and bicarbonate concentrations (B) of root medium as influenced by the various incorporation rates of dolomitic lime into peat moss + pine bark (5:5, v/v) medium as pre-planting nutrient charge fertilizer during the vegetative propagation of ‘Ssanta’ strawberry. Vertical bars represent standard error of the mean of 5 replications.
모주의 지상부 생장과 식물체에 나타난 생리장해 증상 은 Fig. 2와 같다. 고토석회 2g·L-1 처리구의 생장이 우 수하였고, 0g·L-1 처리구에서는 Choi와 Lee(2013)와 Lee 등(2014)이 보고한 Ca 및 Mg 결핍증상이 발생하였다. 그들은 새롭게 발생하는 잎이나 런너 끝부분이 갈변하면 서 괴사하는 현상이 전형적인 Ca 결핍증상이고, 하위엽 의 엽맥 사이가 반점 형태로 황화되는 형상을 Mg 결핍 증상이라고 보고한 바 있으며, 본 연구에서 발생한 생리 장해가 Ca 및 Mg 결핍증상이라고 판단하였다. 0g·L-1 처리구는 고토석회를 시비하지 않았을 뿐만 아니라 생육 기간의 낮은 pH가 Ca과 Mg 흡수량이 감소하고 결핍증 상이 발현된 원인이 되었다고 생각한다(Lidsay, 2001; Nelson, 2003).
자묘의 생장과 발현된 생리장해 증상은 Fig. 3과 같다. 고토석회 0 및 4g·L-1 처리구에서 생리장해 증상이 나타 났으나, 1, 2 및 3g·L-1 처리구에서는 비교적 우수한 생 육을 보였다. 고토석회 4g·L-1 처리구에서 나타난 증상은 상토의 높은 pH로 인해(Fig. 1) Fe, Mn, Zn, Cu 및 B 의 불용화가 촉진되고, 이들 원소의 흡수량 감소가 원인 이라고 판단하였다. Lindsay(2001)와 Nelson(2003)은 상 토의 pH가 높을 때 미량원소의 불용화를 보고한 바 있 으며, Marschner(2012)는 상기한 미량원소의 식물체 내 이동성이 낮아 신엽 부위에서 결핍증상이 나타난다고 본 연구의 결핍증상 발현과 유사한 보고를 한 바 있다. 아 울러 Choi와 Lee(2012)이 보고한 미량원소 결핍증상의 특징을 고려할 때 본 연구의 식물체에 발생하는 증상이 미량원소 결핍에 의한 것임을 확신할 수 있었다.
고토석회 시비수준을 변화시킨 피트모스와 수피 5:5(v/ v) 혼합상토에서 상토의 중탄산 농도와 pH 변화는 Fig. 1과 같다. 상토의 중탄산 농도는 모든 처리구에서 상승 하는 경향을 보였으며, 특히 4g·L-1 처리구가 가장 높았 다. 고토석회 시비량이 증가하여도 처리 후 42일까지는 상토 pH의 처리별 차이가 크지 않았다. 그러나 56일부 터 처리구간 뚜렷한 차이가 발생하였고, 처리 140일 후 0g·L-1 처리구는 pH가 약 5.5로 낮았지만 4g·L-1 처리구 는 약 6.8까지 상승하였다. Nelson(2003)이 보고한 바와 같이 혼합상토를 이용한 작물 재배에서 적절한 pH 범위 를 5.6-6.2로 간주한다면 2 또는 3g·L-1 처리구가 적절한 pH 범위에 포함되었으며, 이들 처리구의 모주 및 자묘의 생육이 우수한 원인이 되었다고 생각한다(Table 1과 2).
상토의 pH는 토양용액의 H+ 이온 활성(activity)을 나 타내며 양이온치환 부위에 흡착된 잠산성과 토양수에 이온 상태로 존재하는 활산성으로 구분할 수 있고, 잠 산성의 양이 활산성의 양 보다 월등히 많다(Kim 등, 2013). 토양수의 H+가 중탄산과 반응하여(H+ + HCO3- ⇒ H2O + CO2) 그 양이 감소하면 점차 양이온치환 부 위의 잠산성이 탈착된 후 중탄산과 반응한다. 이 과정 에서 pH가 상승하면서 H+가 흡착되어 있던 양이온치환 부위는 K+, Ca2+ 및 Mg2+ 등 알칼리성 이온이 점유하 여 염기포화도가 상승한다(Raviv와 Lieth, 2008; Kim 등, 2013). 본 연구에서 고토석회 0g·L-1 처리구는 산성 혼합상토에 존재하는 많은 잠산성이 고농도 중탄산을 중화시켜 과도한 pH 상승을 억제하였으나, 4g·L-1 처리 구는 고토석회에서 용해된 많은 탄산과 고농도 중탄산 이 혼합상토에 존재하는 잠산성의 양을 초과함으로써 근권부의 pH를 상승시킨 원인이 되었다고 생각한다.
‘싼타’ 딸기 모주를 재배하면서 고토석회 시비수준에 영향을 받은 상토의 무기원소 농도는 Fig. 4와 같다. 근 권부의 K+ 농도는 모든 처리구에서 완만하게 상승하였 으며, 고토석회 시비량이 증가할수록 높아지는 경향을 보였다. 이는 혼합상토의 양이온교환 부위에 흡착되어 있던 K+이 고토석회로부터 용해된 Ca2+에 의해 치환되 었고(Bunt, 1988), 식물체에 의한 흡수과정에서 양이온 간 길항작용(Marschner, 2012)이 발생하였다고 판단하였 다. 즉, 고토석회에서 용해된 Ca2+ 및 Mg2+의 농도가 증 가하므로써 K+의 흡수량이 감소해 근권부의 K 농도가 높아진 원인이 되었다고 판단한다. 고토석회 시비량이 증가할수록 Ca2+ 및 Mg2+ 농도가 증가하였는데, 이는 고토석회에서 용해된 Ca2+ 및 Mg2+ 이온의 양이 증가했 기 때문이라고 판단하나 음이온인 PO4 3-와 SO4 2-의 농도 는 일정한 경향을 보이지 않았다.

Fig. 4
Changes in the macro-element concentrations of root medium as influenced by the various incorporation rates of dolomitic lime into peat moss + pine bark (5:5, v/v) medium as pre-planting nutrient charge fertilizer during the vegetative propagation of ‘Ssanta’ strawberry (A:NO3-1, B: Ca2+, C: SO4 2-, D: K+, E: PO4 3-, F: Mg2+).
고토석회 시비수준에 영향을 받은 ‘싼타’ 딸기 모주의 식물체 무기원소 함량은 Table 3에 나타내었다. ‘싼타’ 딸기 모주의 T-N, P, K, Ca 및 Mg 함량은 고토석회 1 및 2g·L-1 처리구에서 많았는데, 두 처리구의 pH가 5.0- 6.0의 범위로 유지된 것이(Fig. 1) 이들 원소의 흡수량 증가와 모주 및 자묘의 생육이 우수한 원인이 되었다고 판단한다. 또한 Mo를 제외한 미량원소의 경우 유효도가 높은 적정 pH 범위는 5.5-6.2이며, 상토의 pH가 상승하 면 불용화에 따른 식물체 흡수량이 감소한다(Lindsay, 2001; Nelson, 2003). 본 연구의 고토석회 4g·L-1 처리구 에서 미량원소인 Fe, Mn, Zn 및 Cu의 식물체 내 함량 이 가장 적었는데, 이 처리구의 pH가 가장 높았던 것이 원인이라고 생각한다.
Table 3.
Influence of the various incorporation rates of dolomitic lime into peat moss + pine bark (5:5, v/v) medium as pre-planting nutrient charge fertilizer on the tissue nutrient contents of ‘Ssanta’ strawberry based on the dry weight of whole above ground plant tissue 140 days after treatment.
| Dolomitic lime (g·L-1) | T-N | P | K | Ca | Mg | Fe | Mn | Zn | Cu |
|---|---|---|---|---|---|---|---|---|---|
| ---------------------------- (%) ---------------------------- | ----------------------- (mg·L-1)----------------------- | ||||||||
| 0 (Untreated) | 1.06 bz | 0.24 bc | 3.02 a | 1.00 cd | 0.29 bc | 146.8 cd | 94.9 cd | 29.6 bc | 5.12 cd |
| 1 | 1.61 a | 0.34 ab | 3.20 a | 1.97 ab | 0.49 a | 210.7 b | 133.7 b | 40.5 ab | 7.96 ab |
| 2 | 1.91 a | 0.39 a | 3.36 a | 2.11 a | 0.52 a | 260.7 a | 158.5 a | 44.0 a | 9.04 a |
| 3 | 1.69 a | 0.29 abc | 3.10 a | 1.47 bc | 0.37 b | 160.7 c | 109.1 c | 32.7 abc | 6.11 bc |
| 4 | 0.89 b | 0.19 c | 2.17 b | 0.71 d | 0.25 c | 122.3 d | 88.6 d | 21.7 c | 4.02 d |
이상의 결과를 요약하면 중탄산 농도가 높은 원수를 이용하여 ‘싼타’ 딸기를 수경재배할 때 피트모스+수피 (5:5, v/v)의 산성 혼합상토에 고토석회 1 및 2g·L-1을 기 비로 혼합하는 것이 모주 및 자묘의 생장, 식물체 무기 물 함량 그리고 상토의 화학성 변화에 유리하다고 판단 하였다.




