서 론
우리나라의 경제가 발전함에 따라 최근 채소 및 화훼 에 대한 소비가 증가하고 있는 추세이며, 이러한 작물들 을 재배하기 위한 전초 단계로 모종을 생산하는 육묘농 가의 시설면적은 1997년 20ha에서 2014년 195ha로 급 격하게 증가하고 있다(KREI, 2014). 또한 육묘장은 트레 이를 이용하여 균일묘의 생산이 가능하고 공간의 이용효 율을 높여 육묘 노동력을 절감할 수 있는 등의 장점이 있다(Ito, 1992; Jeong, 1998; Kim 등, 1999; Park 등, 2012). 시설원예용으로 사용되는 플라스틱 육묘트레이는 무게가 가볍고 수분침투에 따른 기계적 강도의 저하가 없으며 비용이 저렴한 장점 때문에 많이 사용되고 있으 나, 이식작업 시 트레이의 부서짐으로 인한 재이용률이 낮고 난분해성 재질로 인한 환경문제를 일으키고 있다 (Kim 등, 2010; Song 등, 2010). 또한 플라스틱 육묘 트 레이에서 육묘된 모종은 트레이와 묘 뿌리부의 상토가 유착되어 정식하는 과정에서 상토부가 파괴되어 뿌리부 손상으로 인한 뿌리활착 효율이 떨어지는 문제가 발생되 고 있다(Yeoung 등, 2002; Kang 등, 2012). 이러한 문제 를 해결하기 위한 방안으로 플라스틱 트레이를 대체할 수 있는 생분해성 육묘포트를 이용하는 방안에 대한 연 구가 수행된 바 있다(Lee 등, 2014; Song 등, 2010). 또 한 유럽 등 외국에서는 생분해성 종이를 이용하여 원통 형 종이포트를 이용한 육묘 기술이 화훼분야를 중심으로 적용되고 있다(Prasanna Kumar 등, 2011). 이러한 종이 포트를 이용한 육묘방법은 최근 모종 뽑기의 용이성과 작업 편이성이 좋고 어린 묘를 옮겨 심어도 근권부의 부서짐이 거의 없어 정식작업의 기계화를 위한 연구가 국내 연구기관을 중심으로 진행되고 있다(An 등, 2016; Seo 등, 2017). 현재 수입되는 외산 기계는 고사양, 고가 이고, 포트 직경 변경이 어려운 전용기 개념으로 수입되 어 품목이 전문화된 대규모 육묘 농가를 중심으로 도입 되고 있다. 하지만 과채류의 경우 32공, 40공, 50공, 72공 트레이를 대부분 이용하고 있고(An 등, 2017), 화훼류의 경우 맨드라미, 팬지 등 초화류는 72공, 128공, 168공, 200공(Nam 등, 2002; Nam 등, 2003) 등 다양한 트레이 를 이용하는 소규모 육묘농가 및 화훼농가의 경우 소량 의 다양한 종류의 배지가 필요하므로 이러한 전용기이며 고가의 장비를 이용하는 것은 어려운 실정이다.
따라서 본 연구는 소규모 과채류 육묘농가 및 화훼류 재배농가를 대상으로 하여 농가의 작업 편의성을 증대시 키고 생산비를 절감할 수 있는 소형의 원통형 종이포트 제조 장치를 개발하고, 최적 작동 조건 및 성능시험을 구명하기 위하여 수행하였다.
재료 및 방법
1. 원통형 종이포트 제조장치
모종의 육묘단계에서 뿌리활착 증진 및 이식단계에서 의 작업 용이성 증진을 위해 개발된 원통형 종이포트 제조장치는 Fig. 1과 같다. 개발된 원통형 종이포트 제 조장치는 상토를 파쇄하여 고르게 만들어 공급하는 상토 공급부, 종이를 연속으로 공급하는 종이공급부, 종이를 원통형으로 제조하는 포트제조부, 종이포트의 길이를 조 절하면서 설정된 값으로 일정하게 절단하는 종이포트 절 단부 및 이를 제어하는 제어부로 구성된다.
상토공급부(Fig. 2의 a)는 상토를 고르게 파쇄 하는 호 퍼와 상토를 포트제조부에 공급하는 상토 공급 파이프로 구성되어 있다. 상토 파쇄 호퍼는 모터(TE4040W, SMG, Korea)에 의해 회전하는 스크류를 이용하여 덩어리 형태 의 상토를 파쇄할 수 있도록 하였으며, 호퍼의 높이는 인 력에 의해 손쉬운 상토의 공급이 가능하도록 1.5m 로 제 작하였다. 포트제조부에 상토를 공급하는 방식은 상토 공 급 파이프에 진공압발생기(SRC19, Spatec Co., Korea)를 부착하여 일정량의 상토를 공급할 수 있도록 하였다. 상 토가 포트제조부로 공급될 때 상토가 파이프 내벽에 부 착되어 상토공급 불량이 발생할 수 있어 파이프 내부 청소용 실린더를 부착하였다. 내부청소용 실린더는 종이 포트 30개 제조 후 1회 작동제어 되도록 하였다.
종이 공급부(Fig. 2의 b)는 롤 형태의 종이가 수직 가 이드를 통해 상토 공급 파이프 외부를 감싸 원통형으로 만들어지도록 제작하였다. 공급되는 종이의 원통 성형은 한쪽 끝부분에 얇은 고형 접착제가 부착되고, 다른 한쪽 끝과 열접착을 통해 만들어진다. 공급종이와 상토 공급 파이프의 직경을 변경하여 다양한 크기의 종이포트를 제 작할 수 있도록 하여 과채류 및 화훼류 모두 이용할 수 있도록 하였다. 본 연구에서는 과채류 재배에서 많이 사 용되는 40공과 50공 육묘트레이에서 이용할 수 있는 포 트 직경 40mm로 제작하여 시험을 수행하였다. 또한 종 이공급 롤러가 무동력으로 작동할 때 종이를 원형으로 제조하기 위해 부착된 가이드로 인해 종이가 찢어지는 현상이 발생하여 종이의 자동 공급을 위한 모터를 설치 하여 종이의 공급이 원활하도록 하였다. 포트제조부(Fig 2의 c)는 공급되는 종이에 부착된 고형 접착제를 녹여 종이 양단을 접착하고 상토를 채우는 기능을 한다. 히터 는 고형 접착제를 녹여주는 역할을 하며, 접착제를 녹이 는 시간은 장치의 성능과 밀접한 관계를 가진다. 히터의 온도는 조절할 수 있도록 하였으며, 종이공급 속도에 맞 춰 접착할 수 있도록 설계하였다. 종이포트 절단부(Fig. 2의 d)는 포트제조부에서 만들어진 종이포트를 설정한 길이만큼 이송시켜 일정한 크기로 절단하도록 제작하였 다. 종이포트의 이송은 무빙블럭이 작동하여 종이포트를 잡고, 종이포트 이송실린더가 작동하여 설정된 종이포트 길이만큼 이동시킨다. 설정길이는 국내에서 이용되는 육 묘 트레이의 높이인 35∼40 mm의 범위이므로 50 mm 까지 조절할 수 있도록 제작하였으며, 종이포트 이송실 린더의 행정 길이 조절을 통해 조절할 수 있다. 종이포 트 절단은 공압실린더의 작동에 의해 칼날이 동작하도록 하였고, 안전성 및 장치의 크기를 고려하여 칼날작동 행 정을 최소화하여 제작하였다. 칼날의 동작으로 인해 발 생할 수 있는 안전사고에 대비하여 안전 커버를 부착하 여 제작하였다.
2. 최적 설계시험
2.1. 상토 공급압력 및 함수율
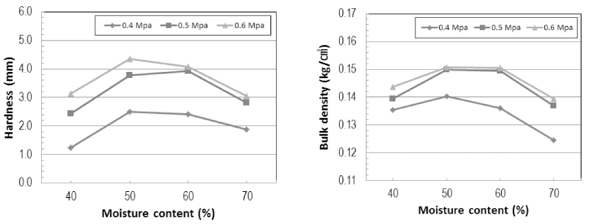
종이포트 내의 적정 상토의 양과 함수율은 모종의 생 육상태에 영향을 미친다(Choi, 2013). 적정 양의 상토가 담긴 원통형 종이포트를 제조하기 위하여 상토 공급 압 력과 상토 함수율에 따른 종이포트의 경도 및 가밀도를 측정하였다. 적정 상토공급압력을 설정하기 위한 사전시 험 결과, 0.4 Mpa미만의 범위에서는 종이포트 내로 상 토를 공급하지 못하는 경우가 발생하였고, 0.6 Mpa을 초과하는 범위에서는 종이의 공극사이로 상토가 빠져나 오는 경우가 발생하였다. 따라서 시험은 공급 압력 0.4 Mpa, 0.5 Mpa, 0.6 Mpa의 3수준에 대하여 상토 함수율 을 10% 간격으로 변화시키며 실시하였다. 함수율 수준 을 설정하기 위한 사전시험 결과, 상토 함수율 30% 이 하에서는 상토가 응집되지 못하여 종이포트 내로 상토가 채워지지 않는 날림현상이 나타났으며, 함수율 80% 이 상에서는 수분함량이 너무 많아 상토가 상토공급파이프 내로 투입되지 않는 것으로 조사되었다. 따라서 상토가 적절히 응집되는 상토 함수율인 40%, 50%, 60%, 70% (오차범위 ±3%)의 4수준으로 설정하여 실험을 실시하였 다. 경도 및 가밀도의 측정시험은 각 조건별로 종이포트 10개의 시편에 대하여 실시하였다. 경도는 토양경도계 (351-EN, Fujiwara, Japan)를 이용하여 측정하였으며, 가 밀도 측정을 위한 시험편은 농촌진흥청 시험기준(2013) 에 의거하여 건조기에서 105℃에서 8시간 이상 건조하 였다.
2.2. 종이포트 최적 접착 온도
종이포트의 원통 성형을 위해서는 설정된 시간 내에 종이 양끝단이 고형접착제에 의해 접착되어야한다. 설정 된 시간 내에 고형접착제를 녹여서 종이를 접착하기 위 해서는 히터의 적정 온도설정이 필요하다. 접착 온도에 따른 종이의 접착성능을 측정하기 위하여 100°C부터 10°C간격으로 원통형 종이포트를 제조하여 내부의 흙은 제외한 종이를 대상으로 종이접합부의 인장강도를 측정 하였다. 시편은 각각의 접착온도에 대하여 10개씩 제작하 여 시험 전까지 23°C-RH 50%의 표준상태에서 72시간 이 상 평형시켰다. 인장시험은 물성측정기(TA-XT2i, Stable Micro System Ltd., England)를 이용하여 정속 신장으로 파괴될 때까지의 항복강도를 측정하였다(KS M ISO1924-2).
2.3. 최적 절단각도 구명
장치의 안전성과 크기를 고려하기 위해서는 칼날 작동 행정을 최소화할 필요가 있다. 종이포트 절단칼날의 절 단각도(α)가 클수록 칼날의 행정은 길어지므로 절단칼날 의 각도가 최대한 작은 범위 내에서 선정할 필요가 있 다. 종이포트 절단칼날의 절단각도의 변화로 인한 총 행 정거리는 식 (1)과 같다.
여기서, 칼날의 절단각도 변화에 따른 총 행정거리(L), 종이포트의 직경(d), 칼날의 길이(b), 칼날의 절단각도 (α), 종이포트 절단을 위한 종이포트와 칼날과의 여유거 리(c)이다.
이러한 조건하에서 최적의 절단칼날 각도를 구명하기 위한 시험 장치는 Fig. 3과 같다. 시험은 칼날의 절단각 도(α)를 0°에서부터 10° 간격으로 설정하여 종이포트 절 단시험을 통해 최적 절단각도를 구명하였다. 또한 절단 칼의 날 형태를 선정하기 위하여 시중에서 구하기 쉬운 일자칼날과 톱날 형식의 칼날을 이용하여 절단시험을 실 시하여 절단면을 육안으로 분석하였다. 절단칼날의 속도 는 종이포트를 절단시키는 실린더의 속도인 0.6m/s의 속 도로 동일하게 설정하여 실시하였다.
3. 원통형 종이포트 제조장치 성능시험
개발한 원통형 종이포트 제조장치의 성능을 측정하기 위하여 종이포트의 길이 균일성과 단위 시간당 제조 개 수를 조사하였다. 종이포트의 길이 균일도 시험은 시중 에 판매되고 있는 트레이의 높이를 고려하여 종이포트의 길이는 35mm, 40mm, 45mm의 3수준으로 설정하고, 각 수준별 80개의 시험편에 대하여 길이를 측정하였다. 원 통형 종이포트 제조 성능시험은 종이포트 길이를 40mm 로 설정하고 상토가 채워지고 종이포트를 절단하는 순간 부터 100개의 종이포트를 제조하는 시간을 5반복으로 조사하여 작업성능을 분석하였다.
결과 및 고찰
1. 최적 설계 시험
1.1. 상토공급압력과 함수율
상토 함수율에 따른 적정 상토공급압력시험 결과, 상 토를 공급하는 진공압이 높을수록 종이포트의 경도와 가 밀도가 높게 나타났으나, 0.6 Mpa에서는 높은 압력으로 인하여 종이가 찢어지거나 종이의 공극 사이로 압력이 빠져나오는 경우가 일부 발생하였다. 또한 함수율이 높 아질수록 경도와 가밀도는 증가하다가 낮아지는 경향을 보였다. 상토의 함수율 50%와 60%인 종이포트에서는 경도와 가밀도가 비슷하게 나타났으며, 함수율이 40% 종이포트는 상토공급압력이 높은 경우 상토가 응집되지 못하고 흩날리는 경우도 있었으며, 70% 종이포트는 상 토공급압력이 낮은 경우 과도한 수분으로 인해 제대로 상토가 필요량만큼 공급되지 않는 경우가 발생하였다. 따라서 상토 함수율 50%와 60%의 경우 비교적 높은 경도와 가밀도 값을 가지므로 장치의 최적 운전조건을 위한 적정 함수율 및 상토공급압력은 각각 50%~60%와 0.5 Mpa 인 것으로 판단된다.
1.2. 종이포트 최적 접착 온도
원통형 종이포트 제조장치의 성능을 3600개/hr로 설정 하여 계산하였을 때, 다른 장치의 동작을 고려하면 히터 에 의해 종이 끝단의 고형접착제가 녹아 종이의 양 끝 단이 붙는 시간은 약 0.3초 이내로 계산된다. 따라서 히 터가 열을 가해주는 시간으로 설정하여 시험을 수행하였 다. 접착 온도에 따른 종이의 접착성능을 측정하기 위한 포트제조부의 적정온도 시험 결과, 접착 온도 별 종이의 하중-변위 그래프와 접착 온도 별 종이의 최대 항복강도 는 Fig. 5와 Fig. 6과 같다. 100°C부터 130°C 이하 온도 의 인장시험에서는 히터와 종이의 접촉시간이 짧아 접착 제가 완전히 녹지 못하여 종이가 완전히 접착이 되지 않는 것으로 나타나 하중-변위 곡선이 나타나지 않았으 며, 140°C의 일부 시험편에서는 30%의 종이포트에서 접 착부가 완전히 접착되지 않아 하중 값이 증가하다가 접 착부위가 끊어지면서 꺾이는 현상이 나타났다. 150°C 이 상 온도의 인장시험에서는 종이의 완전 접착으로 인해 접착부위가 아닌 종이의 중간부위가 찢어지면서 변위에 따른 최대하중 값을 나타내었으나, 170°C 이상의 온도에 서는 종이의 접착을 위한 접착제가 과다하게 녹아 가이 드 파이프 부까지 접착되는 경우가 170°C에서 10%, 180°C에서 50% 이상이 발생하여 연속공정이 불가능할 것으로 판단되었다. 따라서 150°C와 160°C의 온도에서 는 접착부위가 끊어지지 않고 종이의 중간부위가 끊어졌 으며 모두 비슷한 항복강도를 가지는 것으로 조사되어 개발된 장치에서 종이포트를 제조하기 위한 접착 적정 온도는 150°C~160°C인 것으로 나타났다.
1.3. 최적 절단각도 구명
원통형 종이포트 절단칼날의 최적 절단각도(Fig. 3의 α)를 구명하기 위한 시험 결과는 Table 1과 같다. 일자 칼날의 경우, 20° 이하에서는 종이 절단면이 고르지 못 하고 칼날에 의해 종이가 찢어지는 경우가 발생하였으며, 30° 이상부터 종이 및 상토 절단면이 깨끗하게 절단되었 다. 톱날을 이용하여 절단한 경우, 절단각도 30°에서도 일자 칼날 사용 시 보다 비교적 깨끗하지 못하고 상토 가 한쪽으로 밀리는 형태로 절단되었다. 절단칼날의 기 울기가 클 경우에는 칼날과 종이포트의 접촉시간이 길어 지기 때문에 톱날형식의 칼날의 경우도 깨끗한 단면을 나타났다. 그러나 절단 속도와 작업의 안전성을 고려하 여 최소 기울기인 30°에서 깨끗한 단면을 나타내는 일자 칼날을 사용하는 것이 적합할 것으로 판단된다.
2. 원통형 종이포트 제조장치 성능시험
2.1. 제조성능시험 분석
원통형 종이포트 제조장치의 포트 길이 균일도 측정하 기 위한 시험 결과는 Fig. 7과 같다. 종이포트의 길이 35mm, 40mm, 45mm에 대한 균일성 시험에서 각각 평 균은 35.1±0.5mm, 39.8±0.4mm, 44.8±0.3mm로 균일하 게 나타났다. 원통형 종이포트 제조 성능은 원통형 종이 포트를 제조하기 위해 사전 상토공급 및 종이접착 준비 시간을 제외한 시간 기준으로 시간당 약 3,300개의 작업 이 가능한 것으로 측정되어 일반농가에서 사용하기에 충 분할 것으로 판단된다.













