서 론
유엔 산하 기후변화에 관한 정부 간 패널(Intergovernmental Panel on Climate Change, IPCC)에서는 지구온난화로 인해 지난 100년간 지구의 연평균 기온은 약 0.7°C 상승하였다. 1980년 이후 온도 상승 속도는 2배 이상 빠르게 진행 중에 있고, 강수량 역시 약 19% 증가하고 있으며, 우리나라의 경 우는 지구의 평균 온도 상승폭 보다 클 것으로 예상하고 있 다(IPCC, 2014). 최근 빈번하게 발생하는 이상기상 현상은 작물의 생산량 변화에 가장 큰 요인이 되고 있으며 (Moriondo 등, 2011;Lim 등, 2015), 농산물 수요와 공급의 관점에서, 작물의 단수를 예측하는 것은 수급 조절에서 주요 한 사항이며, 작물 수확량의 예측 시기와 정확성에 따라 농 산물 수급 조절에 활용할 수 있다(Cho 등, 2013).
고추(Capsicum annum L.)는 우리나라 국민들의 식생 활에서 가장 널리 이용되는 조미채소 가운데 하나로 전 세계적으로 생산량과 소비량이 점차 늘어나는 추세에 있 으며 (Bosland 등, 2012), 국내에서는 생산액이 대략 1 조원에 달할 정도로 농가 소득원으로써 중요한 작물이기 도 하다(KOSTAT, 2017). 고추의 수량 및 품질은 착과 후 성숙기의 일조량, 강우량, 기온 등과 같은 기상환경 및 재 배지의 토양조건에 의해서 큰 영향을 받는다 (Ahmed 등, 2014;Hwang 및 Lee, 1978;Jang 등, 2000;Kim 등, 1995). 우리나라에서 고추는 대부분 노지재배로 기상조건 의 영향을 많이 받아 여름철 고온과 집중호우, 봄철 정식 시기의 이상 저온 또는 가뭄 등은 고추 생산량 감소의 주 원인으로 가격 상승의 원인이 된다(Hwang 및 Tae, 2001;Menzel, 2000). 그래서 안정적인 고추 생산을 위하여 비가 림 시설이 도입되었다. 고추 비가림 시설 재배는 강우 차 단으로 병해충의 발생 억제 및 양·수분 조절이 쉽고, 정식 시기를 앞당겨 재배기간을 연장하므로 고추 생산성을 크 게 높일 수 있다(Lee 등, 2014;Lee 등, 2016). 작물재배 환경 요인 중에서도 기온은 식물의 지리적 분포와 생존, 그리고 생산량에 직결되는 중요한 요인으로 일정 수준보 다 낮거나 높으면 저온 또는 고온 스트레스를 받게 된 다(Oh 등, 2014). 또한 고추의 수량은 착과 및 성숙기의 일조량, 강우량, 기온, 토양수분 등과 같은 기상환경에 의해 큰 영향을 받는 것으로 알려져 있고, 생육저해온도 (35°C) 이하까지는 온도가 상승할수록 생육이 촉진되는 반면에 그 이상으로 증가되면 고추의 생장을 저해하고 낙화와 기형과 발생을 증가시켜 생산량을 감소시킨다는 연구결과가 보고 되었다(Heo 등, 2013;Kim 등, 2013;Lee 등, 2018;Song 등, 2015).
최근 기후변화에 의한 식물의 반응을 파악하기 위하여 작물의 재배적지 변화, 수확량 변동 등에 대한 연구들이 이루어지고 있으나, 고추의 수급에 있어서 수확량 예측 을 위한 재배환경에 따른 생장 그리고 생리·생화학적 반 응 모델에 대한 연구는 기초 단계이다(Lee 등, 2014;Lee 등, 2015;Lee 등, 2018). 본 연구는 고추 비가림 재배를 이용하여, 기상환경(기온과 일사량 등)과 고추의 생장과 수량에 대한 실측 데이터를 수집하여, 생산량 예 측에 필요한 고추의 생장 해석과 수량 회귀모델을 개발 하고자 한다.
재료 및 방법
1. 실험 재료 및 재배 조건
공시 품종은 ‘슈퍼마니따’(Capsicum annuum L. cv. ‘Super Manita’, Nongwoo Bio Co., Suwon, Korea) 고 추를 사용하였으며, 국립원예특작과학원 채소과 시험포 장의 비가림 하우스에서 실험을 수행하였다(35°50’ N 127°57’ E, 30 elevation). 2017년 2월 6일에 시판용 바 이오 상토1호(Hungnong seed Co., Korea)를 채운 105공 플러그 트레이(범농, 35 mL/cell)에 1셀당 고추 종자 2 립씩을 파종하였고, 발아 후 1주을 남기고 솎아주었다. 벤로형 유리 온실(평균기온 25°C 설정)에서 80일 간 육 묘 후 비가림 시설에 이랑(폭 120cm)에 0.01mm두께의 흑색 플라스틱 필름으로 멀칭한 후 식양토에 주간거리를 45cm로 하여 이랑당 1줄씩 정식하였다(2017년 4월 24 일). 정식 후 비가림 시설의 환기 온도를 25°C 조건으로 설정하여, 측면의 자동 개폐와 전면과 후면의 배기 팬을 달아 설정 온도 이상이 되면 강제 환기되도록 하였다. 토양의 수분함량은 30%를 유지하기 위하여, 토양수분 함량을 측정하여 토양 건조시(토양 수분함량 25% 이하) 1시간 동안 점적 관수하여 관리하였다. 그리고 양액은 과채류 전용 양액(Mulpule 2ho, Daeyu Co., LTD, Korea)을 정식 후 42일부터 주 2회에 EC 2.5dS/m와 pH 6.5로 고추 한 주당 500mL를 관주 하였다. 비가림 시설 내 기온, 일사량 등은 한 시간 간격으로 데이터로 거(U30-NRC, Onset Computer Co., Boure, MA, USA) 를 사용하여 측정하였다(Fig. 1).
2. 고추의 생육 및 수량 특성 조사
고추의 생체중, 건물중, 엽수, 엽면적을 2주 간격으로 정식 후 154일까지(총 12회) 파괴 조사하였다. 엽면적 (cm2/plant)은 엽장 1cm 이상의 완전 전개된 잎을 모두 따서 엽수를 측정하고 엽면적 기계(LI-3100, LI-COR, USA)를 이용하여 측정하였다. 고추의 수확량 조사는 정 식 후 6주부터 2주 간격으로 총 8회 하였다. 길이가 5cm 이상의 고추 과실을 수확하여 총 수확 과수, 과중 및 건물중을 조사하였다. 병과, 열과 등의 비정상 과수 를 별도로 조사하였다. 단수(kg/10a)은 적색 고추 과실의 건물중×상품성 있는 홍 고추 개수×정식 주수/10a으로 계산하였다. 수량 조사는 완전임의배치법 3반복으로 총 9개체의 고추를 조사주로 선정하였다.
3. 고추의 생장과 수확량에 대한 해석 및 통계 분석
통계 분석은 SAS 프로그램(SAS 9.2, SAS Institute Inc., USA)을 이용하여, 정식 후 일수(DAT; Days After Transplanting), 생육도일 온도(GDD; Growing Degree Days), 누적적산일사량(DIL; Daily Integral Light)은 독 립변수로 생육 특성 결과를 종속 변수(생체중, 건물중, 엽수 및 엽면적)로 다중 상관 분석을 하였다.
, Max and Min temp.(일 최고 및 최저 기온), base temp.(기저온도)
생장 요인과 수량에 대한 회귀 모델은 sigmoidal 함수 형태의(3 Parameter)을 이용하였다. 그리고 Williams(1946) 의 상대 생장률(RGR: Relative Growth Rate)의하여 생 제중과 건물중에 대한 생장률(g·g-1·day-1)을 계산하였다.
, a,b 및 k는 변수,
두 시기 내에서 무게 W1, W2
결과 및 고찰
1. 정식 후 일수에 따른 고추의 생장, 상대생장율
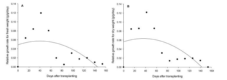
정식 후 42일에 고추의 초장은 63cm/plant였고, 4주 후인 정식 후 70일에는 121cm/plant로 약 2배 커졌다 (Table 1). 엽수와 엽면적은 정식 후 42일 이후 급속히 증가하였고, 정식 후 98일 이후 고추 건물중의 증가율은 평균 17.6%으로, 정식 후 42일까지 건물 생산 증가율 (251%)에 비해 현저히 낮았다. 고추 수확시기(정식 후 약 60일 이후) 에는 영양 생장을 위한 건물 생산보다는 과실의 착과 및 비대를 위한 발육에 집중되었다. 고추의 생체중과 건물중 상대생장율은 각각 RGR (fresh weight) = 0.0488 + 0.0004 × DAT − 0.00000521 × DAT2, RGR(dry weight) = 0.0562 + 0.0004 × DAT − 0.00000557 × DAT2 (Fig. 2). 정식 후 재배 기간에 따른 생체중과 건물중에 대한 상대 생장률을 모의해 보았을 때, 정식 후 초기부터 중기까지의 상대 생장률이 높았으며, 최고 상대생장률은 생체중은 정식 후 40일경에 0.057g/g/day, 그리고 건물중은 정식 후 35일경에 0.064g/g/day였다. 고추의 생장은 정식 후 재배기간이 경과함에 따라 70일 까지는 지속적으로 증가하였고, 그 이후의 상대 생장률 은 감소하다가 140일에 상대생장률이 0에 가까워져 생 장의 변화가 없었다.
2. 생육도일온도에 따른 생장 회귀 모델 개발
생육도일온도(Growing Degree Days)에 따른 고추 생 체중, 건물중, 초장 및 엽면적의 예측 회귀 모델식을 개 발하였다(Fig. 3).
| $$\mathrm{Fresh}\;\mathrm{weight}=\frac{2832.4}{1+exp^{-\left({\displaystyle\frac{\mathrm{GDD}+2309.6}{-689.0}}\right)}}$$ |
| $$\mathrm{Dry}\;\mathrm{weight}=\frac{633.6}{1+exp^{-\left({\displaystyle\frac{\mathrm{GDD}+2276.1}{–665.6}}\right)}}$$ |
| $$\mathrm{Plant}\;\mathrm{height}=\frac{194.7}{1+exp^{-\left({\displaystyle\frac{\mathrm{GDD}-1101.2}{–577.9}}\right)}}$$ |
| $$\mathrm{Leaf}\;\mathrm{are}=\frac{40,685.5}{1+exp^{-\left({\displaystyle\frac{\mathrm{GDD}-1828.2}{–474.8}}\right)}}$$ |
a는 고추의 생체중 및 건물중의 잠재적 최대값으로, 각각 2,832g/plant 및 633g/plant였다. 지수 함수적으로 생장이 늘어나는 시점의 GDD는 1,000였고, 생체중과 건물중의 b값은 각각 2,309 및 2,276였고, k값 역시 각 각 689 및 665으로 유사하였다(Table 2). 고추의 초장과 엽면적의 최대값은 정식 후 각각 194.7cm/plants 및 40,685.6cm2/plant으로 예측되었으며, 지수함수적으로 엽 면적이 증가하는 GDD는 946였으며, 분지수가 7개 이상 되는 시기로 추정되었다. 생육도일온도는 작물이 발아부 터 성숙까지 생육단계에 따라서 어느 일정량의 열량을 얻어야 성숙된다는 것을 기반으로 작물의 개화시기, 성 숙기 등과 같은 생물계절을 예측하기 위해 사용할 수 있는 온도적산 값이다(Baskerville 과 Emin, 1969). 주산 지(경북 안동 및 영양, 충북 청양 등)별로 GDD값을 계 산하여 개발된 회귀모델식들을 이용하여 잠재적 생장을 예측할 것으로 기대되며, 고추의 재배관리를 위한 지주 유인과 적엽 등의 농작업 일정을 결정하는데도 활용할 수 있다. 또한, 건물 생산 속도에 알맞은 관수 및 비배 관리 제안도 가능할 것으로 기대된다. 그러나 연차 간의 재배 환경변이에 의하여 개발된 고추 생육 모델들을 통 한 예측 값들의 오차가 발생할 수 있으므로, 모델의 교 정 및 검증이 지속적으로 필요하다.
3. 정식 후 일수에 따른 수량 추정
정식 후 42일부터 고추의 수확을 시작하였으며, 재배 기간이 경과함에 따라 적색과의 수와 과중이 지속적으로 증가하였다(Table 3). 정식 후 일수에 따라 수확한 고추 의 정상과 비율을 조사한 결과 정식 후 초기인 84일과 98일에는 각각 83.2%와 83.8%으로 정상과율이 높았으 나, 112일부터는 75% 정도로 감소되었다. 정식 후 112 일에서 126일까지의 비가림 시설내의 일일 최고 온도 와 평균 온도는 각각 41.1°C와 37.3°C였고, 토양수분의 함량 은 24.1%로 측정되었다. 이와 같은 온도의 상승과 토양 수분의 감소로 인해 병과와 기형과가 증가하여, 정상과 비율이 감소했으리라 사료된다. 고추에 있어서 생육적온 에 맞게 기온을 유지하는 것이 중요하나, 우리나라 여름 철은 지나친 고온으로 인하여 고추의 생장을 저해하고 기형과 발생을 증가시켜 생산량을 감소시키는 문제가 보 고된바 있다(Lee 등, 2001;Heo 등, 2013). 그리고 기후 변화시나리오 RCP(Representative concentration pathway) 8.5조건(외기보다 온도 6°C, CO2 농도 940μmol·mol-1, 강 수량 20.4% 증가 조건)에서 고추를 재배하면 수량이 89% 정도가 떨어졌다는 최근 보고도 있었다(Lee 등, 2018). 고추 재배 시 평년보다 2°C 증가된 조건에서는 수확량이 13% 증가하였으나 그 이상의 기온에서는 수확 량이 20% 이상 감소되었고, 고온과 토양수분 함량의 감 소 상태에서 대조구에 비해 병과와 석회결핍과의 발생률 이 증가하였다는 결과(Heo 등, 2013;Lee 등, 2015;Song 등, 2015)와 본 연구 결과가 유사하였다. 정식 후 일수에 따른 생장계수들을 각각 구하여, sigmoidal 함수 형태의 회귀모형으로 정상과중 적과의 생체중과 건물중 으로 고추의 단수를 분석하였다(Fig. 4). 적과의 생체중 의 단수는 정식 후 112일에 1,3871kg/10a 이었고, 최종 생육조사일인 정식 후 154일에 1,807kg/10a 로 최고치의 단수를 확인하였다. 또한 건 고추의 단수는 정식 후 112 일에 291kg/10a 이었고, 최대 단수는 정식 후 140일에 358kg/10a 이었다. 우리나라의 고추의 재배는 대부분 노 지재배로 이루어지고, 건 고추의 단수는 2016년과 2017 년 각각 266 및 197kg/10a 이었고, 5년간 평균 254kg/ 10a으로 보고되었다(KOSTAT, 2017). 개발된 단수 예측 모델에서 정식 후 112일(1,875 GDD)의 단수(291kg/10a) 와 노지 건고추의 평균 단수와 유사하였다. 고추 주산지 인 경북 지역의 재배 면적은 각각 7,426과 6,368ha(2016년과 2017년)으로 2016년 비하여 2017년에 14.2% 감소하였고, 고추 주산지인 영양 지역의 재배기간 동안(5월 5일-10월 15일)의 기상을 분석하면, 평균 기온 은 2017년이 약 0.3°C 높았으나, 고추의 생장이 지수함 수적으로 증가하는 시점인 800 GDD는 2016년과 2017 년에 모두 7월 11일이였다. 일적산광량은 2016년 비하 여 2%가 증가하였으나, 강우량은 2017년에 789mm로 2016년에 비하여 26.4%가 높았다. 2016년에 비하여 건 고추의 단수가 감수하였던 것은 재배면적의 감소와 강우 량 증가가 주요한 원인 이였다.
Table 3. Yield characteristic of hot pepper as affected by days after transplanting. Mean±standard errors, n=9.
![]() |
최근 이상 기상으로 인한 고추의 피해를 경감하기 위 한 시설재배가 늘어나는 실정으로, 본 연구에서 고추의 비가림 시설재배 기간 동안의 고추의 생육 및 수량에 대한 실측 데이터는 고추의 수급에 있어 미리 예측할 수 있는 수확량 예측 모델에 대한 기초 자료로서 활용 할 수 있을 것이라 사료된다. 그리고 개발된 수량 예측 모델들에 대한 예측 정확도에 대한 개선이 필요하며, 이 는 통계적 데이터(통계청에서 제시하는 고추 단수와 기 상청 기온, 상대습도, 강우량 등)들과 실측치들에 대하여 지속적으로 수집하여 모델들에 대한 교정 및 검증을 해 야 한다.









