서 론
온도는 작물의 생육에 매우 중요한 환경요인으로 작물 의 생육과 형태분화 및 생리반응에 큰 영향을 미친다 (Cutforth와 Shaykewich, 1990;Shaykewich, 1994). 온도 의 영향을 이용하여 작물의 생육을 예측하는 방법 중 하 나로 growing degree day(GDD)를 사용한다(McMaster와 Wilhelm, 1997; Miller 등, 2001). GDD는 일 최고온도, 일 최저온도, 기본온도를 조합하여 산출하며 이 산출된 온도의 누적만으로 작물의 생장과 발달을 예측할 수 있 다. 또한 이러한 특성을 이용하여 엽채류의 생체중과 수 확기 옥수수의 수량을 예측하는데도 사용한다(Lee 등, 2012; Swan 등, 1987). 이처럼 온도 변수 하나로 작물의 생육과 수량을 설명 및 예측할 수 있다는 장점이 있으 나 온도 누적이 직선적이기 때문에 각 온도 영역에서 생육속도와 적정온도 이상의 고온을 설명하기 어려운 단 점이 있다. 그 때문에 GDD가 아닌 쌍곡선을 이용한 온 도 예측식이나(Hardegree, 2006;Roché 등, 1997; Seefeldt 등, 2002;Yan과 Hunt, 1999; Yin 등, 1995) 비 선형함수인 베타함수(beta distribution)을 이용한 온도 예 측식을(Yan과 Hunt, 1999; Yin 등, 1995) 이용하여 예측 하고 있다.
마늘(Allium sativum L.)은 백합과 파속에 속하는 인경 채소작물이며 향신료자원으로 우리나라에서는 다양한 음 식에 사용되고 있어 주요 채소자원으로 다루어진다. 마 늘은 호냉성 월동채소로 생육적온은 18~20°C이고 25°C 이상에서는 잎이 마르고 생육이 쇠퇴되며, 인편의 비대 는 10°C 이상에서 가능하지만 적온은 20°C 전후로 알려 져 있다(Lee, 2003).
온도가 마늘의 생육에 미치는 영향을 구명한 연구는 보고되어 있으나, 멀칭처리 등을 이용한 보온처리로 (Hwang과 Tae, 2000) 일정한 온도처리가 이루어지지 않 아 정확한 온도의 영향을 구명하기에는 다소 무리가 있 다. 또한 기존 마늘에 대한 GDD연구는(El-Zohiri와 Farag, 2014) 한계온도를 적용하지 않았으며 고온에서의 생육저하 등을 설명하기 어렵기 때문에 추가적인 연구가 필요하다. 따라서 본 연구는 자연광 상태에서 온도 등의 환경조절이 가능한 SPAR(Soil plant atmosphere research system)챔버에서 난지형 마늘인 ‘남도’에 여러 수준의 온 도처리를 처리함으로써 온도가 생육 및 생리적 반응에 미치는 영향을 조사하였으며, 이를 이용하여 온도에 따 른 난지형 마늘 구생체중 예측모델을 개발하고 이후 활 용가능성을 검증하였다.
재료 및 방법
1. 공시작물 및 환경요인 설정
본 연구는 국립원예특작과학원 온난화대응농업연구소 의 온도, 이산화탄소 농도, 습도 등 환경요인의 제어가 가능한 SPAR챔버를 이용해 온도을 다르게 처리함으로 써 온도가 마늘의 생육양상 및 생장량에 미치는 영향과 온도 별 생육량을 구명하기 위해 수행하였다. 시험품종 으로는 난지형 마늘인 ‘남도’를 이용하였다. SPAR챔버 온도처리는 6처리로 주야간(16/8h) 재배온도를 각각 11/ 7°C, 14/10°C, 17/12°C, 20/15°C, 23/18°C, 28/23°C 으로 일정하게 유지되도록 하였다. 2014년 10월 10일에 재식 거리 30×15cm 간격으로 직파하여 2015년 5월 12일에 수확하였다.
SPAR챔버 생육데이터을 이용하여 개발된 생산예측모 델을 검정하기 위하여 온도구배터널에서 마늘을 재배하 였다. 온도구배터널은 긴 터널 모양의 하우스로 정면은 개방되어 있으나 후방은 폐쇄된 형태의 시설이다. 막혀 있는 후면을 기준으로 열려있는 전면까지 단계적으로 온 도차가 나게 되어 있으며 24시간 일정하게 편차를 유지 할 수 있다. 각 실험구에 기록된 온도는 다음과 같다 (Fig. 1). 온도대역에 따라 총 5개의 구역으로 구분하여 마늘을 재배하였다. 2014년 10월 8일에 재식거리 30×15cm 간격으로 직파하였으며 이듬해 4월 28일에 최 종수확하였다. 예측 모델검증을 위하여 위의 5개 시험구 의 일 평균온도 자료와 마늘 생육을 조사하였다.
2. 생육조사
SPAR챔버 실험에서는 엽수, 총엽면적, 인편개수, 구생 체중, 구건물중 등을 조사하였다. 엽수와 총엽면적 조사 는 파종후 49일부터 215일까지 3주간격으로 시행되었으 며, 인편개수와 구생체중, 구건물중은 최종수확조사때 조 사되었다. 검증을 위한 온도구배터널의 실험은 최종 수 확시기에 구생체중을 조사하였다.
3. 구생체중 모델 개발 및 검정
위 조사항목 중 SPAR챔버 구생체중 자료와 온도을 이용하여 평균온도와 구생체중, GDD와 구생체중 등의 상관관계를 조사하였다. 이중 평균온도와 구생체중 자 료를 이용하여 마늘의 적정 생육온도 모델과 온도별 구 생장량모델을 개발하였다. 모델은 EXCEL(2010, Microsoft, USA)과 Tablecurbe 2D(5.0, Systat, USA) 프로그램을 이용하여 개발하였으며 각 모델의 형태는 아래와 같다.
(1) 선형함수: y = ax + b, (c ≤ x ≤ d)
(2) 2차함수: y = ax2 + bx + c, (d ≤ x ≤ e)
(3) 로지스틱분포 함수: y = Logistic(a, b, c, d) = a + 4bn/(1+n)2, n = exp(-(x-c)/d) a, b, c, d, e =상수, x =온도, y =구생체중 or구생장량
마늘의 적정 생육온도 모델은 각 처리구별 구생체중을 이용하여 개발하였다. 구중이 크게 예측되는 지점을 생 육적정온도로, 구중이 0으로 예측되는 지점을 생육한계 온도로 추정하였다. 온도별 구생장량 모델은 구생체중을 총 재배기간으로 나눈 값을 이용하여 개발하였다. 수확 시점의 구생체중을 총 재배기간으로 나누게 되면 수확시 점을 기준으로 한 일평균온도 당 일일 구생장량을 추정 할 수 있다. 여기서 나온 수확시점 기준의 일평균온도 당 구생장량을 이용하여 구생장량 모델을 개발하였으며, 온도구배터널의 환경조건을 이 모델에 적용하여 구생체 중을 예측하였다.
결과 및 고찰
1. 온도에 의한 마늘의 생육
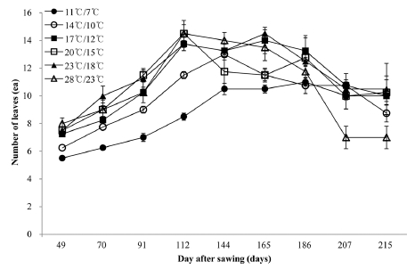
온도에 따른 ‘남도’ 마늘의 생육현황을 살펴보기 위하여 재배기간 동안 엽수와 엽면적의 변화를 조사하였다. 엽수 는 저온인 11/7°C와 14/10°C 처리구가 다른 처리구보다 적었으나 파종 후 144일에는 모든 처리구가 최종엽수에 도달한것으로 보인다(Fig. 2). 이는 온도가 높을수록 최종 엽수에 도달하는 기간이 짧아진다는 보고(Lee 등, 2001)와 일치하였다. 수확기에는 최고온도인 28/23°C가 엽수가 적 었으며 나머지 처리구 간에는 통계적인 차이를 보이지 않 았다. 총 엽면적은 저온인 11/7°C와 14/10°C은 파종후 207일, 나머지는 파종후 186일에 최대엽면적에 도달하였 으며 그 이후에는 감소하는 경향이 나타났다(Fig. 3). 최종 수확기에 가장 온도가 높은 처리구인 28/23°C가 엽면적이 낮았으며 다른 처리구 간에 통계적인 차이가 없었다.
최종 수확조사에서는 구생체중과 구건물중, 인편수를 조사하였다. 구생체중은 20/15°C 처리구에서 130.4g으로 가장 높았다. 17/12°C, 20/15°C, 23/18°C가 통계적으로 같은 결과를 보였고 이를 기준으로 재배온도가 높거나 낮을 때에는 점차 생체중이 감소하는 경향을 보였다 (Table 1). 이러한 결과는 마늘의 적정 생육온도가 18~20°C이며 적정생육 온도보다 높거나 낮아질수록 생 육이 저하된다는 보고와 유사하다(Lee, 2003). 건물중은 생체중과 유사한 형태를 보였다. 주당 인편수를 조사한 결과 각 온도 영역별 유의성을 보이지 않았으며 온도에 따른 경향성을 보이지 않았다.
2. 구생육에 대한 적정 생육온도
구생육에 대한 적정 생육온도를 구명하기 위하여 SPAR챔버에 각 온도 조건을 설정하였다. 조사된 자료중 수확시점의 구생체중을 이용하여 함수를 개발하였으며 온도에 따른 구생체중 함수식은 Fig. 4에 나타내었다.
I번 함수는 온도 별 구생체중의 변화를 두 개의 선형 함수로 분석하였다. 가장 구생체중이 높았던 20/15°C을 기준으로 선형함수를 만들었다. 그래프의 범위는 값이 양수를 가지는 범위로 6.6 ≤ x ≤ 18.1와 18.1 < x ≤ 39.6 이며 R²값은 0.89와 0.99이다. 함수가 0이 되는 지점을 확인한 결과 6.6°C와 39.6°C였다. 이 함수는 값이 0이되 는 임계온도가 39.6°C로 매우 높아 구생장에 대한 적정 생육온도 및 생육한계온도를 추정하기 어려웠다. 최대값 인 18.1°C에서도 각 함수에서 표현되는 최대값이 137.0g 과 128.3g으로 차이를 보이는 등 한계를 보였다.
II번 함수는 구생체중을 2차함수로 분석하였다. 분석결 과 결정계수는 0.8이었으며, 구생장에 대한 적정 생육온 도는 19.4°C이며 기대중량은 120.6g이다. 이는 기존에 구 명된 마늘 생육 적정온도인 18~20°C 범위에 해당한다. 함수가 0이 되는 한계온도는 7.6°C와 31.2°C였다.
III번 함수는 구생체중을 로지스틱분포 함수로 분석하 였으며 결정계수는 0.88이다. 2차함수와 마찬가지로 구 생장의 적정온도는 19.5°C이며 기대중량은 125.7g이고 기존에 구명된 마늘 생육 적정온도인 18~20°C 범위 내 에 있었다. 함수의 한계온도는 6.7°C와 32.2°C로 II번 함수와 유사하였다.
이러한 결과를 토대로 구생장의 적정온도는 기존에 알 려진 마늘 적정 생육온도인 18~20°C와 동일한 결과를 보였다. 마늘의 생육 극한온도를 구하기 위하여 I번 함수 를 제외한 나머지 함수의 한계온도를 합산하여 정리한 결 과 7.1°C와 31.7°C 이었다. 이중 저온인 7.1°C는 El- Zohiri(2014)의 실험에서 사용된 GDD 기본온도와 5°C와 근사하였다. 마늘이 위에 개발한 함수에 따라서 생장한다 고 보았을 때 이 값은 ‘남도’ 마늘의 구 생육을 위한 한계 온도를 유추하는데 좋은 자료가 될 것으로 보인다. 또한 위 함수의 결정계수를 보았을 때 온도영역에 따른 마늘 구 생육 및 적정 생육온도를 표현하는데 효과적 이였다.
3. GDD와 수확기 마늘 구생체중의 상관관계
GDD를 이용하여 구생체중을 예측하기 위하여 GDD 와 수확기 구 생체중의 상관관계를 조사하였다(Fig. 5). GDD 기본온도는 위 함수의 저온 한계온도인 7°C를 적 용하였다. 조사결과 GDD 2,387°C까지는 증가하는 추세 를 보이며 이 구간에서 구생체중은 GDD에 따라 정비례 하는 형태로 증가하고 있다. 그러나 GDD 2924°C에서는 GDD 2387°C보다 생체중이 감소하여 GDD와 반비례하 는 양상을 보였으며 GDD 4113°C에서는 더 큰 감소세 를 보인다. 이는 고온 한계온도를 넘어서지 않은 온도 범위에서의 온도누적이 생장량의 증가와 정비례 한다는 가설과 다른 결과이며 이 현상을 설명할 수 있는 다른 방법이 필요하다.
4. 수확기 마늘 구생체중 예측 모델 개발
GDD와 수확기 마늘 구생체중의 연관성을 분석하였을 때 GDD 2387°C까지는 구생체중과 정비례하였으나 그 이후에는 반비례하는 것을 볼 수 있었다. 이 문제점을 해 결하기 위하여 마늘 생육 적온 함수와 GDD의 누적온도 개념을 이용하여 마늘 구생체중 예측 모델을 개발하였다.
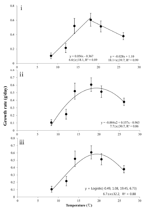
SPAR챔버 실험은 마늘의 전 생육기간 동안 설정된 온 도를 유지되도록 하였다. 이를 누적온도의 개념으로 보 자면 각 실험구는 매일 동일한 온도로 누적되며, 최종 조사시점의 구생체중은 재배기간동안 누적된 온도에 의 하여 생장한 총량으로 볼 수 있다. 최종조사시점의 구생 체중을 재배기간인 215일로 나누고, 이를 수확시기 기준 온도에 따른 일일 구생장량으로 가정하였으며 그 값에 맞는 함수를 도출하였다(Fig. 6).
i번 함수는 수확시점의 구생체중을 재배일로 나눈 데이 터를 두 개의 선형함수로 나타내었다. 결정계수는 0.89와 0.99이며 최대값은 18.1°C, 0이 되는 한계온도는 6.6°C와 39.7°C이다. 최대값인 18.1°C에서 값은 더 많은 중량을 예 측한 좌측의 식을 사용하다. 0이 되는 온도보다 더 낮거나 높은 값을 입력하여 구생장량이 음수가 되는 구간이 있는 데 이 구간은 0으로 처리하는 방법을 사용하였으며 이는 GDD의 기본온도와 한계온도를 이용한 것과 유사하다.
ii번 함수는 2차함수를 이용하여 나타내었으며 함수의 결정계수는 0.86이다. 함수에서 나타내는 구생체중 최대 생장량를 구하기 위하여 함수의 최대값을 조사하였으며 생장이 이루어지지 않는 극한온도도 조사하였다. 최대값 이 되는 온도는 19.2°C이고 이때 일당 구생장량은 0.54g 이다. 한계온도는 7.7°C와 30.7°C이며 위와 마찬가지로 음수가 되는 온도영역은 0으로 산출하였다.
iii번 함수는 구생체중을 로지스틱분포 함수로 분석하였 다. 분석결과 결정계수는 0.88이며 위와 마찬가지로 상온 범위 내에서의 최대값이 되는 온도 19.5°C로 기대중량은 126.9g이며 기존에 구명된 마늘 생육 적정온도인 18~20°C 범위내에 있었다. 한계온도는 6.7°C와 32.2°C이다.
구생체중을 분석한 함수와 구생장량을 추론한 함수를 비교하였을 때 유사한 패턴을 보이지만 함수가 최대값이 되는 온도와 그래프가 0이 되는 온도가 조금 다르게 나 온다. 다만 일 생장량에서 나온 값을 총재배일수로 곱하 였을 때 값이 유사한 점과 로지스틱분포 함수의 경우 c 와 d값이 동일한 점, 결정계수가 동일한 점으로 보아 이 차이는 단순히 중량을 재배일로 나누었을 때 값에서 생 긴 소수점 절삭 등에서 나오는 차이로 보인다.
5. 구생육 모델 검증
개발한 구생육 모델을 검증하기 위하여 온도구배터널 에서의 온도데이터를 모델에 입력해 생성된 예측중량을 실측중량과 비교하였다. 총 5개의 처리구의 온도를 3개 의 식에 입력하였다(Fig. 7). 먼저 선형함수를 이용한 구 생체중 예측도는 79.0~95.0%, 2차함수를 이용한 예측도 는 77.2~92.3%이었으며 로지스틱분포 함수를 이용하였 을 경우 80.0~95.8% 예측도를 보였다. 1, 2, 3번 실험구 에서는 모든 함수가 오차범위 내에서 예측을 하였으나, 4번의 경우 로지스틱분포 함수만 오차범위 내에 들어왔 으며 5번 실험구는 모든 예측치가 오차범위 밖에 있었 다. 실측중량과 예측중량을 비교하였을 때 실측중량이 더 높은 수치를 보였다. 이는 SPAR챔버의 공조기로부터 발생한 강한 공기 흐름으로 인해 마늘의 광합성이 저해 되었기 때문에(Yim et al., 2012) 낮은 구중을 보였고, 비교적 낮은 풍속조건에서 재배한 온도구배터널의 구중 보다 더욱 감소한 것으로 판단되었다.










