서 론
사과는 우리나라 주요 과수 작물로서 2016년 생산액 은 12,382억원, 재배면적은 33,300ha로 전체 과수면적 158,662ha의 21%를 차지하고 있다(KOSIS, 2017). 사과 재배는 생산비 절감, 고품질 다수확이 가능한 저수고 밀 식 재배 체계가 전국적으로 보급되면서(Yoon 등, 2000) 사과 묘목의 중요성이 더욱 커지고 있다.
사과 묘목의 생산방법은 이중접목 방식을 사용하거나, 휘묻이 방식으로 이루어지는 데, 생산과정이 3~5년 소요되 고 있어 재배 중 기상 변화, 기지 현상 등으로 균일 묘 생 산이 어렵고, 생산단가가 높은 실정이다. 묘목은 주로 노지 에서 재배되어 유통되고 있으며, 육묘 과정 중 기지 현상 을 극복하기 위해서는 육묘 포장의 이동 또는 소독이 수반 되어야 하며, 자동화 또는 기계화가 되어 있지 않아 많은 노동력을 요구하고 있어 농업 여건상 어려움이 많다 (MAFRA, 2015). 그럼에도 불구하고 최근 신규 식재, 과원 갱신 등으로 2014년부터 사과 유목 면적은 증가되었고, 연 간 묘목 수요량은 증가될 전망이다(KOSIS, 2017).
플러그 등을 이용한 공정육묘 시스템은 자동화, 생력 화가 가능한 방식으로 채소류, 화훼류 등에서 상업적으 로 이루어지고 있다. 육묘 중 묘소질 영향 인자로는 작 물적 특성, 재배 환경 요인, 플러그 셀 등과 같은 용기 크기, 상토의 물리 화학성, 시비 관리 등이 영향 인자로 알려져 있다. 이에 비해 수목, 과수 등은 주로 노지의 영양번식에 의존하고 있어 묘 생산을 위한 플러그 트레 이 규격, 상토, 시비 관리 요령 등 상업적 적용에 대비 한 공정육묘 시스템이 확립되지 못한 실정이다.
사과나무의 수세는 대목과 접수 품종의 유전적 특성에 영향을 받으며, 저수고 밀식 재배에서 대목에 의한 나무 크기 조절은 단위면적당 다수확과 초기 수량 확보를 위한 저렴한 방법으로 농가 수익 경영에 결정적 요소가 될 수 있다(Gjamovski와 Kiprijanovski, 2011). 국내 왜성대목으로 는 M.9 대목을 많이 이용하고 있으며, 대목의 조건으로는 웃자라지 않고, 마디는 굵고 짧으며, 충실한 잎눈이 붙어 있는 것으로 묘장이 30cm 이상 확보되어야 한다. 그러나 대목의 지상부 노출길이에 따라 나무의 생육과 생산성 등 이 달라질 수 있어 품종에 따라 다르며(Kwon 등, 2016), ‘감홍’의 고두병 발생은 M.26 대목의 노출길이가 길어졌을 때 감소한다고 보고된 바 있다(Hong과 Chun, 2008).
한편 국립종자원(KSVS, 2017)은 국내 묘목 유통량의 30~60%가 바이러스에 감염된 것으로 추정되어 무병묘 생산, 유통활성화로 과수 산업 경쟁력 강화를 위해 무병 묘 공급을 2020년에는 30%, 2025년에는 80% 확대할 것으로 보고한 바 있다. 이에 본 연구는 기내 배양기술 을 이용하여 사과 왜성대목의 건전한 우량영양계 묘를 전략적으로 공급하기 위한 기초자료를 얻고자 하였다. 즉, 건전묘 규격화를 위해 기내 배양 후 순화 · 육묘과 정 중 환경 조건을 구명하여 묘 생산 효율을 높여 상용 화하기 위함이다.
광의 3요소인 광도, 광질, 광주기는 식물 생육과 발달 에 영향인자일 뿐 아니라 광합성의 중요한 에너지원으로 작용을 한다(Taiz와 Zeiger, 1991). 특히 광질과 관련하 여 채소류, 화훼류 등 실생묘 원예작물에서는 스마트 팜 확산 및 LED 제조기술의 발달과 더불어 많은 연구가 이루어졌으나, 영양번식계 작물 특히 조직배양 사과 묘 생산을 위한 광질 효과에 관해서는 연구 보고가 없어, 본 실험에서는 따라서 무병 사과묘의 순화 후 광질 영 향이 왜성 대목 사과 M.9에 생육에 미치는 영향을 알아 보고자 연구를 수행하였다.
재료 및 방법
1. 공시작물 및 재배 조건
순화된 조직배양 사과(Malus domestica) 왜성대목 M.9 묘를 혼합상토(피트모스와 펄라이트= 8:2, v/v)로 충진된 32구 플러그 트레이(53.8×25.0×6.2cm)에 이식하여 6주간 온습도가 조절되는 자체 제작한 환경조절실(W3.3m ×L3.6m×H2.5m)에서 재배하였다. 급액은 일본 아이찌현 장미 배양액(N-P-K-Ca-Mg=13.1-3.5-5.0-7.0-2.0me·L-1)을 사용하여 처리 3주까지는 EC 0.8dS·m-1로 1회/주, 처리 4~6주는 EC 1.2dS·m-1로 2회/주 완전히 포수될 때까지 저면관수하였고, 나머지 날은 수돗물로 두상관수 하였다.
환경조절실은 농업용 센서(WISE, WISE Sensing, Inc. Korea)을 설치하여 15분 간격으로 측정 저장하였으며, 측정된 온도는 23.9±0.6°C, 습도 60.1±2.1%, CO2농도는 490.9±47.2mg·L-1로 유지되었다. 식물에 조사되는 광량 (PPFD)은 154.6±3.7μmol·m-2·s-1으로 광원으로부터 25cm 아래에 플러그 트레이를 설치하였으며, 명기 16시간, 암 기 8시간 광주기 하였다.
2. 인공광원 처리
LED 인공광원(ZVAS, 성현하이텍, Korea)은 식물 재 배상[120cm(L)×45cm(W)]에 6개 바(bar)가 설치되었으며, 광원으로는 식물재배용 LED 적색(R), 청색(B), 백색(W) 등 단색 3종과 혼합광 3종을 사용하였다. UV-A광(UV) 과 R+B 혼합된 RBUV광은 1개의 LED 바에 R:B 칩의 비율이 7:3 비율인 광원 6개에 UV등을 2개 첨가하여 식물재배상에 설치하였으며, RBW광은 1개 LED 바에 R:B:W 칩이 3:1:1 비율로 조합되었다. 또한 인공재배상 상부에 2개의 고압나트륨(High pressure sodium lamp, S), 1개의 메탈할라이드등(Metalhalide lamp, M)이 설치 되었고 측면에 형광등(Florescent lamp, F)이 설치되어 혼합된 SMF 광원으로 총 6처리하였다. 광원별 광 스펙 트럼 분포는 휴대형 분광 복사계(BLACK-Comet C-50, StellarNet Inc., USA)로 300~800nm 범위를 1nm 간격 으로 식물재배 위치에서 측정하여 파장별 비율을 산출하 였다(Fig. 1, Table 1).

Fig. 1
Spectral distribution of the red light (R), the blue light (B), the white light (W), the red and blue light with supplemental UV-A (RBUV), the mixed red, blue and white (RBW) and the florescent with high pressure sodium and metal halide lamp (SMF). Spectra were recorded at the height of plant canopy with a spectroradiometer.
3. 조사 항목
인공광원 처리 3주에 초장, 묘경(지제부 1cm 내외), 엽수, 엽록소 함량(SPAD, SPAD-502, Minolta, Japan)을 측 정하였고, 6주에는 초장, 묘경, 엽수, 엽록소 함량, 엽면적, 비엽중, 생체중 및 건물중을 조사하였다. 엽면적은 Area meter(Li-3100C, LI-COR, USA.)로, 비엽면적은 엽면적/생 체중으로 산출하였고, 생체중은 전자저울(CUW420HX, CAS corporation, Korea)을 사용하였으며, 건물중은 70°C 항온 건조기(OF-22GW, JEIO TECH, Korea)에서 48시간 건조 후 건조중량을 측정하였다. 광합성 특성은 처리 6주에 휴대용 광합성 측정기(Li-6400XT, LI-COR, USA)로 광합성율, 기공전도도, 증산율 및 잎의 수증기압 차를 측정하였다. 광합성 특성 측정을 위한 설정 환경 조건은 광원 150μmol·m-2·s-1, CO2 400mg·L-1, flow meter 400m·s-1, 엽온 25°C이였다.
결과 및 고찰
인공광원의 각 파장대별 비율을 살펴보면, UV-A 영역 의 경우 RBUV 광원에서는 0.9%, SMF 광원은 2.1%를, 나머지 광원에서는 0.1~0.3%를 나타냈으며, Blue 영역은 B 광원에서 98.2%로 가장 높았으며, Green 영역은 W 광원에서 51.7%, SMF 광원에서 55.7%로 높았으며, Red 영역은 R 광원에서 99.0%가 높았다(Table 1). 혼합 광원인 W, RBUV, RBW, SMF 광원에서 Blue:Red 비율 은 1.15(W), 0.87(RBUV), 0.73(RBW), 0.66(SMF):1로 차이를 보였으며, Far-red 영역은 SMF 광원 5.9%로 가 장 높아 광원에 따른 분포율이 차이를 나타냈다. 이를 종합하여 볼 때 400~700nm의 PPFD 분포율이 LED 단 용 및 혼합광원에서는 97.7%(W)~99.3%(B)을 나타낸 반 면, SMF 광원은 92.1%로 상대적으로 낮았다.
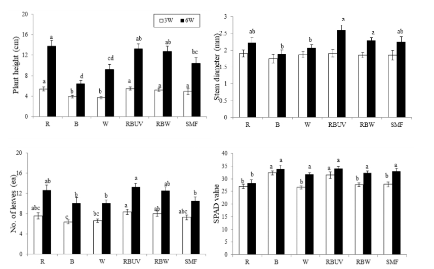
다양한 인공광원에서 사과대목 M.9묘를 6주간 재배했 을 때 생육 특성과 엽록소 함량을 측정한 결과(Fig. 2), 3주째 초장은 R, RBUV, RBW, SMF 광원에서 높았고, B와 W 광원에서 낮았으나 6주째 초장은 R 광원에서 가 장 높았으며, B 광원에서 가장 낮았다. 묘경은 3주째는 처리 간 차이가 없었으나, 6주째는 RBUV, RBW 광원 에서 높았고, B와 W 광원에서 낮아 광원 처리 기간이 길어졌을 때 처리 간 차이를 보였다. 엽수는 3주와 6주 모두 RBUV 광원에서 가장 많았고, B 광원에서 가장 낮았다. 엽록소 함량 SPAD 값은 3주째는 광원에 따른 차이를 보여 B와 RBUV 광원에서 높았으나 6주째는 차 이가 없었다. 초장을 기준으로 인공 광원 처리기간 중 생 장율은 R 광원에서 1.12mm/day로 가장 빨랐으며, RBUV 광원(0.95mm/day), RBW 광원(0.86mm/day), SMF 광원 (0.76mm/day), W 광원 (0.69mm/day), B 광원 (0.44mm/day) 순으로 나타나 처리 기간의 영향을 받은 6 주째 초장 결과와 같았음을 확인할 수 있었다(Fig. 3).

Fig. 2
Growth characteristics and chlorophyll content (SPAD value) of apple rootstock M.9 seedling as affected by light sources for the three and six weeks. Apple rootstock M.9 were acclimatized for 4 weeks after tissue culture propagated. Data represent means and standard error (n=12). Means with different letters are significantly differences by Duncan’s multiple rage test (DMRT) (P≤0.05).

Fig. 3
Growth rate to height of apple rootstock M.9 seedling as affected by light sources for the 6 weeks. Apple rootstock M.9 were acclimatized for 4 weeks after tissue culture propagated. Data represent means and standard error (n=12). Means with different letters are significantly differences by Duncan’s multiple rage test (DMRT) (P≤0.05).
처리 6주째 엽면적은 R, W, RBUV, RBW, SMF 광원 에서 높았고, B 광원에서 낮았으며, 비엽면적은 W 광원 에서 높았으며, 생체중과 건물중은 RBUV 광원에서 높 았다. 생체중을 기준으로 한 S/R비는 W 광원에서 높았 다(Table 2, Fig. 4). 이상의 결과 광파장 영역 비율이 다른 인공광원 처리에 따라 R 광원은 사과의 초장 중 가와 낮은 비엽면적을, B 광원은 초장억제, 엽수와 엽 면적이 낮았다. 한편 RBUV 광원은 엽록소 함량, 엽수 및 생체중과 건물중이 가장 높은 특징을 보였다. 이러 한 결과는 청색광에서 잎의 생장 억제, 생체중 및 건물 중의 감소와 엽록소 함량이 증가했다는 연구 결과와 같 았다(Kang 등, 2016;Kim 과 Lee, 2016;Kim 등, 2017;Son 등, 2012, 2016). 또한 아게라텀, 아프리카 매리골드, 살비아에서도 R 광원에서 초장은 길어졌고, 절간수는 차이가 없었지만, 엽면적은 R+B 광원에서 가 장 길어졌다(Heo 등, 2009)는 연구 결과와 같이 사과 묘 초장 증가는 R 광원에서 컸으나 엽면적은 R+B 영 역대가 높은 비율로 혼합된 RBUV(98.5%), RBW(83.4%) 처리에서 높은 경향을 보였고, 사과 묘 길이 생장에 B 광원은 억제 효과를 보인 것으로 나타 났다. 그러나 들깨(Choi 등, 2003)와 파프리카(Lee 등, 2012) 묘의 초장이 B 광원에서 증가했다는 결과는 본 실험과는 달라 광질에 의한 작물 생육 반응은 다름을 확인할 수 있었다. 한편 처리 6주 째 R 광원에서 사과 묘 초장의 증가는 뚜렷하였으나, 묘경, 엽수 및 생체중 증가는 RBUV 광원에 비해 낮은 경향을 보였다. RBUV 광원은 B 파장영역과 R 파장 영역이 균일하게 분포하면서 UV-A 영역이 0.9% 비율을 보였으며, Red/ Far-red 비가 R 광원보다 상대적으로 높았던 광원으로 사과 묘 생장에는 R 단색광원보다는 R:B칩 비율이 7:3 으로 혼합된 광원에 UV-A 파장이 첨가된 RBUV 광원 이 효과적인 것으로 생각된다(Table 1).
Table 2. Growth characteristics of apple rootstock M.9 seedling affected by light sources for the 6 weeks. Apple rootstock M.9 were acclimatized for 4 weeks after tissue culture propagated.
![]() |
광파장 영역 Blue, Green, Red가 혼합된 W, RBUV, RBW, SMF 광원 처리에서의 6주째 생육을 비교해 보면, RBUV와 RBW 광원 처리에서 초장, 묘경, 엽수, 엽면적, 생체중 및 건물중이 W와 SMF 광원 처리보다 높은 경 향을 보였다. 이는 Blue와 Red의 상대적 비율보다는 절 대적인 Blue와 Red 비중이 높고 Green 비중이 낮은 RBUV와 RBW 광원에서 생육에 긍정적일 수 있으리라 생각된다. 한편 비엽면적은 W 광원에서 가장 큰 컸다 (Table 2). 이는 형광등에 포함된 녹색광원의 비율이 50%높았던 처리에서 잎의 확장을 유도하면서 비엽중을 감소시켜 상추 잎의 확장을 유도하였다는 Son과 Oh (2015)와 같은 결과였으나, 본 실험의 SMF 광원은 Green 비율이 55.7%로 높았음에도 비엽면적은 낮아 광 원에 의한 생육 인자 영향에 다르게 반응하였다.
이와 같이 녹색광(500~600nm)은 적색광과 청색광에 비해 높은 반사율과 낮은 흡수율로 광합성이나 광형태 형성을 위한 에너지원으로는 비효과적인 인자로 인식되 었다(Johnkan 등, 2012). 그러나 백색광원에 포함된 녹 색 광원은 적색광과 청색광에 비해 식물체 상부 낮은 빛 흡수율이 빛 에너지를 통과하는 높은 투과율로 인해 하부 군락 엽록체에 흡수됨으로써 광합성에 효과적일 수 있다고 Terashima 등(2009)은 보고하였다. 또한 적색과 청색이 혼합된 광원에 녹색 광원이 혼합되었을 때 상추 의 생육 및 발달, 2차 대사산물의 생합성에 긍정적 효과 를 줄 수 있으며, 적색, 녹색, 청색의 비율에 따라 생육 영향이 달라질 수 있다고 Son과 Oh(2015)의 연구와 같 이 본 실험에서도 적색광, 청색광에 혼합된 녹색광의 비 율이 사과 생육 인자에 영향을 주는 것으로 나타났다. R 광원보다 RBUV 광원 처리는 묘경, 엽수, 광합성율 및 생체중이 높은 경향을 보였으며, RBUV 광원에서 자 란 사과 대목의 생체중이 RBW 광원 처리보다 높았다 (Fig. 2, Table 3). 그러나 적색광보다 녹색광 비율이 높 았던 W 광원과 SMF 광원 처리의 녹색광 비율은 각각 51.7%, 55.7%로 이들 처리에서의 생체중은 RBUV, RBW 처리보다 감소하여 RGB, 녹색 형광등, 형광등에 서 28일간 상추를 재배하였을 때 엽면적과 건물중이 감 소했다는 보고와 같았다(Kim 등, 2004).
Table 3. Photosynthesis rate (Ps), stomatal conductance (SC), transpiration rate (Tr) and VpdL (leaf to air vapor pressure difference) of leaves of apple rootstock M.9 seedling affected by light sources for the 6 weeks. Apple rootstock M.9 were acclimatized for 4 weeks after tissue culture propagated.
![]() |
처리 6주째 광합성율은 B 광원에서 가장 높았으며, R 광원에서 낮았으며, B와 W 광원은 기공전도도와 증산율 은 높은 반면 잎의 증기압차는 낮았다(Table 3). 청색광 (420~480nm)은 비대칭적인 생장과 굴곡 촉진, 줄기 신 장 저해, 기공 열림, 엽록체 운동 등에 관여하는 것으로 (Taiz와 Zeiger, 1991), B 광원 처리는 R 광원 처리보다 광합성율과 증산율이 높았으며, 잎 수분이 낮았다. 한편 RB, RGB 광원보다 녹색광원이 상대적으로 86%를 나타 냈던 녹색형광등에서 자란 상추의 광합성은 낮다고 Kim 등(2004)는 보고했으나, 본 실험에서는 녹색광원 비율이 높았던 W 광원에서의 광합성 감소는 뚜렷하지 않아 이 는 다양한 광원 하에서 작물과 품종에 따른 생육 반응 은 양적 광질 요소간의 간섭으로 너무 복잡하여 다르게 나타날 수 있다고 본다(Kim 등, 2004).
본 실험은 400~700nm PPFD 파장을 154.6μmol·m-2·s-1 으로 고정하여 광질에 의한 기내 배양 사과 M.9 묘의 초장, 묘경, 엽수 등 생육 특성을 조사하였으나 광파장 영역대가 혼재된 W, RBUV, RBW, SMF 광원에서의 생 육 반응은 인자 간에 상이하였다. 이는 기존 실생묘를 대상으로 연구된 결과보다 해석에 어려움이 많아 영양번 식계 작물의 규격묘 생산을 위한 광환경 구명을 위해서 는 순화와 육묘가 동시에 이루어져 생력화가 가능한 적 정 광도 및 광질 비율의 영향을 구명하는 연구가 추후 더 진행되어야 할 것으로 본다.






