서 론
파프리카 재배에서 수분관리는 생산량과 밀접한 관련 을 가지는 주요한 제어 요인이다. 수분관리는 여러 가지 요인에 영향을 받으며, 온도, 습도, 광도 등에 크게 영향 을 받는다. 시설재배를 통해 온도와 습도는 어느 정도 목표 범위에 맞게 조절할 수 있지만, 광 조건은 재배 위 치 및 계절에 따라서 일정하지 않기 때문에 조절이 용 이하지 못하다. 따라서 안정적인 작물재배를 위한 수분 관리를 위해서는 계절 별 광환경 조건을 고려한 증산량 및 이에 근거한 적정 관수 공급량 예측이 필요하지만, 이에 관한 충분한 자료 분석이 미비한 실정이다.
이러한 관수조절에 필요한 관수량은 작물이 필요한 수 분량의 예측을 통해 추정하고 있다. 일반적으로 Penman -Monteith의 모델에 기반한 예측식(Jolliet, 1994; Jolliet 과 Bailey, 1992; Medrano 등, 2005; Ta 등, 2011)이 이 용되어 왔다. 실용적으로는 적산광에 근거한 관수 방법 은 기본적으로 작물이 받는 광도가 증가할수록 증산량 또한 많아진다는 가정에 따라 관수량을 추정하는 것이며, 이러한 방법에 대한 신뢰성이 검증되어 현재 많은 농가 에서 활용되고 있는 관수방법이다(Qiu 등, 2011; Shao 등, 2010; Ta 등, 2011). 하지만 일정 수준 이상의 광도 조건에서는 증산량이 광도의 증가에 비례하여 증가하지 않는다고 보고되었고, 특히 우리나라의 여름과 같이 광 도의 편차가 큰 일조 조건에서는 증산량 추정에 따른 관수량 추정 오차가 더욱 커질 수 있다(Shin 등 2014). 따라서 Shin 등(2014)은 보다 정밀한 증산량 추정을 위 하여 광도 보정식을 적용한 바 있다.
실제로 시설재배를 위한 작물의 수분 사용량 추정은 농가의 시설 용량 설정에 매우 중요한 요인이 될 수 있 으므로 보다 정밀한 수분 사용량의 계산이 요구된다. 일 반적으로 파프리카의 경우 배지의 염류집적을 피하기 위 하여 배지에 따른 배액율을 기준으로 관수량을 설정하고 있으며, 작물 개체 기준의 관수량과 재배시설 규모에 의 해 전체 관수량이 결정된다(Ucar 등, 2011; Zeng 등, 2009). 우리나라의 경우 계절간 광주기의 편차가 크고, 지역간 일중 누적 광량이 다르므로 지역에 따른 기후 데이터를 활용한 재배시설 규모와 재배조건에 맞는 체계 적인 관수관리 기술과 관수시설 설치기준의 제시가 요구 된다. 최근 시설재배에 양액을 재사용하여 작물을 재배 하는 순환식 수경재배 방법이 적용됨에 따라 관수시설 설비의 규모는 축소될 수 있는 가능성이 있지만(Ehret 등, 2005; Raviv 등, 1998; Zekki 등, 1996), 이와 같은 관수설비의 설치를 위한 설정 기준은 아직 정비되어 않 다. 따라서 본 연구에서는 파프리카의 재배에 적합한 증 산 예측을 통하여 작물의 수분 이용량을 추정하고, 각 지역의 환경조건에 적합한 관수량을 제시하고자 하였다. 또한 대표 지역의 관수시설의 설비기준 용량을 제시하고 자 하였다.
재료 및 방법
1. 증산량 추정
증산량은 Penman-Monteith의 증발산 모델을 파프리카 에 맞게 변형한 Shin 등(2014)에 의한 증산량 추정식을 이용하여 추정하였다(Eq. 1).
식에서 계수 a, b, k 는 각각 0.26, 0.09kg/day, 0.84 이며, 기본적으로 LAI(m2/m2)는 파프리카에서 과실 생산 을 위한 목표 엽면적인 3을 기준으로 작물 1개체의 증 산량을 추정하였다. LAI는 증산에 영향을 주는 주요 변 수 중에 하나이므로 LAI의 증가에 따른 증산량의 변화 를 추정하였다. 작물의 재식 간격은 3주/m2로 설정하였 다. 수증기압포차(VPD, vapor pressure deficit)는 파프리 카 재배의 온실환경 관리 기준에 따라 Eq. 2를 이용하 여 계산하였으며, 범위는 0-0.040kPa이었고, 파프리카 재 배의 제어 기준인 26°C, 80% 수준에서의 VPD값 0.019kPa를 증산 추정에 사용하였다.
광도(RAD, radiation)는 기상데이터를 활용하였으며, 기상청으로부터 총수평면 일사량(MJ/m2) 데이터를 제공 받아 증산 추정에 이용하였다. 일 중의 광도 변화에 따 른 보정은 여름기간(2013년6월~2013년 8월)과 겨울기간 (2013년 12월~2014년 2월)에 서울대학교 부속실험농장( 수원)에서 측정한 광도 데이터에 Shin 등(2014)의 연구 결과에 따른 보정식을 적용하여 보정 계수를 산출하고 여름 기간의 증산 추정에 사용하였다.
2. 관수량 설정
작물에 공급하는 관수량은 작물의 증산량을 필요수량 으로 간주하고, 이에 따른 배액율을 기준으로 설정하였 다. 배지의 염류집적을 최소화하기 위하여 양분 공급량 의 30%가 배액으로 배출되도록 양분 공급량을 계산하였 다. 양분 공급량은 증산량(Tr)과 배액량(Dr)의 합이므로 다음의 식에 의하여 작물 증산량에 따른 양분공급량을 계산하였다(Eq. 3).
따라서 위의 증산량 추정식에서 예측한 작물 증산량의 1.43배에 해당하는 양분을 공급하는 것을 관수의 기준으 로 설정하였고, 배액율의 기준은 일누적 관수량에 대한 일누적 배액량을 총량 비율로 계산하였다. 위에서 언급 한 내용과 마찬가지로 증산량 추정을 위한 LAI와 VPD 변수는 각각 3m2/m2 와 0.019kPa를 기준으로 계절별 관수량을 계산하였고, 관수량이 최대가 될 수 있는 경우 는 각각 6m2/m2 와 0.040kPa일 경우를 가정하여 최대 관수량을 산정하였다. 그리고 앞서 언급한 기준에 따라 기상데이터를 활용하여 지역에 따른 주당 일별 관수량을 계산하였다.
3. 지역 별 증산량 추정과 관수량 설정
전체 관수 기준 제시를 위하여 기상청의 1981년 1월 1일부터 2010년 12년 31월까지 기간 동안의 일사량 관 측이 가능한 관측소가 위치한 서울, 인천, 수원, 대전, 광주, 부산, 제주, 울릉도 외 65 지점(총 73개 지점)의 일조시간(hr)과 총수평면 일사량(MJ/m2) 데이터를 평균 하여 각 지역별 증산량 추정과 관수기준 제시에 사용하 였다. 또한 우리나라의 경우 계절 별 광주기에 따른 관 수 적용시간이 다르게 적용되므로 봄(3~5월), 여름(6~8 월), 가을(9~11월), 겨울(12~2월)의 4계절로 구분하여 데 이터를 제시하였다. 추정된 증산량과 위에서 설정한 관 수 기준에 따른 지역 별 데이터는 Surfer 10 (Golden Software, USA) 프로그램을 활용하여 등고선 형태의 그 림으로 나타내었다.
4. 재배규모에 따른 관수시설 설치 기준
관수시설의 경우 재배면적과 재식밀도 및 작물의 생육 단계가 시설 장비의 용량 결정에 큰 영향을 준다. 따라 서 기본적으로 10a 면적에 일반적인 상업농가에서의 재 식밀도인 3주/m2 간격으로 파프리카를 재식하여 순환식 수경재배 방식에 따라 재배한 경우를 기본으로 하여 대 표적인 12개 지역(서울, 춘천, 대관령, 강릉, 수원, 군산, 전주, 제주, 창원, 진주, 정읍, 구미)의 관수시설 장비 설 치 기준을 제시하고자 하였다. 순환식 수경재배 방식의 적용에 따라 최대 5회 관수 공급을 위한 탱크 용량과 재사용 양액의 처리용량을 관수시설 장비 설치기준 항목 으로 설정하였다. 작물의 생육단계는 엽면적이 최대 6m2/m2 가 되었을 경우를 가정하여 최대 관수량을 설정 하였다. 우리나라의 경우 계절에 따라 광주기가 다르므 로 관수 적용 기간이 다르게 적용된다. 따라서 전국(73 지점)의 월별 일조시간(hr) 데이터(Fig. 1)를 이용하여 일 조시간이 가장 긴 5월을 최대 관수시설 설치기준에 적 용하였다.
결과 및 고찰
1. 증산량 추정
시설환경 내에서 서로 다른 8, 12, 16MJ/m2/day의 광 도 수준에 대한 증산과 LAI의 관계는 Fig. 2와 같다. 일 반적으로 광도의 증가에 대한 증산의 변화는 Eq. 1에서 와 같이 비례적인 관계로 증가하였다. 온도와 습도에 의 한 VPD는 Eq. 2에서와 같이 온도가 상승할수록, 상대습 도가 감소할수록 증가하였다. 그러나 이와 같은 VPD가 전체 증산량에 기여하는 정도는 0.1% 미만이므로 온도 와 습도가 목표 범위에서 유지되는 시설재배 환경에서 증산 추정을 위한 VPD항은 무시할 수 있는 수준이라 사료되었다.
LAI가 증가함에 따라 증산 또한 증가하는 경향을 보 였으나, LAI 3m2/m2 이상의 수준에서는 그 증가 폭이 두 드러지게 감소하였다(Fig. 2). 이는 Hellemans(2006)이 보 고한 바와 같이 수직 생장을 하는 파프리카 작물의 특성 상 작물이 생육함에 따라 군락내의 광투과량이 감소하여 증산의 증가율 또한 감소한 것으로 판단된다. 또한 작물 의 생장에 따른 하엽의 증산효율이 떨어지므로 증산량 증 가율의 감소폭이 더욱 커졌다고 할 수 있다(Hellemans, 2006). 따라서 파프리카 작물의 증산 추정에서 환경변수 이외에 작물의 생육변수도 증산량의 변화에 깊이 관여하 므로 중요하게 고려되어야 할 사항으로 간주된다.
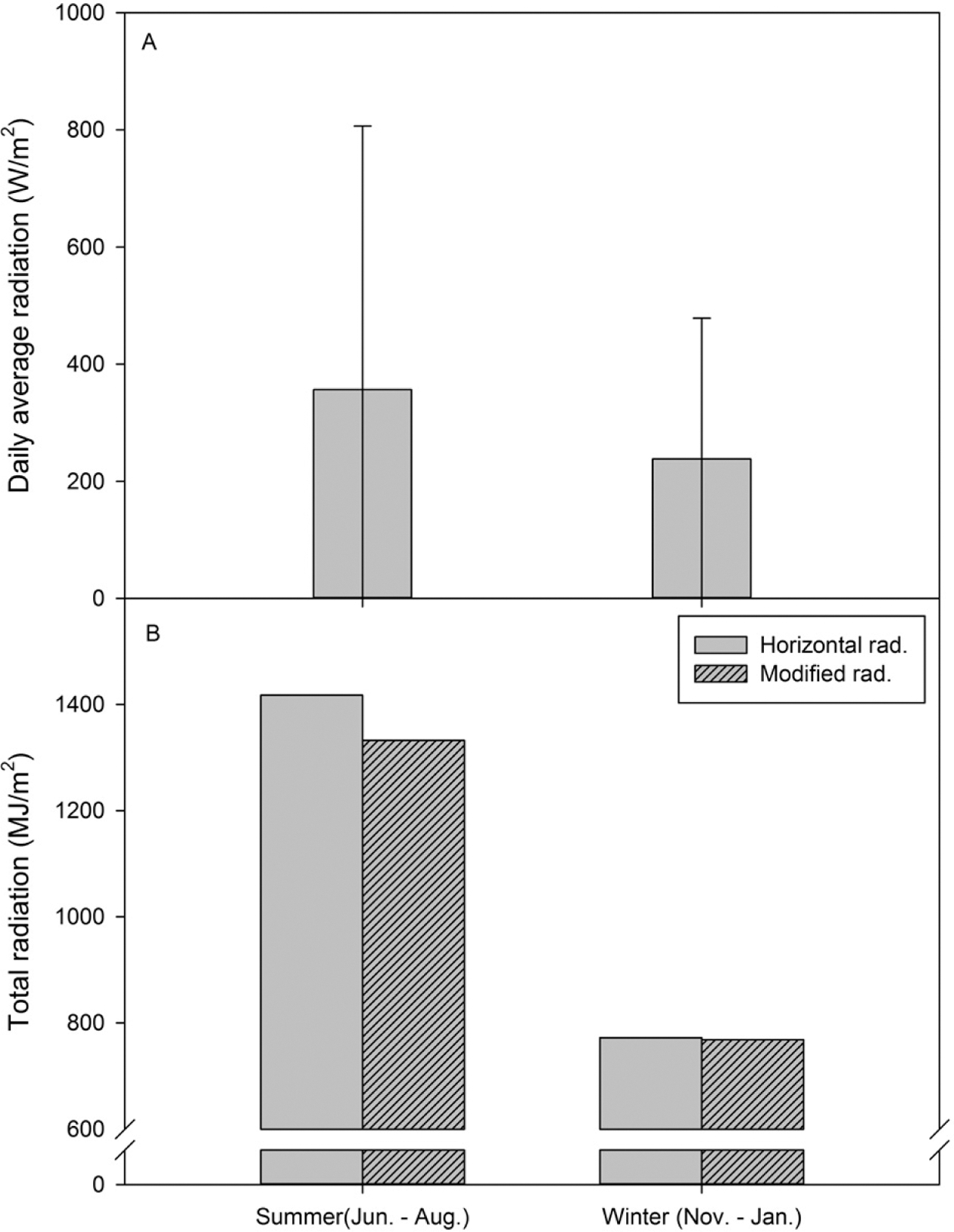
여름철(6-8월)과 겨울철(12-2월) 일평균 광도와 광도의 편차는 여름철이 겨울철에 비해 크게 나타났다(Fig. 3A). 우리나라의 경우 여름과 겨울철 광주기가 달라 총 누적 광량이 다르고, 여름철 태양고도가 높고 상대적으 로 겨울철에 비해 구름의 양이 적기 때문에(Blanke, 2007; Kwon 등, 2008) 하루 중의 광도 편차가 여름철에 더욱 크게 나타난 것으로 생각된다. 같은 기간 동안의 누적 광량 비교에서도 여름철이 겨울철에 비해 높게 나 타났다(Fig. 3B). 그러나 Shin 등(2014)이 보고한 바와 같이 실제 증산에 기여하는 광도수준에서의 비교는 계절 적 차이가 수평면일사량 기준의 누적광량 만큼 크지 않 았다. 상대적으로 광도 편차가 적은 겨울철에는 그 차이 가 크지 않았지만, 그 반대의 경우인 여름철 누적 수평 일사량(Horizontal rad) 과 Shin 등(2014)의 보정식에 의 한 수정된 누적일사량(Modified rad)은 6%까지 차이를 보였다(Fig. 3B). 즉, 작물이 실제 사용하는 수분량을 정 확하게 예측하기 위해서는 계절 별 증산추정의 주요 환 경변수인 광도에 대한 보정이 요구된다. 본 실험에서는 앞서 언급한 내용과 같이 계절에 따른 보정된 광도의 적용으로 증산량을 기존의 증산추정 방법보다 정확하게 추정하였다고 할 수 있다.
2. 지역 별 증산량 추정
우리나라의 30년 연평균 광도 데이터를 이용하여 계절 별로 증산량을 비교한 결과, 전반적으로 증산량은 봄(3- 5월)에 가장 높았으며 겨울(12-2월)이 가장 낮았고 여름 에 비해 가을(9-11월)이 다소 높았다(Fig. 4). 총 누적 광 량은 여름(6-8월)이 가장 많았으나 고광도에 의한 증산 효율의 저하와 여름철 장마로(Kwon, 2008) 인해 실제 증산량은 봄(3-5월)에 가장 크게 나타난 것으로 판단된 다. 또한 봄과 가을은 각각 춘분과 추분을 기준으로 광 주기가 길어지고 짧아짐에 따라 봄이 가을에 비해 증산 량이 많은 것으로 판단된다. 일조가 좋지 못하고 광주기 또한 짧은 우리나라의 겨울철 기후 특성 때문에(Blanke, 2007), 겨울이 사계절 중 작물의 증산은 가장 적었고 지 역간의 편차도 크지 않았던 시기인 것으로 사료된다. 이 상의 결과로 미루어 볼 때, 계절의 구분과 지형의 특성 에 따라 우리나라에서 대표적으로 행해지는 파프리카 재 배의 두 가지 작기 유형 중 겨울에 파종하여 봄부터 수 확에 들어가는 여름 작기는 강원도 일부 지역, 서해안 지역, 그리고 경상북부 일부 지역이 적합할 것으로 사료 되며, 이와 대조적인 겨울 작기의 경우 경상남부 일부 지역과 동해안 일부 지역이 적합할 것으로 판단되었다.
3. 지역 별 관수량 설정
Fig. 4의 증산량 추정 데이터와 30년간의 연평균 광도 데이터를 이용하여 배액율(30%) 기준 관수 제어를 할 경우 연평균 작물 1주당 공급해 주어야 될 관수량을 지 역별로 구분하여 계절별로 표시하면 Fig. 5A와 같다. 관 수량 데이터의 경우 Fig. 4의 지역별 증산량 데이터와 유사한 경향을 보였다. 제주도와 울릉도를 제외한 내륙 지역의 경우 작물 1주당 공급해 주어야 할 수분의 0.55- 0.90kg 범위에서 지역 별로 차이를 보였다. 이를 통해 작물에게 공급해 주어야 할 수분량은 지역별로 최대 164%까지도 차이가 나는 것을 알 수 있었으며, 이로 인 해 환경 데이터를 이용한 정밀한 관수조절이 필요하다.
Fig. 5B는 1년 중 증산효율이 가장 높은 5월(Fig. 1)의 증산량 데이터를 이용하여 작물 1주당 공급해 주어야 될 관수량을 지역 별로 구분하여 계절 별로 나타내었다. 연평균 데이터에 비하여 지역간 작물 1주당 필요수량의 편차가 크게 나타났고, 제주도와 울릉도를 제외한 내륙 의 데이터간 차이는 최대 173%까지 차이를 보였다. 이 와 같은 데이터는 관수시설 설비용량 결정을 위한 주요 한 데이터로 활용이 될 것으로 판단되고, 시설 설비에 있어서 작물의 필요수량을 충분히 고려한 적절한 시설 용량의 설치기준이 지역별로 다르게 적용되어야 함을 시 사한다. 또한 이와 같은 데이터는 실제 시설의 설계에 있어 참고 자료로 활용될 수 있을 것으로 사료된다.
4. 관수시설 설계기준
위에서 제시된 최대 관수량 기준에 따라 대표 12개 지 역별 10a 기준 양액 재사용 파프리카 재배 농가에 요구되 는 양액공급 시설의 양액탱크 용량과 재사용 양액의 처리 용량을 정리하면 Table 1과 같다. 재사용 양액 공급시설의 경우 공급된 양액이 배액된 후에 살균 및 정제 과정을 거 치기 까지 시간이 걸리므로(Ahn과 Son, 2011), 이를 고려 하여 5회 관수를 일시에 할 수 있도록 탱크 용량이 제시 되었다. 또한 이 시기 동안 재처리 해야 될 배액의 양과 시간을 고려하여 재사용 양액의 처리용량이 제시되었다 (Table 1). 그러나 배액량 기준 관수조절에서 배액량을 상 향 조정할 경우, 위의 기준은 수정될 필요가 있으나, 관행 으로 이용되고 있는 배지의 염류집적을 피하기 위한 30% 배액율 기준 관수조절을 할 경우 제시된 데이터는 최소 요구 설정 범위라 볼 수 있다. 이 또한 관수 설정을 위한 다양한 작물의 데이터베이스 축적이 필요함과 마찬가지로 관수방법과 배지의 특성을 고려한 관수공급 설비 기준에 대한 연구가 앞으로 더욱 필요할 것으로 판단된다.







