서 론
재료 및 방법
1. 상토의 조제
2. 상토의 물리・화학성 분석
3. 딸기 자묘 관리 및 생육조사
4. 통계처리
결과 및 고찰
1. 소재별 혼합 비율에 따른 상토의 물리성
2. 소재별 혼합비율에 따른 상토의 화학성
3. 상토 소재별 혼합비율에 따른 ‘설향’ 자묘의 생육특성
서 론
딸기(fragaria ananassa Duch.)는 장미과의 다년생 영양번식 식물로 풍미가 좋고 영양소가 풍부하여 세계적으로 호평 받고 있으며, 특히 비타민 C가 풍부해 하루 섭취량에 가까운 60mg/100g 정도로 높게 함유되어 있는 작물이다. 딸기의 국내 시설재배 면적은 2018년 6,062ha, 2019년 6,462ha, 2020년 5,683ha로 국내 과채류 중 3번째로 많은 면적을 차지하고 있다(RDA, 2019). 특히, 국내육성 품종인 ‘설향’은 다른 품종과 비교하여 저온 신장성이 강하고 기형과 발생률이 적으며 흰가루병에 대한 저항성이 강하여 다수확 내병성 품종으로 재배가 용이하여 타작물보다 재배면적 2010년 56%에서 2019년 기준 88%로 빠르게 국산화가 이루어졌다(RDA, 2019).
딸기는 영양생장을 통해 번식하며 자묘는 모주로부터 런너(runner)를 통하여 양수분의 공급이 이루어진다(Saito 등, 2008; Kim 등, 2017). 따라서 딸기 육묘는 모주를 정식하고 이후 발생한 런너를 고정시켜 자묘를 채취하는 방식이다(RDA, 2008). 하지만 국내 딸기 육묘는 여름철 고온 다습한 환경에서 이루어지기 때문에 탄저병, 등의 병해충예방과 화아분화 촉진을 위해 비가림 시설을 이용한 고설식 포트 육묘방식이 최근 크게 증가하고 있으며(Park 등, 2015), 포트 육묘 방식이 늘어나면서 상토의 수요도 증가하고 있다.
상토 소재의 배합에 따라 토양의 물리성 및 화학성의 유의한 차이가 발생하며, 이는 식물의 생육에 큰 영향을 미친다(Choi 등, 2010; Kuboda, 1987). 상토의 주재료는 코코피트, 피트모스, 펄라이트, 암면, 마사토 등이 사용되고 있지만 원자재 가격이 지속적으로 상승함에 따라 묘 생산원가의 20-30%를 차지하기 때문에 농가의 경제성 향상을 위하여 상토의 재활용 등을 통한 원가절감이 절실히 필요한 실정이다(Byun 등, 2012). 암면은 공극률, 보수성 등이 우수하여 수경재배 배지로 많이 활용되고 있지만, 재배 농가에서는 재사용 시 병원균 등의 오염을 염려하여 배지를 교체하는 경우가 많다(Jun 등, 2007). 이렇게 폐기되는 암면은 처리시 많은 비용 부담이 발생하고 이로 인하여 들에 방치하거나 논에 환원하기도 하지만 환경문제 또는 인체 안정성 문제 등으로 폐기 시 어려움을 겪고 있다.
이에 폐기된 암면을 재사용할 수 있는 방안에 대하여 다방면으로 연구가 수행되었으나(Kim 등, 2009), 연구 수준에서 수행되었으며 현장 적용은 미흡한 실정이다. 본 연구는 현장에서 많이 사용되고 있는 ‘설향’ 품종을 이용하여 딸기 육묘 시 농가의 경제적 부담을 해소하고자 원예용 상토의 비중을 줄이고 재활용 암면과 마사토를 다양한 비율로 혼합하였을 때, 상토의 물리·화학성 및 자묘의 생육에 미치는 영향을 알아보고자 수행되었다.
재료 및 방법
1. 상토의 조제
본 연구는 전라북도 익산에 위치한 원광대학교 원예산업학과 실습 포장 내 연동형 플라스틱필름 온실(면적 280m2, 규격: 7m(W) × 40m(L) × 5.9m(H), 피복재: PO필름)에서 수행되었다. 공시품종은 ‘설향’이었고, 2021년 4월 6일부터 9월 17일까지 수행하였다. 육묘에 사용된 상토는 1년간 토마토 재배 후 폐기된 암면을 풍건하여 분쇄한 재활용 암면(reused rockwool)과 마사토(decomposed granite) 및 원예용 상토(horticultural media, Cocopeat: Perlite = 60%:40%, Chamjon Hohyunbio Co., Korea)를 혼합하여 사용하였다. 혼합비율(v:v:v)은 대조구(control), 원예용상토:마사토:재사용암면 = 100:0:0, 원예용상토:마사토:재사용암면 = 80:0:20(M1), 재활용 암면:마사토:원예용 상토 = 60:30:10(M2), 원예용상토:마사토:재사용암면 = 40:30:40(M3), 원예용상토:마사토:재사용암면 = 30: 40:30(M4), 원예용상토:마사토:재사용암면 = 0:50:50(M5)으로 혼합하였으며(Fig. 1), 딸기 육묘용 포트(24구, Jinwol Industry Co., Korea)를 이용하여 고설 육묘베드(폭 1.4m × 길이 40m × 높이 85cm)에 난괴법으로 10반복 배치하였다.
2. 상토의 물리・화학성 분석
혼합된 상토는 농촌진흥청에서 제시한 상토표준분석법(RDA, 2002)에 준하여 105℃ 건조기에서 건조시킨 다음 determination sand box (Model pF 0-2.0, Eijekelkamp Agriresrch Equipment, the Netherlands)를 이용해 ‒1~‒5kPa의 장력 하에 존재하는 유효수분(easily available water, EAW)과 ‒5~‒10kPa의 장력 하에 존재하는 완충수분(water buffering capacity, WBC), 용적밀도(bulk density), 입자밀도(paticle density), 공극률(total porosity), 기상률(air porosity), 용적수분함량(container capacity), 수분보유곡선, 기상확보곡선, 수분장력(pptimal matric potential, OMP) 등 물리성을 분석하였다. 화학성 분석은 농촌진흥청의 상토표준분석법(2002)과 경기도 농업기술원 토양 및 퇴비 분석법(2009)에 따라 pH와 EC를 측정하였고, 유기물 함량과 유효인산(P2O5), 암모니아태 질소(NH4-N)와 질산태 질소(NO3-N), 치환성 양이온(K, Ca, Na, Mg) 및 염기치환용량(cation exchange capacity, CEC)을 분석하였다. 처리별 5반복으로 분석하였다.
3. 딸기 자묘 관리 및 생육조사
‘설향’ 모주는 2020년 원광대학교 플라스틱 연동온실에서 삽목하여 휴면을 충족시킨 후 다음 해 2021년 4월 6일 모주용 상토(펄라이트+코이어+수도용 경량상토의 혼합비율 2:2:1)로 조제하여 고설식 육묘 베드에 충전하고 주간 15cm 간격으로 정식하였다. 배양액은 한국원시표준배양액 처방에 따라 급액은 EC 0.8-1.0dS·m-1, pH 6.0-6.2 범위로 조정하여 양액자동공급기(KOASIS, Seowon Co., Korea)를 이용하여 일일 4-5회 공급하였다. 모주로부터 자묘 생산은 5월 중순부터 7월 말까지 육묘 포트에 핀을 이용하여 고정하였고, 양∙수분 공급은 모주의 배양액을 이용 EC 0.5-0.80dS·m-1 로 조절하여 공급하였다. 8월 6일 모주로부터 런너를 절단하여 별도 관리한 후 9월 17일 60일 이상 경과된 식물체를 수확하여 생육조사를 실시하였다. 초장, 엽수, 엽병장, 엽면적, SPAD value는 식물체의 가장 긴 잎을 측정하였다. 크라운 직경은 버니어 캘리퍼스(CD-20APX, Mitutoyo Corp., Japan)를 사용하여 측정하였고, SPAD value는 엽록소측정기(Model-502 plus, Minolta Camera Co., Japan)를 이용하여 초장을 측정한 잎의 3엽을 각각 측정하여 평균값을 계산하였다. 엽면적은 식물체 줄기에서 분리한 모든 잎을 엽면적측정기(Li-3100 Area meter, LI-COR Inc., USA)를 이용하여 측정하였으며, 뿌리는 상토를 제거하고 세척하여 길이, 생체중 및 건물중을 조사하였다.
4. 통계처리
유의성 검정은 각 처리마다 3반복 값으로 SAS package (Statistical Analysis System, version 9.4, SAS Institute Inc., USA)를 이용하여 95% 유의수준에서 Duncan’s multiple range test(DMRT)로 분석하였다.
결과 및 고찰
1. 소재별 혼합 비율에 따른 상토의 물리성
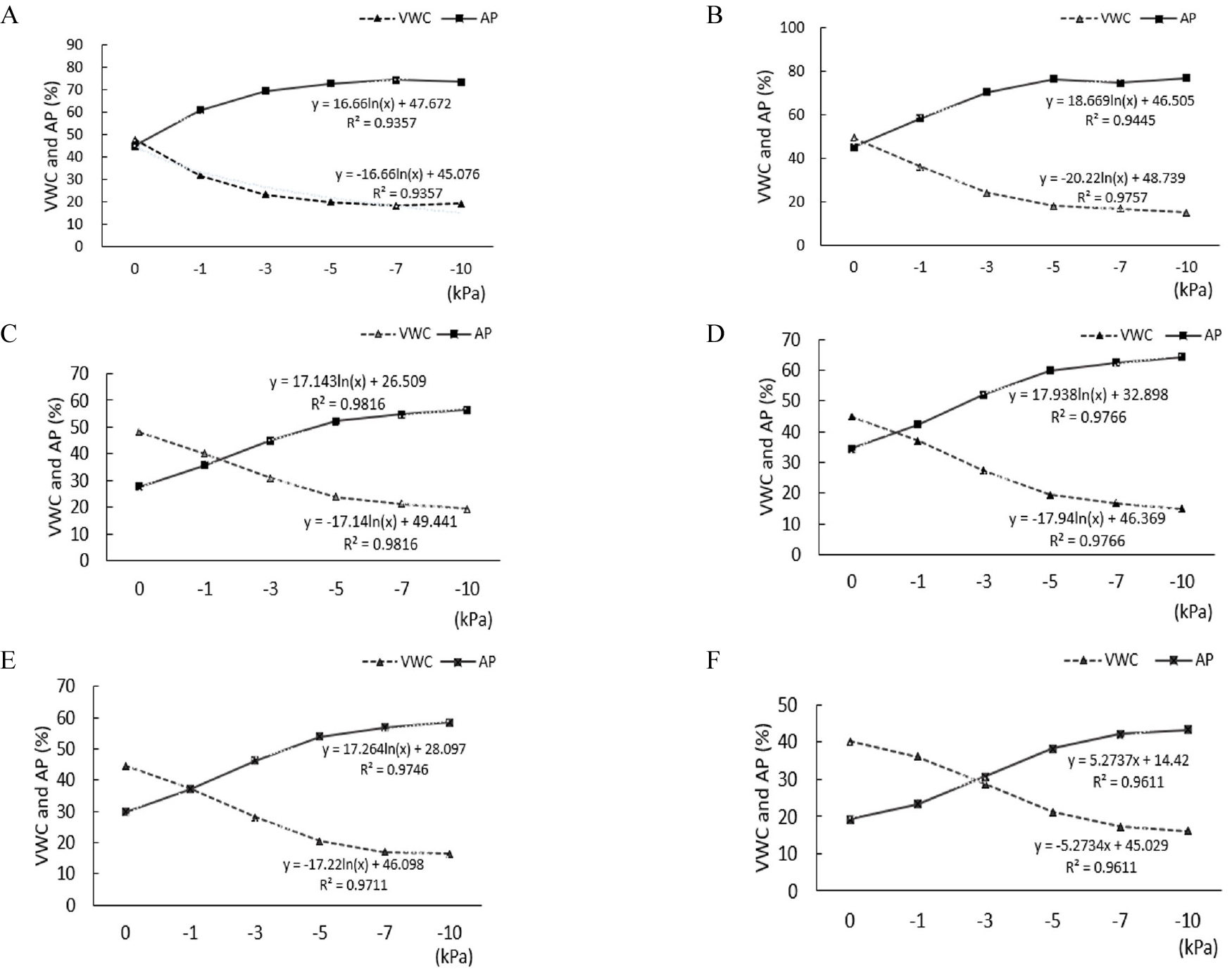
소재별 혼합비율에 따른 상토의 물리성을 살펴보면(Table 1), 상토의 용적밀도는 유의한 차이를 나타내었다. 대조구에서 0.07mg·m-3로 가장 낮았으며 M5(0.69) > M4(0.48) > M2 (0.42) > M3(0.36mg·m-3) 순으로 재활용 암면과 마사토의 비율과 정의 상관 관계를 나타내었다. 이는 상토를 토양의 부피에 따라 조제하였으며 부피당 무게가 무거운 마사토의 비율에 따라 나타난 결과로 생각된다(Byeon 등, 2001). 입자밀도는 대조구에서 0.95mg·m-3로 M2-M5의 1.73-1.89mg·m-3보다 낮았으며, 용적밀도와 동일한 경향을 나타내었다. 반면 공극률은 원예용 상토의 비율이 높았던 대조구와 M1에서 각각 92.75%, 94.50%로 다른 처리구에 비해서 높았다. De Boodt와 Verdonck(1972)는 식물 생육에 적합한 공극률과 기상률은 각각 85% 이상, 20-30%라고 보고하였는데, 대조구와 M1이 공극률에서는 적정 범위를 보였지만 기상률에서 각각 44.92%, 45.03%로 De Boodt와 Verdonck(1972)가 제시한 범위보다 높았다. 대조구 및 M1 처리의 기상률이 높았던 것은 펄라이트가 40% 혼합된 원예용 상토의 비율이 높아 큰 입경이 공극률을 높게 하였기 때문으로 생각된다. 재활용 암면과 마사토가 혼합된 M2-M4의 공극률은 74.24-78.83%로 적정범위보다 약간 낮았으나 기상률은 27.72-33.14%로 De Boodt와 Verdonck(1972)가 보고한 적정 범위를 보였다. 이와 같은 결과는 일반적으로 암면은 공극률이 매우 높지만 본 연구에 사용된 암면은 재사용 암면으로 암면 내 잔류된 식물의 지하부로 인하여 공극이 다소 낮아졌으며, 공극률이 낮은 마사토가 혼합되었기 때문에 나타난 결과로 생각된다. 따라서 재활용 암면을 현장에서 활용하고자 암면의 재사용에 따른 물리성 변화에 대한 보다 세밀한 연구가 필요할 것으로 생각된다.
상토가 보유한 수분 중 유효수분(easily available water, EAW, ‒1~‒5kPa)과 완충수분(water buffering capacity, WBC, ‒5~‒10kPa)에서 유의한 차이가 있었다. 유효수분은 대조구에서 11.7%로 재활용 암면과 마사토를 혼합한 배지 M2-M5의 16.2%-18.1%보다 낮았으며, 완충수분 또한 0.82%로 유효수분과 같이 M2-M5의 2.58%-3.93%보다 뚜렷하게 낮은 경향을 보였다(Table 1). 이는 원예용 상토를 구성하는 펄라이트로 인하여 통기성은 증가하고 보수성이 감소했기 때문으로 생각된다. 용적수분함량과 기상률 관계에서 용적수분함량은 압력의 차이에서 상토 간 큰 변화가 없었던 반면 기상률은 압력이 낮아질수록 높아졌다(Fig. 2). 최적수분함량(optimal matric potential, OMP) 분석 결과, 대조구에서 pF 0.94, M1에서 pF 1.0이었고, M2-M5에서는 pF 1.5-2.4로 차이를 나타냈다(Table 1). Kim 등(2002)이 보고한 바에 의하면 최적수분함량의 값이 낮을수록 수분과 고상입자 사이의 결합력이 낮아지며, 작물의 수분 이용이 원활하며, 반대로 최적수분함량이 높으면 수분과 고상 입자 사이의 결합력이 커서 상토가 수분을 가지고 있지만 식물이 수분을 쉽게 이용할 수 없는 특성을 가진다고 하였다. 본 연구 결과는 상토의 소재에 따라 처리 간 유의한 물리성 차이를 나타내었으나 모든 처리에서 식물이 이용할 수 있는 수분 범위에 수용되어 어려움이 없을 것으로 생각된다. 혼합된 상토의 물리성만을 고려한다면 원예용 상토에 재활용 암면과 마사토를 적절히 혼합하였을 때 공극률, 기상률 등이 완충되어 수분관리 시 용이할 것으로 판단된다.
Table 1.
Burk density, particle density, EAW, WBC, total porosity, air porosity, and container capacity of different mixed media.
|
Mixed mediaz | Bulk density | Particle density | EAWy | WBCx | Total porosity | Air porosity | Container capacity | Optimal matric potential | ||
| (mg·m-3) | (%) | (pF) | ||||||||
| Control | 0.07 dw | 0.95 c | 11.77 b | 0.83 e | 92.75 a | 44.92 a | 47.83 a | 0.94 d | ||
| M1 | 0.08 d | 1.40 b | 17.96 a | 1.31 d | 94.50 a | 45.03 a | 49.46 a | 1.09 cd | ||
| M2 | 0.42 bc | 1.74 a | 16.22 a | 2.58 c | 75.95 b | 27.72 b | 48.24 a | 1.93 b | ||
| M3 | 0.36 c | 1.73 a | 18.01 a | 2.69 bc | 78.83 b | 33.14 b | 45.69 a | 1.52 bc | ||
| M4 | 0.48 b | 1.89 a | 16.84 a | 2.87 b | 74.24 b | 31.41 b | 43.50 a | 1.68 b | ||
| M5 | 0.69 a | 1.80 a | 16.81 a | 3.93 a | 61.39 c | 17.78 c | 43.61 a | 2.45 a | ||

Fig. 2.
Changes in volumetric physical characteristic (VWC) and air porosity (AP) of six mixed media: (A) control, (B) M1, (C) M2, (D) M3, (E) M4, and (F) M5 at different pressures of 0, ‒1, ‒3, ‒5, ‒7, ‒10 kPa. Control, 100:0:0; M1, 80:0:20; M2, 60:30:10; M3, 40:30:30; M4, 30:40:30; M5, 0:50:50 (horticultural media : decomposed granite : reused rockwool).
2. 소재별 혼합비율에 따른 상토의 화학성
소재별 혼합비율에 따른 상토의 화학성을 살펴보면, pH는 M5에서 6.7로 가장 높았고 M2에서 5.6으로 가장 낮았다. 작물 재배 시 적정 pH 범위는 5.6-6.5인 점을 감안할 때 M2처리에서 다소 높았으나 pH로 인한 생육에 영향을 미칠 수준은 아니라 판단되며 이를 조절하기 위하여 별도의 조치는 필요하지 않을 것으로 판단된다. EC 분석 결과, M1에서 0.80dS·m-1 로 다른 처리구의 EC 0.43-0.50dS·m-1에 비해 유의하게 높았다(Fig. 3). 이는 상토별 소재의 비율을 고려하였을 때, 상토의 배합보다는 EC 측정 과정에서 나타난 문제로 생각된다. 또한, 딸기 자묘 육성에서 EC가 1.0 미만일 때 묘 소질 측면에서 유리하다는 연구 결과(Kim 등, 2018)에 따라 모든 처리의 EC는 딸기 육묘에 적정범위인 것으로 생각된다. 자묘의 수확 후 생체중, 건물중에서 유의한 차이를 나타내지 않았는데, 이를 고려할 때, 상토의 처리별 pH 및 EC 값이 적정수준이었기 때문으로 생각된다(Tsukagoshi 등, 1994).

Fig. 3.
pH (A) and EC (B) of different mixed media used in the experiment. The letters on each column indicate significant difference by Duncan’s multiple range test at p ≤ 0.05. Control, 100:0:0; M1, 80:0:20; M2, 60:30:10; M3, 40:30:30; M4, 30:40:30; M5, 0:50:50 (horticultural media : decomposed granite : reused rockwool).
유기물 함량 분석에서 원예용 상토의 비율이 높았던 대조구와 M1에서 각각 48.7% > 33.8% 순으로 높았으며, 재활용 암면과 마사토의 비율이 높아질수록 M2(7.8) > M3(5.8) > M5(1.6%)로 유기물 함량이 급격히 낮았다. 이와 같은 결과는 원예용 상토의 코코피트로 인한 유기질 차이에 기인한 것으로 무기질인 재활용 암면과 마사토의 비율이 높아짐에 따라 유기물 함량이 감소한 것으로 생각된다. 암모니아태 질소(NH4-N)와 치환성 양이온(K, Ca, Na, Mg) 및 염기치환용량(cation exchange capacity)의 결과는 같은 경향을 보였는데 원예용 상토 대조구에서 가장 높았으며 다음으로 M1이 높았고 재활용 암면과 마사토가 혼합된 M2-M5는 상대적으로 낮았다(Table 2). 이유는 유기물 함량 분석 결과에 비추어 원예용 상토의 코코피트에 내재된 질소 및 양이온에 의한 결과로 생각된다.
Table 2.
NH4-N, NO3-N, K+, Ca2+, Na+, and Mg2+ contents and cation exchange capacities (CEC) of different mixed media.
| Mixed mediaz | NH4+-N | NO3--N | K+ | Ca2+ | Na+ | Mg2+ | CEC | |
| (mg‧L-1) | (cmol+·L-1) | |||||||
| Control | 16.28 by | 30.07 d | 23.94 a | 46.32 a | 38.24 a | 24.65 a | 135.14 a | |
| M1 | 18.13 a | 95.52 ab | 21.78 b | 45.14 a | 36.03 b | 22.29 b | 127.24 b | |
| M2 | 9.37 c | 50.38 c | 15.70 c | 39.03 c | 30.41 e | 17.64 d | 104.78 e | |
| M3 | 10.27 c | 98.32 a | 16.67 c | 39.94 c | 31.74 de | 18.07 d | 108.41 de | |
| M4 | 8.57 cd | 96.53 ab | 17.34 c | 41.83 b | 34.50 bc | 19.90 c | 115.57 c | |
| M5 | 7.61 d | 94.19 b | 17.03 c | 40.27 bc | 33.15 cd | 18.74 cd | 111.19 cd | |
3. 상토 소재별 혼합비율에 따른 ‘설향’ 자묘의 생육특성
초장은 대조구와 M1에서 각각 31.9cm 및 32.1cm로 다른 처리구에 비해 길었고, 재활용 암면과 마사토가 혼합된 M4는 28.4cm로 가장 작았다. 나머지 처리에서는 유의한 차이를 나타내지 않았다(Table 3, Fig. 4). 그러나 Choi 등(2010)이 딸기 묘의 소질을 판단할 때, 초장보다는 크라운 직경, 무병주, 생체중 및 건물중을 중요한 요인으로 보고하였던 것을 고려할 때, 크라운 직경은 상토별에 따라 11.23mm-12.03mm 범위로 모든 처리에서 유의한 차이를 나타내지 않았으며, 자묘의 생육에 적합하다고 판단된다.
상토별 SPAD value는 대조구에서 42.92로 높았고 M2에서 40.09로 낮았으며 다른 처리구는 41.30-41.72로 비슷하였다. Choi 등(2010)은 SPAD value가 식물체 내 질소 함량에 대한 간접적인 지표로 추측할 때 40보다 높으면 질소 함량이 높아 탄저병 등 발생률이 많아 SPAD value 값이 낮은 것이 병해 발생을 억제하는 데 유리하다고 보고하였는데, 본 연구에서는 모든 배지에서 40보다 높았다. 이와 같이 SPAD value가 40보다 높았던 이유는 육묘 중 배양액 공급량과 EC 변화에서 축적된 것으로 생각된다.
Table 3.
Growth characteristics of runner plants as affected by different mixed media for ‘Seolhyang’ strawberry at 165 days after transplanting.
| Mixed mediaz |
Plant height (cm) |
No. of leaves (/plant) |
Petiole length (cm) |
Leaf area (cm2/plant) |
SPAD value |
Crown diameter (mm) |
Fresh weight (g/plant) |
Dry weight (g/plant) | |||
| Shoot | Root | Shoot | Root | ||||||||
| Control | 31.9 aby | 7.2 a | 19.5 ab | 709.07 a | 42.92 a | 11.57 a | 20.02 a | 6.10 a | 4.72 a | 0.98 a | |
| M1 | 32.1 a | 7.0 a | 19.6 ab | 709.76 a | 41.69 a | 11.83 a | 20.49 a | 6.20 a | 4.93 a | 1.03 a | |
| M2 | 29.4 cd | 7.3 a | 18.5 ab | 652.12 a | 40.09 a | 11.66 a | 19.81 a | 5.98 a | 4.73 a | 0.92 a | |
| M3 | 30.3 bc | 7.0 a | 18.2 ab | 723.38 a | 41.46 a | 12.03 a | 20.18 a | 6.11 a | 4.51 a | 1.20 a | |
| M4 | 28.4 d | 7.1 a | 17.9 b | 721.55 a | 41.30 a | 11.23 a | 19.65 a | 5.93 a | 4.59 a | 0.95 a | |
| M5 | 31.5 ab | 7.5 a | 19.9 a | 734.20 a | 41.72 a | 11.68 a | 20.27 a | 6.15 a | 4.67 a | 1.11 a | |
자묘의 지상부, 지하부 생체중과 건물중은 모든 처리에서 유의한 차이를 나타내지 않았다. 따라서 재활용 암면과 마사토를 원예용 상토에 혼합하여 딸기 육묘용 배지로 이용하였을 때 자묘의 생육이 농가에서 다용되는 딸기육묘용 상토(Peatmoss + Perlite)의 생육 수준을 나타냄에 따라 상토의 소재에 따라 적정 비율로 혼합하여 사용한다면 원예용 상토 단일 배지보다 물리적 측면에서 수분관리하기에 유리하며, 재활용 소재를 이용함에 따라 농가의 경제성 향상에서 기여할 수 있을 것으로 생각된다.




