서 언
당귀는 지하부를 한약재로 이용하는 작물로서 우리나 라, 일본 중국 등지에서 자라는 미나리과에 속하는 다년 생 초본으로 한국의 참당귀(Angelica gigas)와 중국의 중 국당귀(Angelica sinensis), 일본의 일당귀(Angelica acutiloba)가 있다(Pang and Lee, 1995). 중국당귀와 일 당귀는 vitamin B12를 함유하고 있어 보혈작용이 있으 나, 참당귀는 보혈보다는 활혈효과가 더 크고, 당귀에만 함유되어 있는 주요 약효 성분으로 pyranocoumarine 계 열의 Decursin과 Decursinol angelate가 폐암과 간암 등 암세포에 대한 강한 치사작용을 가진 항암제로 알려져 있다(Son 등, 2009;Kang and Kim, 2007). 이러한 당귀 의 약리작용으로 진통작용(Tanaka 등, 1971), 혈압강하 작용, 해열작용(Ahn 등, 2011), 수면 연장작용, 혈소판 응집 억제작용(Shimizu 등, 1991;Toriizuka 등, 1986) 등이 보고 되었다. 또한 Decursinol 의 화학적 합성에 의한 생산은 그리 어렵지 않으나, 건강기능성 시장에서 는 식물유래의 Decursinol 수요가 매우 높다(Ji 등, 2008).
당귀 생산량은 2013년 재배면적이 620ha에서 약 1900 톤이 생산되고 있으며, 최근에는 건강 기능성 음료 및 식품으로 이용되어 식품용으로 약 200톤 가량이 수입되 었다. 당귀는 재배과정에서 조기에 꽃대가 올라와 추대 되면 뿌리가 목질화되어 품질과 약효성분이 떨어져 약용 으로 이용할 수 없게 된다(Kim 등, 2009). 이러한 생장 특성으로 한국에서는 강원도 고랭지 지역이나 경북의 산 간지대에서 노지재배를 한다. 강원도 평창에서 재배하는 참당귀는 2년 주기로 생산하며, 첫해에 육묘 밭에서 묘 를 길러 이듬해 봄에 본밭으로 옮겨 심고 그 해 가을에 수확을 하기 때문에 생산 기간이 오래 걸린다. 전국 생 산량 70%를 차지하고 있는 강원도 평창은 서늘한 기후 와 해발 400m 이상 준 고랭지의 지리적 요건으로 당귀 생육에 필요한 최적 조건을 갖추고 있다. 따라서, 당귀 는 생산 가능한 지역이 매우 한정적이기 때문에 당귀를 주년 생산하고, 지리적, 기후적 제약에서 벗어날 수 있 는 수경재배를 통한 온실이나 식물 공장형 생산시스템을 통한 생산성을 검증 할 필요가 있다.
식물 공장형 생산시스템은 통제된 일정한 시설 내에 광, 온도, 습도, 양액조성, 이산화탄소 농도 및 배양액 등의 재배환경조건을 인공적으로 제어할 수 있기 때문 에, 환경조건에 따른 당귀의 생장과 체내 기능성 물질의 축적을 임의로 변화시키는 것이 가능하다. 당귀의 생장 과 관련된 광환경으로 Park 등(2014)은 당귀 잎의 광합 성 특성을 분석한 결과 150μmol·m-2·s-1 조건이 가장 경 제적인 광조건으로 보고 하였으며 Cha 등(2012)은 적색 계 상추에서 광도 120μmol·m-2·s-1 조건에서 적색계 안토 시아닌이 발현되지 않았지만, 150μmol·m-2·s-1로 증가 시 켰을 때 적색 발현이 양호하여 최적 광강도 조건을 150μmol·m-2·s-1로 보고하였다. 또한 식물에 조사되는 광 질은 매우 복잡하며 식물생장 단계 및 품종에 따라서 식물 반응은 달라진다(Li and Kubota, 2009;Lin 등, 2013). 광강도와 광질에 대한 식물의 이해는 식물유래 항산화물질의 축적과 생장의 최적화를 위해서 매우 중요 하다(Bian 등, 2014). 따라서, 본 연구에서는 묘 이식 후 5주 동안 당귀의 형광등과 LED광원에 따른 당귀의 생 장 및 Decursin과 Decursinol angelate의 축적에 대하여 분석하였다.
재료 및 방법
1. 당귀 육묘와 생장환경
당귀(Angelica gigas ‘Manchoo’) 종자를 파종용 우레 탄 스펀지에 파종하여 환기 설정온도 26°C 야간난방 설정온도 15°C로 설정한 유리온실[수원, 25m(길이) × 12m(폭) × 5.5m(높이)]에서 육묘하였다. 육묘기에 사용 된 양액은 EC 0.6mS·m-1의 호글랜드 배양액을 순환하 여 이용하였다. 파종 후 21일째 식물체 간격 벌리기를 해주었으며, 28일째 본엽이 3매가 발달한 유사한 경경 을 가진 당귀묘 120주를 선발하였다. 스펀지가 붙어있 는 상태에서 12cm 간격으로 조정하여 105공 플러그 트 레이에 15주씩 총 8개의 트레이에 120주를 재배실 재 배장치에 이식하였다(Fig. 1). 재배 장치는 저면관수 방 식을 이용하였으며 2개의 광 처리구로 나누어 4개 트레 이 60주씩 이용하였다. 이식 이후 유리온실의 주간과 야간 온도가 23±2°C와 17±2°C가 되도록 설정하였으며, 습도는 50-80%로 유지하였다(Fig. 2). 재배실의 CO2 농도는 외기와의 순환팬을 작동 시켜 대기 중 농도로 유지하였다. 이식 후 5주간 형광등과 LED조건에서 재 배하였다.
2. 광환경
형광등(FHF32SS-EX-D, Osram, Korea) [1200(길이) × 26(두께)] 6개를 7cm 간격으로 고정 프레임에 설치하였 다. 또한 LED광원은 적색칩 120개(peak wavelength: 660nm), 청색칩 80개(peak wavelength: 455nm), 백색칩 160개[(주)엘펙, 전주, 대한민국]를 규칙적으로 조합하여 소비전력 32W, 길이 1200mm의 한 개의 바 타입으로 구 성하였으며 이러한 바 타입의 LED 6개를 7cm 간격으로 고정 프레임에 설치하였다. 이러한 2개의 고정 프레임은 도르레를 이용한 윈치방식으로 100~400mm까지 높이 조 절이 가능하게 하였다. 광조사 장치에서 조사된 광강도 는 당귀 지상부 군락을 기준으로 180±7μmol·m-2·s-1로 동일하게 하였다. 또한 1주일 마다 광강도를 측정하여 높이 조절장치를 이용하여 차이가 없도록 조정하였다. 양액의 공급은 60분을 주기로(50분-ON, 10분-OFF) 배 액을 시켜 주야간 연속운전 하였으며 2주마다 순환 양 액을 신규로 교체하였다.
3. 시료처리 및 HPLC분석
5주간 처리 후 당귀 샘플은 지상부와 지하부로 나누어 동결 건조기를 이용하여 48시간 동안 -80°C에서 건조시 킨 후, 막자 사발을 사용하여 미세한 분말로 분쇄하였다. 분말 형태의 샘플 0.5g을 1시간 동안 물 중탕 50°C 조 건에서 70%(v/v)의 에탄올 30mL로 추출하였다. 이러한 원심 추출 후, 상등액(25mL)을 감압 농축기로 농축 한 후, 메틸렌 클로라이드로 3회 추출 하였다. 메틸렌 클로 라이드 분획을 아세토니트릴 1mL에 재 현탁시키고, 진 공 하에서 건조시킨 후, HPLC 분석에 앞서 0.45μm의 폴리 필터를 통해 여과 하였다.
Decursin 및 Decursinol angelate 추출물의 HPLC 분 석은 UV 검출기 및 역상 옵티마 팩 C18 컬럼이 장착되 고 35°C로 유지되는 조건에서 NS-4000 HPLC 시스템 (Futecs, 대전, 대한민국)을 이용하여 수행하였다(5μm의 입자 크기가 4.6mm × 250mm) (RS 기술, 대전, 한국). 이동 상(mobile phase)은 40% 아세토니트릴, 50% 물 및 10% 테트라히드로 푸란으로 구성되었다. 유량 0.8mL·min-1, 검출 파장은 280nm 였으며, 주입 볼륨은 10mL였다. 검출된 피크 면적은 통합 Multichro 2,000 소프트웨어(Futecs(주), 대전, 대한민국)를 사용하여 수행 하였다. Decursin 및 decursinol angelate의 표준물질은 한국 화학연구원의 식물천연제품 연구소(Deajon, 대한민 국)에 의해 제공되었다.
4. 생육분석 및 통계
본 실험은 완전임의배치법으로 수행되었으며, 2회 반 복 실험하였다. 60개의 개체 중에서 10개체를 임의 선발 하여 측정에 이용하였다. 모든 측정값의 통계분석은 SPSS ver. 21을 이용하여 분산분석(ANOVA)을 실시하였 으며 통계적 유의차가 있는 경우 t-test를 실시하였다. 생 육 분석은 정식직후부터 1주일 간격으로 초장, 엽수, 엽길 이, 엽폭을 측정하여 5주간의 변화를 살펴보았으며, 5주 후에는 엽길이/엽폭(L/W ratio), 뿌리길이, 지상부 생체중 과 건물중, 지하부 생체중과 건물중을 측정하였다. 또한 지상부와 지하부로 분리하여 Decurusin과 Decurusinol angelate 함량을 HPLC를 이용하여 측정하였다.
결과 및 고찰
1. 당귀 생장
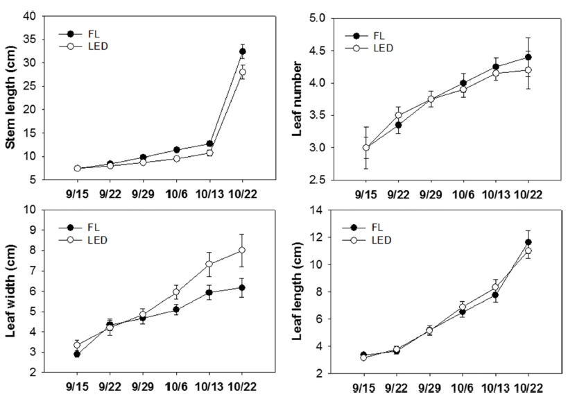
이식 후, 5주째 당귀의 엽수는 LED 처리구에서 13.5% 증가하였으나 유의적인 차이는 없었으며, 엽장과 엽폭의 비를 나타내는 L/W 비율이 형광등 처리구에서 24% 더 크게 나타났다(Fig. 3). 형광등 처리구에서 상대 적으로 엽장이 커지는 것이 아니라, 엽폭이 작아져서 L/ W 비율이 증가하였으며, LED 처리에서는 상대적으로 L/W 비율이 작아진 것은 엽폭이 상대적으로 커졌기 때 문으로 사료된다. 처리 후 3주째부터 엽폭의 차이가 발 생하기 시작하였으나, 5주차에서 두 처리간의 유의적 차 이는 없었다(Fig. 4). 위 결과는 적청 LED 혼합광 처리 시, 청색광의 비율이 높아짐에 따라 상추잎의 엽폭이 증 대되었다는 결과와 유사하였다(Lee 등, 2010). 고목나무, 드라세나 등 관엽식물의 잎에 다양한 LED 광질을 조사 해 그 엽장, 엽폭 등 여러 변화를 관찰한 결과, 각 식물 체 별로 반응의 정도가 다르다(Kim 등, 2013)는 보고로 미루어보아, LED광조사에 대한 초본식물과 관엽식물은 엽장과 엽폭의 반응성은 다를 수 있다고 판단된다.

Fig. 3
Leaf number, leaf ratio, shoot length, root length, shoot fresh weight (FW) and dry weight (DW), root FW and DW of Angelica gigas grown under fluorescent lamp and LED with red, blue, and white chips for 5 weeks after transplanting with a hydroponic culture system. Data represent means and standard errors (n=10).
당귀의 초장은 형광등 처리구에서 서서히 증가하다가 5주 후에는 LED 처리구와 비교하여 13% 높게 나타났 다(Fig. 3, 4). Appelgren (1991)에 의하면 제라늄 묘의 경우 청색광이 초장을 억제한다고 보고 하였으며, Zhao 등(2007)은 청색광에 의한 자엽의 신장 억제현상은 크립 토크롬 색소에 의한다고 보고하였다. 또한 Kwack 등 (2015)은 6가지의 원예작물 종자의 싹에서 청색광 강도 가 증가할 때, 자엽의 신장이 억제된다고 하였다. 그러 나, 식물 생장에 대한 청색광의 효과는 정성적인 임계 반응이거나, 정량적 축적 반응 또는 이러한 두가지 성질 이 결합되어 발생하는 것으로 매우 불분명하다고 보고 되었으며(Hogewoning 등, 2010;Poorter 등, 2010), 청 색광의 정량적 축적 반응으로는 엽록체의 이동(Jarillo 등, 2001), 기공의 열고 닫음(Sharkey and Raschke, 1981), 엽광합성(Hogewoning 등, 2010) 이 있다고 보고 되었다. 이러한 결과로 유추하면 본 실험에서 사용된 LED는 형광등과 비교하여 청색의 비율이 높으면서 조사 된 PPFD는 같은 조건이었기 때문에 초장은 더욱 작았 다고 할 수 있으며, 청색광의 정량적 축적 반응이었다고 판단된다.
당귀 뿌리의 최대 근장은 LED 처리구에서 5% 정도 높게 나타났으나 유의적 차이는 발생되지 않았다(Fig. 3). 당귀의 지상부 생체중과 건물중의 경우 LED처리구 에서 50%와 42% 이상 증가하였으며, 모두 99% 신뢰수 준에서 유의적으로 높은 값을 나타내었다. Stutte 등 (2009)은 적청 중심의 LED광원에서 재배한 적상추의 총 생체중이 형광등 재배군과 비교했을 때 평균적으로 30% 증가한다고 보고하였다. 뿌리의 생체중과 건물중에서도 LED 처리구에서 각각 125%와 45% 높은 값을 나타내었 고 99% 신뢰수준에서 유의적으로 높았다(Fig. 3). McCree (1972)는 적색과 청색의 광은 엽록소 흡수 파장과 거의 일치하여 식물생육을 증가 시키고, 광합성 효율을 극대 화 시킬 수 있다고 하였다. 따라서, 본 실험에서 이용된 적청백 혼합 LED광은 형광등과 비교하여 당귀의 지상 부와 지하부 생장을 촉진시키며 광질의 차이에 의해서 이러한 결과가 기인되는 것으로 판단되었다.
2. Decursin과 Decursinol angelate 함량
당귀 지상부의 단위 건물중 당 Decursinol angelate의 함량은 형광등 처리에서 각각 188%와 27% 증가하였으 며, 뿌리의 경우도 78%와 8%가 형광등 처리에서 더욱 높았다(Fig. 5). Decursin의 경우 지상부와 지하부를 모 두 합한 경우 형광등 처리에서 51% 높게 나타났으며, Decursinol angelate의 경우 17% 감소 하였다(Fig. 6).
당귀 1주당 건물중 값을 반영한 Decurusin의 함량은 지상부와 지하부를 합하여 형광등과 LED 처리구에서 각각 28.14와 18.54mg/plant 였으며, Decursinol angelate 의 경우 각각 94.34와 114.10 mg/plant를 나타냈다(Fig. 6). 그 절대값을 고려하여 당귀 1주당 건물중에 기초한 Decursin과 Decursionl angelate를 합한 값은 형광등과 LED 처리에 대해서 각각 122와 132mg/plant로 LED 처 리구에서 높게 나타났다(Fig. 6). 단위 건물중 당 함량은 LED 처리에서 작았으나, 건물중이 증가하여 당귀의 주 당 최종 산물의 함량은 더욱 높게 나타났다. 당귀의 뿌 리에서는 Decursin과 Decursinol angelate의 전구체인 Decursinol의 함량이 매우 낮다고 보고하였다(Ahn 등, 2008). Kim 등(2009)은 지대 높이에 관계없이 진부 당 귀의 세근에서 Decursin과 Decursinol angelate 함량이 주근의 함량보다 높다고 밝혔다.
형광등과 적청백 혼합의 LED광원을 이용하여 당귀를 재배하는 경우 LED 처리가 초장의 억제와 생장의 촉진 이 관찰되었으나, 단위 건물중 당 Decursin과 Decurinol angelate는 형광등 처리와 비교하여 낮게 나타났다. 그러 나, 생장 촉진의 결과 당귀의 주당 Decursin과 Decurinol angelate함량은 LED처리구에서 높게 나타나서, 전체적으 로 생장과 기능성 물질 함량 증대를 위해서는 적청백 LED 혼합광이 형광등보다 유리할 것으로 판단된다. 그 러나, LED 설치비 등은 형광등과 비교하여 비싸기 때문 에, 최종 산물의 질적 판단을 근거하고 마켓과의 상관성 을 고려하여 최종 판단해야 할 것으로 판단된다.







