서 론
전 세계적으로 채소 접목묘는 토양전염성병에 대한 저항성, 불량한 기상 환경 대응, 과실의 수량 및 품질 향상 등을 위해 사용이 증가하고 있으나(Bie 등, 2017; Lee 등, 2010; Rouphael 등, 2010), 접목묘를 생산하는 육묘 농가는 여름철 고온과 겨울철 저온 및 저 일조 등으로 인해 고품질의 규격화된 우량묘를 생산하는데 어려움을 겪고 있다. 일반적으로 채소 접목묘 생산은 접목 및 활착 관리 등으로 인해 실생묘 생산보다 많은 공정(발아, 접수/대목 조제, 접목, 접목 활착, 활착 후 순화 등)을 요구하며(Leonardi와 Romano, 2004), 특히 접목 시의 접수 및 대목의 적정한 크기 및 균일도 유지는 접목 작업 효율 향상과 활착률 및 생존율 확보를 위한 핵심 사항이다. 또한, 접목 작업 인력의 효율적 관리를 위해서는 연중 일정한 접수 및 대목 육묘 일수가 확보되어야 한다. 하지만, 최근 들어 기후 변화로 인한 여름철 이상고온, 긴 장마로 인한 일조량 부족, 겨울철 이상저온 등 정해진 기간에 목표로 하는 모종을 생산하는 것이 점점 어려워지고 있다(Bisbis 등, 2019).
기후 변화 시대에 인공광 이용형 식물공장은 외부 기상 환경에 영향을 받지 않고 식물이 필요로 하는 광, 온도, 습도, 이산화탄소 등 재배 환경을 연중 안정적으로 인위적 조절이 가능하기 때문에(Kozai 와 Niu, 2016a), 전 세계적으로 각광을 받아 이미 많은 원예작물의 상업적 생산에 도입되어 활발하게 이용되고 있다(Kozai 등, 2016). 채소 접목묘 산업에서도 인공광 이용형 식물공장 기술을 활용한 연중 안정적인 고품질 과채류 접수 및 대목 생산에 대한 관심이 높아지고 있다.
식물공장형 육묘시스템에서 과채류 접수 및 대목의 안정적인 생산을 위해서는 적절한 광량, 광주기, 온도 등의 환경 조건 구명이 우선시 되어야한다(Gruda, 2005; Kubota, 2016). 또한, 인공광 이용형 식물공장을 적용하기 위해서는 인위적으로 조절이 되는 환경 구현을 위해 투입되는 에너지 투입 효율성을 고려해야 한다(Kozai와 Niu, 2016b). 따라서, 본 연구에서는 인공광 이용형 식물공장에서 기온 및 광량 조건에 따른 수박 접수 및 대목의 생육 변화와 각 처리별 광이용효율을 조사하고 고품질 수박 접수 및 대목을 안정적으로 생산하기 위한 적정 기온 및 광 환경을 구명하였다.
재료 및 방법
1. 실험 재료 및 식물공장형 육묘시스템 내 환경
실험 수박 접수는 ‘삼복꿀수박’(Heungnong Seed Co. Ltd., Korea)과 대목은 ‘불로장생’(Syngenta Korea Co. Ltd., Korea)을 사용하였다. 원예용 상토(Bio Plug, Farm Hannong Co. Ltd., Korea)를 162공 트레이(15mL/셀)에 충진한 후, 종자를 파종하였다. 파종한 트레이는 충분히 저면 관수시킨 후, 기온 28°C 및 상대습도 90%의 암조건으로 설정된 발아실에서 접수는 48시간 대목은 60시간 동안 발아시켰다. 발아 후, 식물공장형 육묘시스템 내에서 접수 및 대목 모두 6일간 육묘 하였다. 광원은 식물생장용 백색 LED를(28W, Future Green Co., Ltd., Korea) 사용하였고, 명/암기는 16/8h으로 설정하였다. 재배기간 중 한국원시 1배액으로(EC 1.4 dS/m 및 pH 5.8) 육묘 기간 중 2회(발아 후 0일 및 5일) 저면 관수하였다.
2. 식물공장형 육묘시스템 내 주야간온도차 및 광량 처리 조건
식물공장형 육묘시스템에서 수박 접수 및 대목을 6일간 육묘하면서 동일한 평균 기온(23.3°C)의 주간/야간 기온이 다른 25/20, 26/18 및 27/16°C 3처리와 광합성유효광량자속(Photosynthetic photon flux, PPF) 50, 100, 150, 200 및 250µmol·m-2·s-1 5처리 간의 상호 조합으로 총 15개 처리로 구성하였다. 기온 편차는 각각 25.3 ± 0.5/20.1 ± 0.7, 25.8 ± 0.8/18.4 ± 1.3 and 26.9 ± 1.3/16.5 ± 1.9°C(Fig. 1), 광량 편차는 46.9 ± 3.6, 95.4 ± 5.1, 147.1 ± 5.7, 19.5.4 ± 8.2, 246 ± 9.2µmol·m-2·s-1로 Table 1과 같이 균일하게 유지되었다.

Fig. 1
Changes of air temperature and relative humidity conditions applied in a plant factor with artificial lighting.
Table 1.
Light intensity conditions in a plant factor with artificial lighting used in this experiment.
|
Treatment
|
Light intensity (µmol m-2 s-1)
|
Total
|
|
300-400
|
400-500
|
500-600
|
600-700
|
700-800
|
|
LI50
|
0.0
|
4.5 ± 0.3
|
19.0 ± 1.5
|
19.9 ± 1.5
|
3.6 ± 0.3
|
46.9 ± 3.6
|
|
LI100
|
0.0
|
9.1 ± 0.5
|
38.6 ± 2.1
|
40.5 ± 2.2
|
7.3 ± 0.4
|
95.4 ± 5.1
|
|
LI150
|
0.0
|
14.0 ± 0.5
|
59.6 ± 2.3
|
62.4 ± 2.4
|
11.2 ± 0.4
|
147.1 ± 5.7
|
|
LI200
|
0.0
|
18.5 ± 0.8
|
79.1 ± 3.3
|
82.9 ± 3.5
|
14.9 ± 0.6
|
195.4 ± 8.2
|
|
LI250
|
0.0
|
23.4 ± 0.9
|
99.6 ± 3.7
|
104.3 ± 3.9
|
18.7 ± 0.7
|
246.0 ± 9.2
|
3. 생육 조사
수박 접수와 대목은 난괴법 3반복으로 트레이에서 임의로 각각 7주(n=21)를 표본으로 하여 하배축장, 경경, 엽수, 엽면적, 지상부 생체중 및 건물중을 측정하였다. 묘 소질 비교를 위해 엽면적비(Leaf area ratio, LAR), 엽면적지수(Leaf area index, LAI), 충실도(Compactness)를 아래의 식으로 계산하였다.
또한, 식물공장형 육묘시스템에서의 수박 접수 및 대목 생산을 위한 에너지 효율을 비교하기 위해 각 처리구별 광이용효율(Light use efficiency, LUE)을 아래의 식으로 계산하였다.
4. 통계 분석
통계 분석은 SAS System 9.4(SAS Institute Inc., Cary, N.C., USA)을 이용하여 주야간온도차(independent variable 1)과 광량(independent variable 2)의 두 독립 변인의 상호 작용 검증을 위해 이원변량분석(two way ANOVA)를 실시하였고, 처리 간 평균 차이 검증을 위해 Duncan의 다중 검정을 실시하였다.
결과 및 고찰
주야간온도차와 광량의 상호작용에 따라서 수박 접수와 대목의 형태학적 특성이 달라지는 것을 확인하였다(Fig. 2). 처리구별로 묘 소질에 대한 환경 요인의 영향을 살펴보면, 묘 소질의 모든 특성은 주야간온도차와 광량의 영향을 매우 크게 받았을 뿐만 아니라 두 독립 변인 간의 상호작용에 따라서도 매우 높은 영향(p < 0.001)을 받았다(Table 2와 3). 수박 접수와 대목의 하배축장은 광량이 증가함에 따라 감소하였다. 단, 대목은 기온 27/16°C 처리구에서 광량 증가에 따른 하배축장 감소 효과가 나타나지 않았다. 수박 접수의 엽면적은 광량 증가에 증가하는 경향을 보였고, PPF 150µmol·m-2·s-1까지 급격하게 증가하다가 이후부터는 증가폭이 감소하였다. 광량 증가에 따른 대목의 엽면적 증가 경향은 뚜렷하게 나타나지 않았고, 26/18 및 27/16°C 처리구에서는 엽면적이 PPF 150µmol·m-2·s-1 조건에서 가장 높았으며 강광 조건에서는 오히려 엽면적이 감소하였다. 수박 접수와 대목 모두 광량이 증가할수록 건물중이 증가하는 경향을 보였으며, 25/20°C 처리구의 강광 조건에서 건물중이 가장 높았다. 기온과 광 환경은 작물의 형태, 광합성, 생장에 크게 영향을 미친다(Heuvelink와 Dorais, 2011; Went, 1953). 접수 및 대목의 짧은 생산 기간의 광량 증가에 따른 줄기 신장 억제 효과는 Hwang 등(2020)과 Park 등(2020)의 연구에서도 확인되었다. 적절한 하배축장은 접목 시 실패율을 줄이고 접목 속도를 증가시키는 등 접목 효율성을 증가시킬 수 있다. 주야간온도차 조절에 따른 줄기 신장 조절 효과는 이전에 많은 연구에서 확인되었으나(Cui 등, 2000; Grimstad와 Frimanslun, 1993; Myster와 Moe, 1995), 본 연구에서는 수박 접수 및 대목의 하배축장 조절 효과는 주야간온도차보다 광량의 조절이 효과적인 것으로 확인되었다. Cui 등(2000)은 Rehmannia glutinosa의 기내 번식 시, 주야간온도차보다 광량이 작물의 생육에 더 영향을 미친다고 보고하였다. 수박 접수 및 대목은 PPF 150µmol·m-2·s-1 이상의 강광 조건에서 엽면적 증가의 효과가 감소하거나 상쇄되었는데, 이는 일정 수준 이상의 강광에서는 순에너지포획량을 증가시킬 필요가 없으므로 엽면적 증가폭이 둔화된 것으로 생각된다(Kang 등, 2010).

Fig. 2
Watermelon scions (A) and rootstocks (B) cultivated under different air temperature and light intensity conditions in a plant factor with artificial lighting.
Table 2.
Growth of watermelon scions as affected by different air temperature and light intensity conditions in a plant factor with artificial lighting (n=21).
Air temperature
(°C)
|
Light intensity
(µmol m-2 s-1)
|
Hypocotyl length
(cm)
|
Stem diameter (mm)
|
No. of leaves (/plant)
|
Leaf area (cm2/plant)
|
Shoot fresh weight (g/plant)
|
Shoot dry weight (g/plant)
|
|
25/20
|
50
|
10.40 az |
1.82 a
|
2.0 b
|
5.40 g
|
0.606 e
|
0.028 i
|
|
100
|
9.10 c
|
1.78 ab
|
2.0 b
|
8.12 e
|
0.660 bc
|
0.033 h
|
|
150
|
7.10 g
|
1.79 ab
|
2.0 b
|
10.85 b
|
0.701 ab
|
0.042 cd
|
|
200
|
6.20 ij
|
1.79 ab
|
2.0 b
|
11.75 a
|
0.736 a
|
0.047 b
|
|
250
|
5.40 k
|
1.67 cd
|
2.0 b
|
11.34 ab
|
0.694 b
|
0.051 a
|
|
26/18
|
50
|
10.00 b
|
1.66 cd
|
2.0 b
|
4.31 h
|
0.555 f
|
0.023 j
|
|
100
|
8.20 de
|
1.67 cd
|
2.0 b
|
6.92 f
|
0.592 ef
|
0.028 i
|
|
150
|
7.70 f
|
1.65 cd
|
2.0 b
|
9.02 d
|
0.651 cd
|
0.037 fg
|
|
200
|
5.90 j
|
1.72 bc
|
2.0 b
|
9.89 c
|
0.615 de
|
0.041 de
|
|
250
|
5.30 k
|
1.63 de
|
2.0 b
|
9.83 c
|
0.587 ef
|
0.045 bc
|
|
27/16
|
50
|
8.50 d
|
1.55 e
|
2.0 b
|
2.39 i
|
0.418 h
|
0.019 k
|
|
100
|
6.70 gh
|
1.55 e
|
2.0 b
|
3.93 h
|
0.397 h
|
0.020 k
|
|
150
|
7.90 ef
|
1.66 cd
|
2.2 a
|
9.38 cd
|
0.671 bc
|
0.039 ef
|
|
200
|
6.60 hi
|
1.64 cd
|
2.0 b
|
9.08 d
|
0.606 e
|
0.040 de
|
|
250
|
5.40 k
|
1.60 de
|
2.0 b
|
8.04 e
|
0.497 g
|
0.035 gh
|
|
Significance
| | | | | | |
|
Air temperature (A)
|
***
|
***
|
*
|
***
|
***
|
***
|
|
Light intensity (B)
|
***
|
***
|
**
|
***
|
***
|
***
|
|
Interaction (A × B)
|
***
|
***
|
***
|
***
|
***
|
***
|
Table 3.
Growth of gourd rootstocks as affected by different air temperature and light intensity conditions in a plant factor with artificial lighting (n=21).
Air temperature
(°C)
|
Light intensity
(µmol m-2 s-1)
|
Hypocotyl length
(cm)
|
Stem diameter (mm)
|
No. of leaves (/plant)
|
Leaf area (cm2/plant)
|
Shoot fresh weight (g/plant)
|
Shoot dry weight (g/plant)
|
|
25/20
|
50
|
7.10 bz |
2.30 d-g
|
2.0 c
|
18.59 d
|
1.331 c
|
0.066 hi
|
|
100
|
5.20 f
|
2.37 b-e
|
2.0 c
|
21.19 b
|
1.307 dc
|
0.071 gh
|
|
150
|
5.20 f
|
2.40 a-d
|
2.0 c
|
21.11 b
|
1.319 dc
|
0.079 ef
|
|
200
|
5.20 f
|
2.47 a-d
|
2.1 cb
|
24.05 a
|
1.500 ba
|
0.100 b
|
|
250
|
4.50 g
|
2.44 a-d
|
2.4 a
|
23.83 a
|
1.434 b
|
0.110 a
|
|
26/18
|
50
|
9.20 a
|
2.47 a-d
|
2.0 c
|
12.14 f
|
1.341 c
|
0.066 i
|
|
100
|
6.10 c
|
2.14 ij
|
2.0 c
|
19.65 cd
|
1.240 d
|
0.072 g
|
|
150
|
5.80 de
|
2.26 f-h
|
2.0 c
|
20.18 bc
|
1.295 dc
|
0.081 ef
|
|
200
|
4.60 g
|
2.18 hi
|
2.0 c
|
18.78 cd
|
1.153 e
|
0.079 ef
|
|
250
|
5.70 e
|
2.29 e-g
|
2.0 c
|
18.75 cd
|
1.261 dc
|
0.084 de
|
|
27/16
|
50
|
5.00 f
|
2.08 jk
|
2.0 c
|
7.01 g
|
0.707 g
|
0.063 ij
|
|
100
|
4.10 h
|
2.01 k
|
2.0 c
|
7.53 g
|
0.644 g
|
0.059 j
|
|
150
|
6.00 cd
|
2.49 a
|
2.1 b
|
24.37 a
|
1.544 a
|
0.092 c
|
|
200
|
5.30 f
|
2.35 c-f
|
2.0 c
|
19.34 cd
|
1.283 dc
|
0.087 cd
|
|
250
|
5.20 f
|
2.22 h-g
|
2.0 c
|
14.19 e
|
1.034 f
|
0.076 fg
|
|
Significance
| | | | | | |
|
Air temperature (A)
|
***
|
***
|
***
|
***
|
***
|
***
|
|
Light intensity (B)
|
***
|
***
|
***
|
***
|
***
|
***
|
|
Interaction (A × B)
|
***
|
***
|
***
|
***
|
***
|
***
|
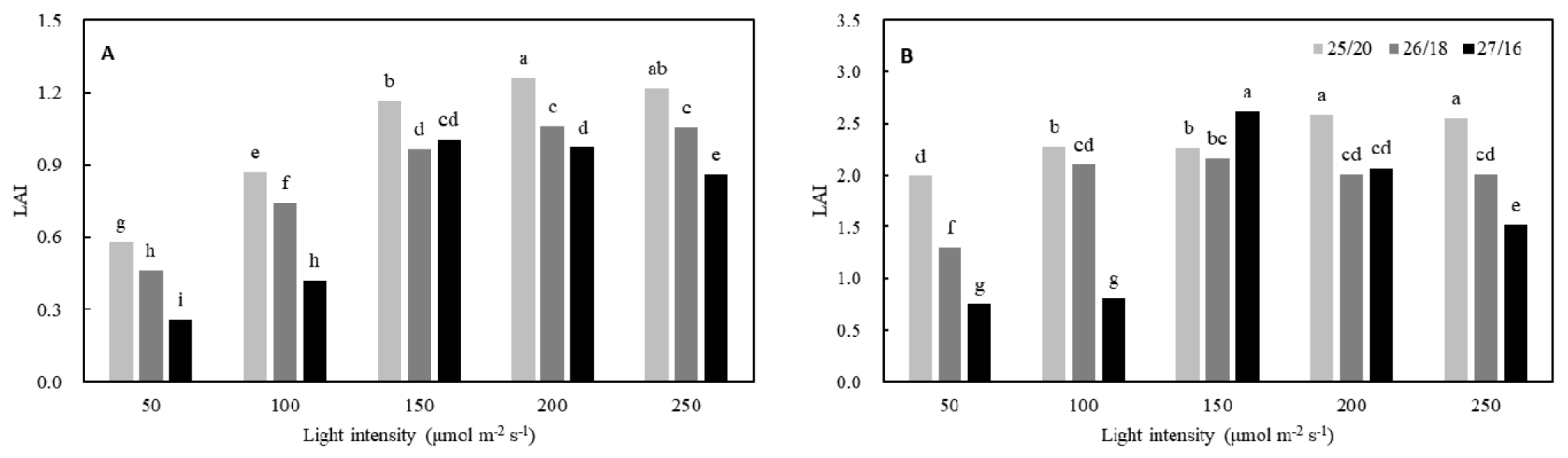
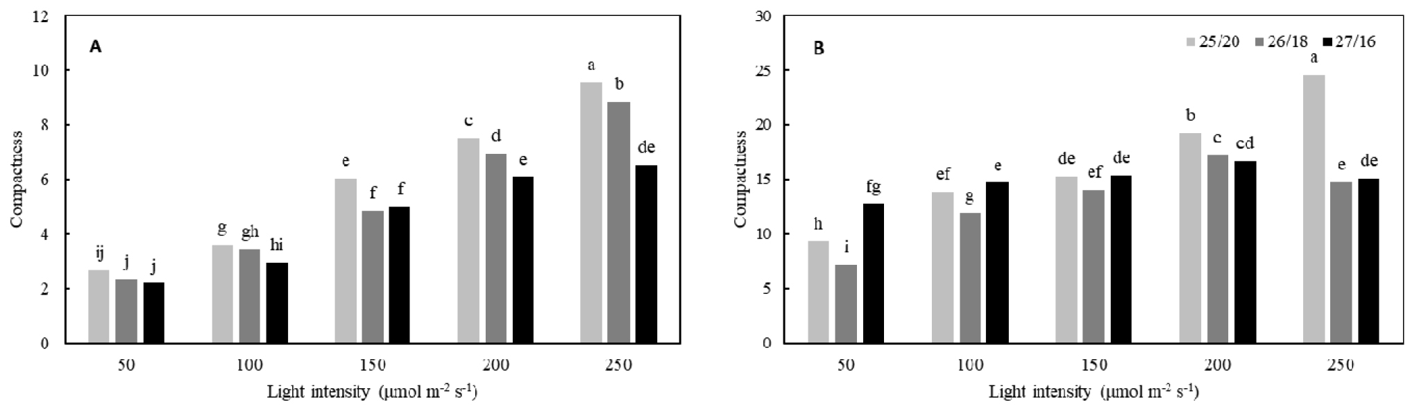
수박 접수와 대목의 엽면적비는 약광 조건에서 주야간온도차가 증가할수록 감소하는 경향을 뚜렷하게 나타냈다(Fig. 3). 수박 접수의 엽면적지수는 주야간온도차가 증가할수록 감소하는 경향을 보였고, 대목에서는 PPF 50, 100 및 250µmol·m-2·s-1 처리구에서 주야간온도차 증가에 따른 엽면적지수의 감소 경향이 뚜렷하게 나타났다(Fig. 4). 수박 접수 및 대목의 충실도는 광량이 증가할수록 증가하는 경향을 보였으며, 특히 25/20°C 처리구에서 뚜렷하게 나타났다(Fig. 5). 엽면적비, 엽면적지수, 충실도는 묘의 소질을 확인할 수 있는 지표들이며(Hernánde 등, 2016; Kitaya 등, 1998; Zhang 등, 2017), 충실도가 높을수록 강건한 묘를 나타낸다(Currey 등, 2012; Vu 등, 2014). 시설 내 적정 온도 관리는 낮에는 광합성 효율을 최대한 증가시킬 수 있도록 유효 온도 범위 내에서 최고 기온으로, 밤에는 호흡량을 감소시키기 위하여 유효 온도 범위 내에서 최저 기온으로 설정하도록 되어 있다. 시설 내 수박의 육묘 기간 중 주간 온도는 25-28°C, 야간 온도는 18-20°C가 적정하다(RDA, 2017). 주야간온도차가 가장 컸던 27/16°C 처리구는 낮은 야간 온도 때문에 수박 접수 및 대목의 생육이 지연된 것으로 생각된다. 또한, 본 연구에서 사용된 식물공장에서의 주/야간 온도 범위가 적정 범위에 있었지만 서서히 변화하는 온실과 달리 주간과 야간의 급격한 온도 변화는 접수 및 대목의 스트레스로 작용하였을 수 있다. Kozai(2014)도 식물공장 내 명/암기의 기온 차이는 크지 않은 것이 좋다고 보고하였다.

Fig. 3
Leaf area ratio (LAR) of watermelon scions (A) and rootstocks (B) as affected by different air temperature and light intensity conditions in a plant factor with artificial lighting.

Fig. 4
Leaf area index (LAI) of watermelon scions (A) and rootstocks (B) as affected by different air temperature and light intensity conditions in a plant factor with artificial lighting.

Fig. 5
Compactness of watermelon scions (A) and rootstocks (B) as affected by different air temperature and light intensity conditions in a plant factor with artificial lighting.
광이용효율(LUE)는 수박 접수와 대목 모두 광량이 증가함에 따라 감소하는 경향을 보였다(Fig. 6). PPF 50µmol·m-2·s-1에서 100µmol·m-2·s-1 증가할 때, 광이용효율이 급격하게 감소하였고 광량이 증가할수록 감소폭이 줄어들었다. 식물공장 내 작물 생산 효율성을 높이기 위해서는 작물의 생육 뿐 만 아니라 광이용효율 등 에너지효율을 함께 고려하여 적정 생육 환경을 조성하는 것이 중요하다(Kozai와 Niu, 2016b).

Fig. 6
Light use efficiency (LUE) of watermelon scions (A) and rootstocks (B) as affected by different air temperature and light intensity conditions in a plant factor with artificial lighting.
플러그묘의 생장과 소질을 높이기 위해서는 기온과 광 환경의 균형적인 조절이 필요하다(Kitaya 등, 1998). 수박의 접수 및 대목의 형태학적 특성, 생장, 에너지 효율 등을 고려하였을 때, 식물공장형 육묘시스템에서 기온 및 광량 환경은 25/20°C 및 PPF 150µmol·m-2·s-1으로 조절 시 수박 접수와 대목의 생장 및 소질을 높일 수 있을 것으로 생각된다.
Acknowledgements
본 성과물은 농촌진흥청 연구사업(세부과제번호: PJ01384001)의 지원에 의해 이루어진 것임.
References
Bie Z., M.A. Nawaz, Y. Huang, J.M. Lee, and G. Golla 2017, Introduction to vegetable grafting. In G Colla, FP Alfocea, D Schwarz, eds, Vegetable Grafting, Principles and Practices. CABI Publishing, UK, pp 1-21.
10.1079/9781780648972.0001Bisbis M.B., N.S. Gruda, and M.M. Blake 2019, Securing horticulture in a changing climate-a mini review. Horticulturae 5:56. doi:10.3390/horticulturae5030056
10.3390/horticulturae5030056Cui Y.Y., E.J. Hahn, T. Kozai, and K.Y. Paek 2000, Number of air exchanges, sucrose concentration, photosynthetic photon flux, and differences in photoperiod and dark period temperatures affect growth of
Rehmannia glutinosa plantlets
in vitro. Plant Cell Tissue Organ Culture 62:219-226. doi:10.1023/A:1006412321864
10.1023/A:1006412321864Currey C.J., V.A. Hutchinson, and R.G. Lopez 2012, Growth, morphology, and quality of rooted cuttings of several herbaceous annual bedding plants are influenced by photosynthetic daily light integral during root development. Hort Sci 47:25-30. doi:10.21273/HORTSCI.47.1.25
10.21273/HORTSCI.47.1.25Grimstad S.O., and E. Frimanslund 1993, Effect of different day and night temperature regimes on greenhouse cucumber young plant production, flower bud formation and early yield. Sci Hort 53:191-204. doi:10.1016/0304-4238(93)90067-Z
10.1016/0304-4238(93)90067-ZGruda N. 2005, Impact of environmental factors on product quality of greenhouse vegetables for fresh consumption. Critical Rev Plant Sci 24:227-247 doi:10.1080/07352680591008628
10.1080/07352680591008628Hernánde R., T., Eguchi, M. Deveci, and C. Kubota 2016, Tomato seedling physiological responses under different percentages of blue and red photon flux ratios using LEDs and cool white fluorescent lamps. Sci Hort 213:270-280. doi:10.1016/j.scienta.2016.11.005
10.1016/j.scienta.2016.11.005Heuvelink E., and M. Dorais 2011, Crop growth and yield. In E Heuvelink, ed, Tomatoes. CABI Publishing, UK, pp 85-144.
10.1079/9780851993966.0085Hwang H., S. An, M.D. Pham, M. Cui, and C. Chun 2020, The combined conditions photoperiod, light intensity, and air temperature control the growth and development of tomato and red pepper seedlings in a closed transplant production system. Sustainability 12:9939. doi:10.3390/su12239939
10.3390/su12239939Kang Y.I., J.K. Kwon, K.S. Park, I.H. Yu, S.Y. Lee, M.W. Cho, and N.J. Kang 2010, Changes in growths of tomato and grafted watermelon seedlings and allometric relationship among growth parameters as affected by shading during summer. J. Bio-Environ. Control 19:275-283. (in Korean)
Kitaya Y., G. Niu, T. Kozai, and M. Ohashi 1998, Photosynthetic photon flux, photoperiod, and CO
2 concentration affect growth and morphology of lettuce plug transplants. Hort Sci 33:988-991. doi:10.21273/HORTSCI.33.6.988
10.21273/HORTSCI.33.6.988Kozai T. 2014, Basic of Plant Factory. Seibundo Shinkosha Publishing, Japan, pp 86-94.
Kozai T. and G. Niu, 2016a, Role of the plant factory with artificial lighting (PFAL) in urban area. In T Kozai, G Niu, and M Takagaki, eds, Plant factory: An indoor vertical farming system for efficient quality food production. Elsevier, UK, pp 7-34.
10.1016/B978-0-12-816691-8.00002-9Kozai T. and G. Niu, 2016b, Plant factory as a resource-efficient closed plant production system. In T Kozai, G Niu, and M Takagaki, eds, Plant factory: An indoor vertical farming system for efficient quality food production. Elsevier, UK, pp 69-90.
10.1016/B978-0-12-801775-3.00004-4Kozai T., W. Fang, C. Chun, Y. Tong, Q. Yang, W. Chintakovid, K. Supaibulwatan, and C. Kubota 2016, PFAL business and R&D in the world: Current status and perspectives. In T Kozai, G Niu, and M Takagaki, eds, Plant factory: An indoor vertical farming system for efficient quality food production. Elsevier, UK, pp 35-68.
Kubota C. 2016, Growth, development, transpiration and translocation as affected by abiotic environmental factors. In T Kozai, G Niu, and M Takagaki, eds, Plant factory: An indoor vertical farming system for efficient quality food production. Elsevier, UK, pp 151-164.
10.1016/B978-0-12-801775-3.00010-XPMC4826880Lee J.M., C. Kuboda, S.J. Tsao, Z. Bie, P. Hoyos Echevarria, L. Morra, and M. Oda 2010, Current status of fruit vegetable grafting: Diffusion, grafting techniques, automation. Sci Hort 127:93-105. doi:10.1016/J.SCIENTA.2010.08.003
10.1016/j.scienta.2010.08.003Leonardi C., and D. Romano 2004, Recent issues on vegetable grafting. Acta Hort 631:163-174. doi:10.17660/ActaHortic.2004.631.21
10.17660/ActaHortic.2004.631.21Myster J., and R. Moe 1995, Effect of diurnal temperature alterations on plant morphology in some greenhouse crops - a mini review. Sci Hort 62:205-215. doi:10.1016/0304-4238(95)00783-P
10.1016/0304-4238(95)00783-PPark S.W., S. An, and Y. Kwack 2020, Changes in transpiration rates and growth of cucumber and tomato scions and rootstocks grown under different light intensity conditions in a closed transplant production system. J Bio-Environ Control 29:399-405. (in Korean) doi:10.12791/KSBEC.2020.29.4.399
10.12791/KSBEC.2020.29.4.399RDA (Rural Development Administration) 2017, Guideline for environment management in smart greenhouse. RDA, Korea, pp 236-261. (in Korean)
Rouphael Y., D. Schwarz, A. Krumbein, and G. Colla 2010, Impact of grafting on product quality of fruit vegetables. Sci Hort 127:172-179. doi:10.1016/j.scienta.2010.09.001
10.1016/j.scienta.2010.09.001Vu N.T., Y.S. Kim, H.M. Kang, and I.S. Kim 2014, Influence of short-term irradiation during pre- and post-grafting period on the graft-take ratio and quality of tomato seedlings. Hort Environ Biotechnol 55:27-35. doi:10.1007/s13580-014-0115-5
10.1007/s13580-014-0115-5Went F.W. 1953, The effect of temperature on plant growth. Annu Rev Plant Physiol 4:347-362.
10.1146/annurev.pp.04.060153.002023Zhang G., M. Johkan, M. Hohjo, S. Tsukagoshi, and T. Maruo 2017, Plant growth and photosynthesis response to low potassium conditions in three lettuce (
Lactuca sativa) types. Hort J 86:229-237. doi:10.2503/hortj.OKD-008
10.2503/hortj.OKD-008