Introduction
Agastache rugosa, is a perennial medicinal plant belonging to the family Labiatae, usually grown throughout East Asian countries especially Korea and China. In Korea, this plant is a popular herb and has been used as an herbal drug in traditional therapies as well as a wild vegetable (Ahn and Yang, 1991). A. rugosa contains several types of essential oils, sesquiterpenes, diterpenes, triterpenes, flavonoids, and carotenoids (Han, 1987; Lee et al., 1995; Choi and Lee, 1999). Among these, tilianin, which is considered to be the main flavonoid, and rosmarinic acid have been proven to contribute to the medicinal potential of A. rugosa (Kim et al., 1999; Oh et al., 2006). Tilianin and acacetin are found in various plants as a glucose-glycoside compound of a flavonoid. Natural product chemists and clinicians have been interested in tilianin because of its important biological activities, for example, its anti-inflammatory, antiatherogenic, antihypertensive, and vasorelaxant effects (Hong et al., 2001; Nam et al., 2006; Hernandez et al., 2009). Studies have indicated that phytochemicals from A. rugosa, tilianin, acacetin, and rosemarinic acid, has pharmacological activities such as anti-HIV integration activities and antifungal effects (Kim et al., 1999; Shin, 2004). Extracts of A. rugosa are also believed to be valuable in the treatment of inflammatory and oxidative stressinduced disorders (Hong et al., 2001; Lee et al., 2002). Daily consumption of herbal or medicinal plants containing bioactive compounds has been increased recently in a public health (Wu and Kubota, 2008). Developing fresh produce containing greater concentrations of phytochemicals to have increasing effect on some health aspects can be an alternative approach to increase the exposure to the bioactive compounds (Kubota et al., 2006).
By controlling environmental conditions such as temperature, nutrient solution, light intensity or quality etc., manipulation of target compounds in plants such as phytochemicals and antioxidants has been studied as a research area attracting scientific interest (Afreen et al., 2006; Kubota et al., 2006; Zobayed et al., 2007). Also, increasing demand of herbal or medicinal plants for industrial area such as health beverages, functional cosmetic, and medica- tions has led to their mass cultivation under a closed or semi closed-type plant production system in a large scale manner. Closed systems with a hydroponic culture and artificial lights for plant production have several potential benefits, such as higher quality of transplants (Kozai et al., 2013), optimization of plant production systems (Seginer and Ioslovich, 1999), shorter production period, and manipulation of phytochemicals by environmental control (Park, et al., 2014), and year-round production, compared with open-type production systems (Kozai et al., 2006). To produce some wild plant in a hydroponic culture system, strength or combination of each nutrient solution and light intensity of artificial light are crucial for plant growth and can affect the concentration of phytochemical content during cultivation (Wu and Kubota, 2008). Especially, light intensity irradiated from fluorescent lamps in a plant production system affects greatly initial cost for building of the production systems. A commercial plant factory system is designed with an artificial light source which has to be irradiated for the proper crops growth and quality with the economic point of view. To produce leafy vegetables, five plant factories in Korea I have visited have supplied photosynthetic photon flux density (PPFD) from 110 to 165μmol·m-2·s-1 on the seedlings canopy level. Although this values can be considered quite low level as compared to outdoor production environment, burden of the electricity charge from the lighting source is the big part of the plant factory operation cost, especially, in Japan, and the increase of the light intensity, PPFD, greatly affects the initial installation cost, which increases the depreciation cost of the plant factory. Considering a realistic situation, It is necessary to understand how the difference in light intensity from 150 to 200μmol·m-2·s-1 PPFD affects the growth and phytochemicals content in A. rugosa grown in the plant factory systems.
Up to now, many studies related to nutrient solution and PPFD have been reported for growth of leaf vegetable, but no information about A. rugosa is available related to nutrient solution and suitable PPFD which might affect the growth and phytochemical contents in hydroponic culture systems. To produce A. rugosa efficiently for industrial application, selection of optimum nutrient solution and proper light intensity with fluorescent lamps have to be investigated under the conditions in closed plant production systems. Therefore, the present study was undertaken getting a proper nutrient solution and an economic PPFD condition for maximizing growth and higher accumulation of secondary metabolites in A. rugosa grown in a plant factory system.
Materials and methods
1. Plant Materials & Culture Systems
Seeds of A. rugosa were purchased from Danong Seed Co. Ltd, Seoul, Korea. Seeds were sown in a crushed rockwool media tray (240 holes, UR rockwool, Suwon, Korea) in a plant culture room and then placed in a dark condition for germination at 26°C for first 2 days. The culture room was maintained at 22±1°C (day) and 18±1°C (night) using an air conditioner (AF30FSAM1EEN, Samsung Co. Ltd., Suwon, Korea). Fluorescent lamps (TL5 14W/865 Philips, Korea) were installed in it providing a PPFD of 120±10μmol m–2 s–1 on the surface of the culture media. Immediately after appearance of hypocotyl, the seedlings were placed in a half-strength Yamazaki Nutrient Solution (6 me L-1 NO3-N, 0.5 me L-1 NH4-N, 2 me L-1 Ca, 1.5 me L-1 PO4-P, 1 me L-1 Mg, and 4 me L-1 K with micro nutrient solutions) during seedling growth stage. Fifty two seedlings at 42 days aged (at four-leaf stage) were selected for four nutrient solution treatments. Thirteen seedlings for one treatment were planted maintaining 120 mm planting distance and cultured at 22±1°C (day) and 18±1°C (night) in a culture container (460 mm long × 330 mm wide × 110 mm high) for 4 weeks. Fluorescent lamps provided with PPFDs of 153±10, 151±13, 152±11, or 153±11μmol m–2 s–1 (mean±SD) was averaged at 9 points at the canopy level for four conditions of nutrient solutions with a 16/8h photoperiod (Ex-1). The PPFDs with fluorescent lamps was controlled to 152±11 and 201±15μmol m–2 s–1 (mean±SD) to find out the optimum light condition for increasing plant growth and phytochemicals in A. rugosa with a Otsukahouse 1A solution for 6 weeks under the same environmental conditions as above (Ex-2).
2. Nutrient Solution Treatment
Four nutrient solutions, developed by Horticultural Experiment Station in Japan (HES), The University of Seoul (UOS), European Vegetable R&D Center (EVR), and Otsuka-house 1A (OTS) were used as experimental treatment in this study (Table 1). HES and OTS have higher nitrogen content, potassium, and calcium content than UOS and EVR. Electrical conductivity of OTS and HES was 1.3 and 1.2 dS m-1, respectively, and UOS and EVR were 1.0 dS m-1. Each nutrient solution was put in a tank (460mm long × 330mm wide × 110mm high) installed under the culture container and was supplied by a pump (HJ-950-20W, Amazon, China). The nutrient solution was maintained with a constant level of 60mm height in the culture container and supplied for 24 hours, continuously.
Table 1. The composition of UOS, HES, EVR, and OTS nutrient solution for A. rugosa in hydroponics.
| Nutrient solutionZ | Nutrient concentration (me L-1) | EC (dS m-1) | |||||
|---|---|---|---|---|---|---|---|
| NO3-N | NH4-N | P | K | Ca | Mg | ||
| UOS | 11.6 | 1.2 | 3.6 | 5.8 | 5.8 | 3.0 | 1.0 |
| HES | 16.0 | 1.3 | 4.0 | 8.0 | 8.0 | 4.0 | 1.2 |
| EVR | 10.1 | 0.5 | 5.4 | 5.4 | 4.8 | 2.0 | 1.0 |
| OTS | 16.8 | 1.8 | 5.1 | 8.6 | 8.2 | 3.0 | 1.3 |
3. Measurement
Leaf number was counted which developed over 10 mm after detaching from the basal ends of the stems. Length and width of the each detached leaf and stem length were measured with a digital caliper (Digipa, Mitutoyo Co., Ltd., Tokyo, Japan). Shoot and root fresh weight was measured with a digital balance (ARG224 OHAUS, Sigma-Aldrich. Co. LLC, Seoul, Korea) after absorbing surface water of roots by compressing the roots with a paper (Kimwiper S200, Japan Paper Crecia Co., Ltd., Tokyo, Japan). Then, the shoot and roots were placed in a dry oven (HB-502M, Hanback Sci, Suwon, Korea) at 66°C for 7 d, and the shoot and root dry weight were also measured with the balance.
4. Extraction and HPLC Analysis for Tilianin and Acacetin
Samples (0.1 g) were frozen in liquid nitrogen, ground to a fine powder using a mortar and pestle, and then extracted with 10mL of 70% ethanol for 1 h at 60°C. After centrifugation, the supernatant was filtered through a 0.45μm poly filter (Acrodisc Syringe Filters, Pall, Port Washington, NY) and analyzed by HPLC. The analysis was performed with a C18 column (250mm × 4.6mm, 5μm; RS tech, Daejon, Korea) at 30°C. The mobile phase was a gradient mixture of acetonitrile, methanol, and 0.2% acetic acid. The flow rate was maintained at 1.0mL·min-1, the injection volume was 20μL, and the detection wavelength was 275 nm. The concentration of tilianin and acacetin in the samples was calculated by using a standard curve. Mean values were obtained from three independent replicates.
Results and Discussion
1. Growth as Influenced by Different Nutrient Solution (Ex-1)
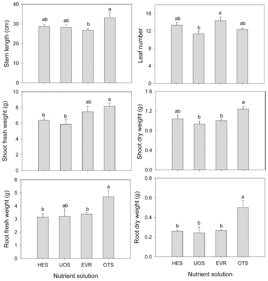
A. rugosa grown under different nutrient solution significantly influenced the growth of root, shoot and stem length (Fig. 1). Among the nutrient solution, the OTS performed the best for giving the highest stem length, shoot fresh and dry weights, and root fresh and dry weights of A. rugosa. The variation of root dry weight was much higher than any other growth parameters. Nutrient solution OTS dominated over other nutrient solution for the production of high amount of root dry matter compared to HES, UOS, or EVR treatment and its stem length was significantly longer compared to EVR culture medium (Fig. 1). However, the growth pattern for leaf number was slightly different compared to other growth parameters. Though OTS nutrient solution influenced markedly for achieving higher values for most of the growth parameters except leaf number, A. rugosa grown under nutrient solution of EVR produced the highest leaf number than that of other nutrient solution. The ratio of each cation and anion affects the uptake of the nutrient solution by the plants, and their growth changes. OTS nutrient solution contains higher potassium and cal- cium ions compared to the other nutrient solutions, also EC was the highest among treatments. Fruit dry matter of tomato (Solanum lycopersicum ‘Lunarossa’) were increased by higher proportion of potassium in the nutrient solution (Fanasca et al., 2006). In an another study, Mossi et al, (2011) reported that growth of Cunila galioides in a hydroponics culture showed significant differences due to variation of concentration of nutrient solution. Here in this study OTS nutrient solution which has higher potassium and calcium, or EC compared to other treatments performed the best for achieving higher values for several growth parameters in the hydroponic culture system for A. rugosa.

Fig. 1.
Growth parameters of A. rugosa grown under the different nutrient solutions in hydroponics. HES: The nutrient solution of Horticultural Experiment Station in Japan, UOS: The nutrient solution developed by The University of Seoul, EVR: The nutrient developed by The University of Seoul, EVR: The nutrient solution of European Vegetable R&D Center, OTS: The nutrient solution, Otsuka House1-A developed by Otsuka Co. Ltd., in Japan. Data represent means and standard deviation (n=13). Means with different letters are significantly different (P≤0.05 by DMRT).
2. Tilianin and Acacetin Contents as Influenced by Different Nutrient Solution
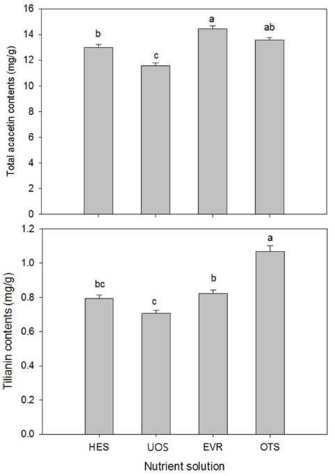
At 4 weeks after transplanting, seedlings of A. rugosa grown under different nutrient solution, were analyzed for detection of tilianin and acacetin in the hydroponics culture system. Both tilianin and acacetinin content varied significantly in response to different nutrient solution (Fig. 2). The level of tilianin was the highest in A. rugosa grown under OTS condition achieving 51% higher tilianin than that in the UOS (Fig. 2). The content of tilianin was almost similar when A. rugosa grown under EVR and HES conditions. There was a significant difference in acacetin content of A. rugosa grown under different nutrient solution. For acacetin accumulation, EVR showed the best performance which was statistically similar grown under OTS whereas the lowest acacetin was accumulated in A. rugosa grown under UOS. Sorgoleone content in the root of sorghum greatly influenced by the different concentration of Hoagland solution (Uddin et al., 2010). In the case of the application of full strength Hoagland solution, sorgoleone content increased with delayed application. Half-strength solution produced maximum root growth and sorgoleone content. The total phenolic content and antioxidant capacity per shoot of Crepidiastrum denticulatum significantly increased with increasing in nutrient solution concentration from 0.5 to 2.5 dS m-1 concentration in a plant factory (Park et al., 2016). The mean antioxidant activity of tomato (Solanum lycopersicum) grown under the NH4+ nutrient solution with high Cl– and SO42- levels (NO-3 : NH4+ ratio =1:4) reduced 14% lower compared with NO3 - nutrient solution with low Cl– and intermediate SO42- levels (NO3 - : NH4+ ratio =4:1) (Toor et al., 2006). Total soluble solid content and lycopene content of tomato (Solanum lycopersicum ‘Lunarossa’) were increased by higher proportion of potassium in the nutrient solution (Fanasca et al., 2006). Also a higher proportion of potassium of 7 and 14 mmol L-1 increased total phenolic content of red and green peppers (Capsicum annuum) compared with lower potassium concentration of 0.2 and 2 mmol L-1 in nutrient solution (Marín et al., 2009). Higher EC of nutrient solution or composition of nutrient solution may have affected accumulation of secondary metabolites, which play roll in plant protection. However, Total phenolic compound levels in the two kinds of basils (Ocumum basilicum L.) ‘dark opal’ and ‘genovese’ increased with decreasing nitrogen concentration at the treatments of 0.1, 0.5, 1.0, and 5.0 mM nitrogen concentrations. Similarly, basil grown under the lowest nitrogen fertilization level generally contained significantly higher rosmarinic and cafferic acid concentrations (p ≤0.001) than basil treated at higher nitrogen levels. However, the anthocyanin content of ‘dark opal’ was not affected by applied nitrogen level, but anthocyanin concentrations were significantly impacted by growing season (p≤0.001) (Nguyen and Niemeyer 2008). Application of different nutrient solution and phytohormones acted positively for accumulation of different secondary metabolities (Uddin et al., 2010; Kim et al., 2013; Uddin et al., 2013). Therefore, the composition of EVR which contains lower NH4+ nutrient and OTS nutrient solutions which was higher potassium and EC than other treatments may increase tilianin and acacetin contents of A. rugosa when growing in hydroponics culture systems.

Fig. 2.
Tilianin and total acacetin contents of A. rugosa grown under the different nutrient solutions in hydroponics for 4 weeks. HES: The nutrient solution of Horticultural Experiment Station in Japan, UOS: The nutrient solution developed by The University of Seoul, EVR: The nutrient solution of European Vegetable R&D Center, OTS: The nutrient solution, Otsuka House1-A developed by Otsuka Co. Ltd., in Japan. Data represent means and standard deviation (n=3). Means with different letters are significantly different (P≤0.05 by DMRT).
3. Growth in Response to Different PPFDs Condition
A time course experiment was considered to investigate the growth and tilianin and acacetin contents in A. rugosa under two PPFDs conditions. Results of time course experiment revealed that the growth of A. rugosa was subjected to different PPFDs conditions which has crucial view point for plant growth in a plant factory. Fresh weight of A. rugosa was increased in 200μmol m–2 s–1 irradiated than that of 150μmol m–2 s–1. There was a significantly difference in the fresh weights between two PPFDs treatments from the third week after transplanting. At the growth of 5 week, the difference of fresh weight was higher, after that these differences were reduced in 6 weeks (Fig. 3). The fresh and dry weights of shoot and leafy area were affected more by nutrient solution EC than by PPFD in green perilla (Perilla frutescens) grown in a plant factory system. Leaf photosynthetic rates were increased as PPFD increased from 100 to 300μmol m–2 s–1 in green and red perilla varieties (Lu et al., 2017). To appropriately grow A. rugosa in a plant factory system, optimum PPFD conditions may be better around 200μmol m–2 s–1 than 150μmol m–2 s–1 at the canopy level.
4. Tilianin and Acacetin Contents in Response to Different PPFDs Condition
The total acacetin and tilianin contents of A. rugosa were shown to be significantly higher under the PPFD of 200μmol m–2 s–1 condition at all dates of sampling (Fig. 4). In particular, by five weeks after transplanting, the total acacetin content under the PPFD of the 200μmol m–2 s–1 condition increased by approximately 49% compared to the PPFD 150 condition and the total tilianin content under the same condition increased by approximately 40% by six weeks after transplanting (Fig. 4). On reviewing the light intensity/photosynthesis curve of Angelica gigas on the basis of individual leaves, the light intensity at which photosynthesis increased maximally is observed under the condition of approximately 150μmol m–2 s–1 PPFD except for slightly above the light compensation point. The light intensity that shows the maximum slope value of light intensity/photosynthesis curves can be said to be the most economic light condition, in many actual studies of leaf vegetables, increases in growth under the PPFD of 200μmol m–2 s–1 condition were reported (Park et al., 2014). Given the growth and phytochemical content of A. rugosa, the PPFD of 200μmol m–2 s–1 conditions is considered to be more economic light intensity than the 150 PPFD condition. Light conditions have showed significant influence on accumulation of secondary metabolites (Li et al., 2013; Al-Dhabi et al., 2015). Perillaldehyde concentrations, standard functional materials in green perilla (Perilla frutescens), was significantly different between combinations of the highest PPFD (among 100, 200, and 300μmol m–2 s–1) with the highest EC (among 1.0, 2.0, and 3.0 dS m-1), and the lowest PPFD with the lowest EC. However, rosmarinic acid concentration (mg g-1) of green perilla was increased in a combination of low EC and high PPFD conditions (Lu et al., 2017). It varies depending on the environmental conditions, such as nutrient solution, light intensity, temperature, etc. for the plant growth and the kinds of secondary metabolites. It is believed that optimum light conditions in plant factories is crucial to induce optimum crop production, and that bioactive compounds of A. rugosa were also increased in the light intensity of 200μmol m–2 s–1 which is applied for plant growth. Additional experiments with increased PPFD for plant growth and accumulation of bioactive compounds of A. rugosa are required.

Fig. 4.
Tilianin and total acacetin contents of A. rugosa grown under the different photosynthetic photon flux density (PPFD; 150 and 200μmol m–2 s–1) in hydroponics for 6 weeks. The values of PPFDs were measured on the planting board at the start of the experiment. Means with different letters are significantly different (P≤0.01 by DMRT).
Conclusion
The optimum growth and accumulation of tlianin and acacetin of A. rugosa in response to different nutrient solution and PPFD considering economic may extend our understanding of the mechanisms related to the biosynthesis of tilianin and acacetin in plants. Moreover, our study also indicates increasing the production of tilianin and acacetin as well plant growth of A. rugosa in a plant factory system.



