서 론
우리나라 딸기(Fragaria × ananassa Duch.)의 경제적 가치를 보면, 2016년 기준으로 재배 면적은 5,978ha이고, 생산량과 생산액은 각각 191,218톤과 1조2천억원이다 (MAFRA, 2017). 채소작물 중 생산액이 가장 높은 딸기 는 대부분 플라스틱 하우스 내에서 토경 또는 수경 재 배한다. 딸기 수경 재배는 2002년 5ha에서 2017년 1,575ha로 15년 사이 315배로 급격하게 늘어나 전체 딸 기 재배 면적의 26% 차지하고 있다(Yoon, 2017). 최근 원예작물의 다수확 및 이상기상 극복을 위해 다양한 환 경 제어 기술들이 적용되고 있다. 특히, 일조 부족에 대 응한 LED 보광 연구가 주요하게 이루어졌으며(An 등, 2011;Kang 등, 2016), 겨울 및 봄철에 재배되는 딸기는 여름작물보다 상시적인 일조 부족으로 LED 보광의 필 요성이 더욱 강조되고 있다(Choi 등, 2015). 딸기의 생 육 및 생리활성 화합물 변화 등과 관련된 LED 연구들 은 LED의 특정 파장이 딸기의 생육에 영향을 주며(Lee 등, 2015), 딸기 과실의 다양한 항산화 물질의 축적 변 화를 가져오는 것으로 보고된다(Choi 등, 2018).
딸기는 페놀화합물, 플라보노이드, 안토시아닌 같은 항 산화 물질을 다량 함유하여 성인병 및 활성 산소에 따 른 다양한 질병들을 예방하는 중요한 물질로 알려져 있 다(Amatori 등, 2016;Gasparrini 등, 2017;Patras 등, 2009). 이러한 인체에 유익한 딸기의 다양한 항산화 성 분은 LED 보광에 따라 함량의 차이가 나타나며(Choi 등, 2013), 딸기의 성숙 단계에 따른 차이도 크다(Ge 등, 2019). 또한, 품종에 따른 과실의 품질 특성 차이가 크 며(Cordenunsi 등, 2002), 딸기의 맛을 결정하는 중요한 요인인 당도, 산도 및 당산도는 성숙과정에서 그 변화가 크게 나타나는 것으로 알려져 있다(Rahman, 2016). 딸 기의 항산화 기능과 식미에 영향을 주는 식물화학물질 (phytochemicals)과는 별도로, 딸기 과일의 물리적 특성 인 경도는 수출 및 장기 유통을 위해 아주 중요한 품질 요인이다. 딸기의 맛 등을 위해서는 성숙이 많이 된 과 실이 유리하지만, 수출 등의 장기 유통을 위해서는 고경 도를 유지하는 약간 덜 익은 상태의 과실이 유리하다.
따라서 본 연구는 최근 급속히 늘어나고 있는 수경재 배 방식을 딸기 재배에 채택하여, 겨울철 부족한 일조량 을 충족하기 위해서 작물의 광합성에 필요한 적색, 청색 및 적·정 혼합 LED 광을 보조 광원으로 이용하여 딸기 를 재배한 후, 50% 착색된 딸기 과실과 100% 착색된 딸기 과실을 각각 수확하여 과실의 경도, 당도, 산도, 페 놀화합물 함량, 플라보노이드, 안토시아닌 및 항산화 활 성을 나타내는 DPPH와 ABTS 활성을 측정하여, LED 보광이 딸기 과실의 익어가는 수준에서 과실 품질의 변 화에 미치는 영향을 조사하기 위하여 실시하였다.
재료 및 방법
1. 공시재료 및 LED 처리
본 실험은 2018년 10월부터 2019년 1월까지 충청남도 예산군 소재 국립공주대학교 원예학과에서 수행되었다. 실험에 이용된 딸기 품종은 설향과 대왕(Fragaria × ananassa Duch. cv. ‘Daewang’ and ‘Seolhyang’)으로 코코피트 배지로 충진된 고설 벤치에 150mm 간격으로 정식하여 각각 처리 별로 딸기 식물체 20주를 이용하였 다. 네덜란드 PBG 딸기 전용양액[다량원소(N: P: K: Ca: Mg: S = 12.5: 3.0: 5.5: 6.5: 2.5: 3.0 me·L-1), 미량 원소(Fe: B: Mn: Zn: Cu: Mo = 1.12: 0.27: 0.55: 0.46: 0.05: 0.05 mg·L-1), pH = 5.5 ~ 6.0]으로 점적관수를 이 용하여 정식 후, 개화개시기, 그리고 수확개시기에 각각 0.4, 0.8, 그리고 1.0 dS·m-1의 농도로 공급하였다.
딸기의 보광원은 청색 LED(Blue, Parus Co. Ltd., Cheonan, Korea), 적색 LED(Red, Parus Co. Ltd., Cheonan, Korea) 그리고 청색과 적색 비율이 각각 3대 7로 구성된 혼합 LED(Combination, Parus Co. Ltd., Cheonan, Korea)로 처리하였으며(Fig. 1), 대조구는 LED 보광 없이 자연광만을 이용하였다. LED 광을 통해 딸기 식물체가 받는 광량이 약 100μmol·m-2·s-1이 되도록 광도 계(Spectrapen-138, Photon Systems Instruments, Drásov, Czech)를 이용하여 1m의 간격으로 LED를 설치하였다. LED의 보광은 11월 30일부터 1월 10일까지 매일 아침 오후 5시부터 오후 10시까지 총 6시간 실시하였다.
2. 과실 품질 분석
2019년 1월 10일에 LED를 보광한 대왕과 설향 딸기 를 LED 광원별로 각각 50%(대왕: 연한 분홍색; 설향: 절반만 붉게 착색) 및 100%(대왕과 설향 모두 붉은색으 로 전체 착색) 착색된 과실 1kg을 수확하여, 꼭지 부위 를 제거하고 균질화한 후 원심분리기(VS24SMI; Visoion Scientific Co. Ltd., Daejeon, Korea)를 이용하여 1,600×g, 4°C에서 30분 동안 원심 분리하였다. 이후 상 등액을 Whatman No.2 여과지로 여과하여 얻은 딸기 추 출물을 냉동고에 보관하며, 딸기 과실의 당도, 산도, 페 놀화합물, 플라보노이드, 안토시아닌 및 항산화 활성을 분석하였다.
과실의 경도는 경도계(FHM-1, Takemura Co. Ltd., Tokyo, Janpan)를 이용하여 측정한 후 단위면적당 무게 의 단위로 환산하였고, 과실의 당도와 산도는 당·산도계 (PAL-BX/ACID4, ATAGO Co. Ltd., Tokyo, Japan)를 이용하여 측정하였으며, 당도를 산도로 나누어 당산도를 계산하였다.
총페놀화합물의 함량은 Choi 등(2013)의 분석 방법에 따라 냉동된 딸기 추출용액을 해동하여 20%의 Na2CO3 및 50%의 Folin-Ciocalteu’s phenol reagent로 전처리한 후 분광광도계(NEO-D3117, Neogen Ltd., Daejeon, Korea)로 750nm에서 측정하였고, 함량은 gallic acid의 표준곡선에 따라 계산하였다.
플라보노이드 함량은 Bae 등(2009)의 방법을 이용하여 0.1g의 해동된 딸기 추출물에 75%의 methanol을 첨가하 여 하루 동안 추출하여 10mL의 diethylenglycol로 혼합 하여 다시 1N의 NaOH 0.1mL를 가하여 1시간 동안 반 응시킨 후 420nm에서 측정하였다. 함랑은 narigin의 표 준곡선에 따라 계산하였다.
안토시아닌의 함량은 Tonutare 등(2014)의 방법으로 냉동된 딸기 추출물을 2시간 동안 상온에서 해동하여 40mL의 ethanol과 0.1M hydrochloric acid (85%:15%, v:v)으로 처리된 3mL의 용액에 5mL의 potassium chloride(pH 1.0)과 sodium acetate(pH 4.5) 완충용액을 각각 분리하여 가한 후 30분간 상온에서 반응시켜 510 과 700nm에서 각각 흡광도를 측정하여 안토시아닌의 함 량을 계산하였다.
항산화활성 능력을 측정하는 방법인 DPPH와 ABTS 라디칼 소거능은 Choi 등(2013)의 방법으로 측정하였다. DPPH용액과 혼합된 시료를 상온에서 30분 반응시켜 517nm 파장에서 흡광도를 측정하여 전자공여능(EDA, %)을 계산하였다. EDA(%) = [1-ABS/ABC] × 100. ABS는 시료의 흡광도, ABC는 대조구의 흡광도이다. ABTS는 7.4mM ABTS와 2.6mM K2S2O8을 1대 1로 혼 합 후 암실에서 Whatman No.2 여과지로 여과한 다시 하룻밤 반응시킨 후 MeOH을 혼합하여 734nm에서 흡 광도를 조정하여 그 값을 대조구로 이용하였다. 용량이 조정된 ABTS 용액과 시료를 혼합하여 1분 동안 37°C 의 항온 수조에서 반응시켜 흡광도를 측정하여 대조구와 시료의 흡광도 차이를 DPPH 전자공여능과 동일한 백분 율로 계산하여 확인하였다.
3. 통계분석
LED 광원인 적색, 청색, 적색과 청색 혼합 광 및 대 조구에서 생육한 딸기 대왕과 설향 품종이 각각 50%와 100% 착색되었을 때, 처리 별로 과일을 무작위로 1kg 을 수확하여 당·산도 및 페놀화합물, 안토시아닌, 플라보 노이드, 항산화활성 등을 3반복으로 수행하였다. 분석된 본 실험의 결과는 SAS 통계 프로그램(SAS 9.4, SAS Institute Inc., NC. USA)을 이용하여 Duncan’s multiple range test로 95% 유의수준에서 분석하였으며, 또한 통계 처리한 값을 이용하여 Sigmaplot 프로그램(SigmaPlont 8.0, Systat Software Inc., CA. USA)으로 그래프를 작성 하였다.
결과 및 고찰
딸기 대왕과 설향 품종을 각각 적색과 청색 및 적·청 혼합 LED 광으로 재배한 후, 각각 50%와 100% 착색 되었을 때 수확하여 과실의 경도를 측정한 결과(Fig. 2), 두 품종 모두 100% 착색된 과실보다는 50% 착색된 과 실에서 경도가 유의하게 높게 나타났다. 이는 과실이 익 어갈수록 β-galactosidase의 작용으로 과실의 세포를 파 괴하기 때문에 경도가 낮아지는 일반적인 현상(Ahmed 와 Labavitch, 1980)으로 판단된다. 반면에, 적색 LED에 서 생육한 딸기 과실의 경도는 50%뿐만 아니라 100% 착색되었을 때도 다른 처리보다 유의하게 높은 것으로 나타났다. 또한, LED 광을 보광하였을 때, 딸기 과실의 경도가 전반적으로 대조구에 비하여 높아지는 경향을 보 였다. Huang 등(2018)의 보고에 따르면, 바나나를 저장 하는 동안에 LED를 보광할 때, 바나나 과실 경도의 변 화에 영향을 주는 것으로 나타났다. 특히, 적색 LED 광 은 바나나 저장 초기에는 과실 경도를 가장 높게 유지 하는 것으로 나타났다. 이뿐만 아니라 사과 재배 시에 적색 LED를 2시간 정도 보광할 때, 사과 과실의 경도가 단단해졌고(Kang 등, 2013), 다수의 토마토 품종 또한 적색 또는 적색과 원적색 광을 혼합하여 조사할 때, 과 실의 경도가 증가했다(Nájera 등, 2018). 이러한 결과로 미루어 보아, 유통에 유리한 경도가 높은 딸기를 재배하 기 위해서 LED 광을 이용한다면 어느 정도 효과가 있 을 것으로 판단된다.

Fig. 2
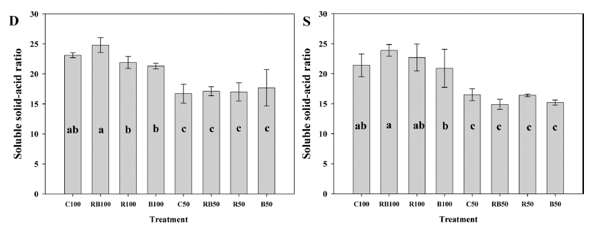
Fruit hardness of the strawberry (Fragaria × ananassa) cultivars ‘Daewang’ and ‘Seolhyang’ according to different ripening levels and supplemental LED lights. D: ‘Daewang’; S: ‘Seolhyang’; B: blue LED light; C: light control; R: red LED; RB: red and blue combination LED light; 50: 50% ripening; 100: full ripening. Vertical bars show standard deviation (n=10). Small letters inside the figure indicate mean separation by Duncan's multiple range test at p = 0.05.LED 광으로 재배한 딸기 대왕 및 설향 품종의 50% 및 100% 착색된 과실의 당도, 산도 및 당산도를 분석한 결과(Fig. 3, 4 그리고 5), 과실의 경도와는 대조적으로 당도는 100% 착색된 과실이 전반적으로 높았다. LED 광 처리에 따른 보광 효과 측면에서는, 청색 LED 광을 보광했을 때, 두 품종 모두 100% 착색된 과실이 다른 처리구보다 당도가 11°Bx로 유의하게 낮았다. 또한, 50% 착색된 과일에서는 LED 처리에 따른 당도의 영향 은 없었다. 또한, 청색과 적·청 혼합 LED에서 생육한 과 실은 오히려 대조구보다 낮은 경향을 보였다(Fig. 3). 과 실의 산도에서는, 대왕 품종은 LED 처리구에 비하여 광 을 처리하지 않은 대조구에서 50% 및 100% 착색된 과 일 모두 유의하게 높았으며, 대조구에서 생육한 딸기는 100% 착색되었을 때에도 다른 LED 처리구보다 산도의 감소가 아주 낮았다. 설향 품종은 50% 착색된 과실에서 는 광 처리별 유의한 차이를 나타내지 않았다. 반면에, 100% 착색되었을 때는 적·청 혼합 LED나 청색 LED에 서 생육한 과실의 산도가 적색 LED나 대조구에 비하여 유의하게 감소하였다(Fig. 4). 딸기 두 품종 모두 50% 착색된 과실에 비해 100% 착색된 과실에서 높은 당산 도 비율을 나타내었으며, 적색 LED에서 유의하게 높았 고, 청색 LED에서는 유의하게 낮았다(Fig. 5). Hidaka 등(2013)은 LED 보광하에서 자란 딸기의 당도가 LED 보광 없이 자란 딸기와 비교할 때 유의하게 증가하였다 고 보고했다. 반면에, Nadalini 등(2017)은 딸기 과실의 당도에서는 LED 등에 따른 유의한 차이가 없는 것으로 보고하였다. 이와는 다르게 Choi 등(2018)이 딸기 설향 품종을 대상으로 LED 보광 재배하여 과실의 유리당(과 당, 포도당, 자당)과 유기산(구연산, 말산, 옥살산)의 변 화를 보고한 결과에서는, 적색 LED를 제외하고는 청색 과 적색·청색 혼합 LED에서 생육한 딸기 과실의 총 유 리당과 유기산이 증가하였다고 했다. 우리의 연구는 당· 산도계를 이용하여 총 당도와 산도의 함량을 조사한 것 이며, 야간 보광의 개념으로 야간만 광 조사한 것에 비 해, Choi 등(2018)은 과당, 포도당, 자당 및 구연산, 말 산, 옥살산 등의 특정 성분을 분석한 것이며, 또한, 2단 베드의 하단 베드 부위에 낮동안 그늘로 인하여 빛을 받지 못할 때, 보광한 개념으로 우리의 연구와는 많이 다른 환경적 차이가 존재하기 때문에 당도 및 산도의 결과가 다른 것으로 생각된다. 앞의 연구들로 미루어 보 아, 딸기의 당도 및 산도와 같은 품질 특성은 품종이나 LED 광의 종류 및 과실의 성숙 정도에 따라 달라지는 것으로 사료된다.

Fig. 3
Soluble sugar contents of fruit of the strawberry (Fragaria × ananassa) cultivars ‘Daewang’ and ‘Seolhyang’ according to different ripening levels and supplemental LED lights. D: ‘Daewang’; S: ‘Seolhyang’; B: blue LED light; C: light control; R: red LED; RB: red and blue combination LED light; 50: 50% ripening; 100: full ripening. Vertical bars show standard deviation (n=10). Small letters inside the figure indicate mean separation by Duncan’s multiple range test at p = 0.05.
Fig. 4
Acidity of fruit of the strawberry (Fragaria × ananassa) cultivars ‘Daewang’ and ‘Seolhyang’ according to different ripening levels and supplemental LED lights. D: ‘Daewang’; S: ‘Seolhyang’; B: blue LED light; C: light control; R: red LED; RB: red and blue combination LED light; 50: 50% ripening; 100: full ripening. Vertical bars show standard deviation (n=10). Small letters inside the figure indicate mean separation by Duncan’s multiple range test at p = 0.05.
Fig. 5
Soluble solid-acid ratio of fruit of the strawberry (Fragaria × ananassa) cultivars ‘Daewang’ and ‘Seolhyang’ according to different ripening levels and supplemental LED lights. D: ‘Daewang’; S: ‘Seolhyang’; B: blue LED light; C: light control; R: red LED; RB: red and blue combination LED light; 50: 50% ripening; 100: full ripening. Vertical bars show standard deviation (n=10). Small letters inside the figure indicate mean separation by Duncan’s multiple range test at p = 0.05.LED 조명하에서 재배된 딸기 대왕과 설향 품종을 각 각 50%와 100% 착색되었을 때 수확한 과실의 총 페놀 화합물과 플라보노이드 및 안토시아닌 함량의 변화를 확 인한 결과(Table 1과 2), 총 페놀화합물과 플라보노이드 의 함량은 LED 처리구에 비하여 대조구에서 생육한 대 왕과 설향 품종의 과실 모두 유의하게 높았다. 특히, 대 왕과 설향 모두 대조구에서 생육한 과실은 착색된 정도 에 상관없이 페놀화합물 함량이 2,000mg·100g-1이상으로 청색이나 적색 LED에서 생육한 100% 착색된 과실의 함량보다 약 60% 이상 높은 것으로 나타났다. 안토시아 닌의 함량은 LED 보광에 의한 효과는 없었다. 단지, 익 은 정도에 따라 안토시아닌의 함량이 달라졌다. 안토시 아닌을 품종별로 보면 설향 품종이 대왕 품종보다 과실 이 익어갈수록 안토시아닌의 함량이 크게 높아지는 것으 로 나타났다. 또한, 페놀화합물의 경우는 과실이 익어갈 수록 감소하는 경향을 보인 반면에, 플라보노이드와 안 토시아닌은 익어갈수록 함량이 증가하는 것으로 나타났 다. 식물의 페놀화합물 대사와 관련하여, 페놀화합물은 phenylpropanoid의 형태로 많은 양이 존재하며, 이 phenylpropanoid는 생합성 과정에서 안토시아닌이나 플 라보노이드 등의 유도체가 된다(Cheng과 Breen, 1991;ishikura 등, 1984). 따라서 딸기의 phytochemical 함량에 있어 LED의 영향은 크다고 할 수 없으며, 주로 과실의 성숙에 따른 발달과정의 생합성 대사의 영향이 큰 것으 로 판단된다.
Table 1. Phytochemicals contents of fruit of the strawberry (Fragaria × ananassa) ‘Daewang’ cultivar according to different ripening levels and supplemental LED lights.
![]() |
Table 2. Phytochemicals contents of fruit of the strawberry (Fragaria × ananassa) ‘Seolhyang’ cultivar according to different ripening levels and supplemental LED lights.
![]() |
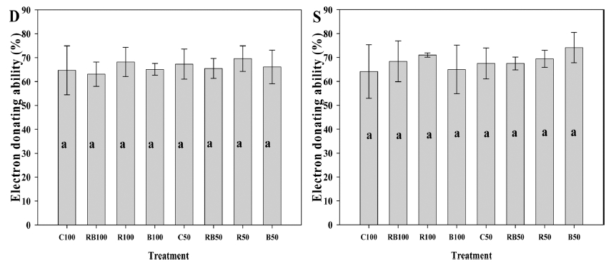
활성산소종의 활성을 저감하는 항산화력을 나타내는 과실의 DPPH 및 ABTS에 대한 본 연구의 LED 및 착 색 정도에 따른 분석결과(Fig. 6와 7), 대왕과 설향 품종 모두 DPPH의 자유 라디칼 소거능은 익은 정도나 LED 에 대한 영향이 없는 것으로 나타났다(Fig 4). ABTS 활 력 또한 90% 전·후의 값으로 분석되었으며, 처리 간의 큰 값의 차이를 보이지는 않았다. 일반적으로 페놀화합 물, 플라보노이드, 안토시아닌 등은 대표적인 원예작물의 항산화 물질로 알려져 있으나(Ruiz 등, 2018), 본 연구 에서 phytochemical의 함량과 항산화력과의 관계가 작아 보였다.

Fig. 6
DPPH free radical scavenging activity of fruit of the strawberry (Fragaria × ananassa) cultivars ‘Daewang’ and ‘Seolhyang’ according to different ripening levels and supplemental LED lights. D: ‘Daewang’; S: ‘Seolhyang’; B: blue LED light; C: light control; R: red LED; RB: red and blue combination LED light; 50: 50% ripening; 100: full ripening. Vertical bars show standard deviation (n=10). Small letters inside the figure indicate mean separation by Duncan's multiple range test at p = 0.05.
Fig. 7
ABTS radical cation decolorization activity of fruit of the strawberry (Fragaria × ananassa) cultivars ‘Daewang’ and ‘Seolhyang’ according to different ripening levels and supplemental LED lights. D: ‘Daewang’; S: ‘Seolhyang’; B: blue LED light; C: light control; R: red LED; RB: red and blue combination LED light; 50: 50% ripening; 100: full ripening. Vertical bars show standard deviation (n=10). Small letters inside the figure indicate mean separation by Duncan's multiple range test at p = 0.05.본 연구의 결과로 보아, 딸기 과실 성분함량의 변화에 있어서, 과실의 성숙도에 따른 영향이 크지만, LED 처 리에 따른 영향도 어느 정도 유의하게 나타나며, 딸기의 유통과 관련된 과실의 경도 측면에서는 LED 보광의 효 과가 충분하므로, 딸기 재배 시 LED 보광 재배는 효과 가 있을 것으로 판단된다.





