서 론
재료 및 방법
1. 시험 재료 및 재배 관리
2. 시험 처리
3. 환경 데이터 수집 및 생육조사
4. 엽병 즙액 및 엽 조직 내 양분 함량 측정 방법
5. 통계분석
결과 및 고찰
서 론
수경재배는 토양 없이 배지와 양액을 이용해 작물을 재배하는 정밀농법으로, 연작장해 회피, 생산성 향상, 작업 편의성 증대 등의 장점을 지닌다. 우리나라는 1990년대에 정부의 시설 현대화 사업을 계기로 수경재배가 본격 보급되었으며, 딸기, 토마토, 파프리카 등 고소득 작목을 중심으로 면적이 지속적으로 확대되어 2023년에는 4,351ha에 이르렀다(KOSIS, 2023; RDA, 2021).
풋고추(Capsicum annuum)는 2023년 기준 국내 시설채소 전체 재배면적의 7.1%(3,770ha)를 차지하며, 총 재배면적 3,796ha, 총 생산량 144,748톤에 이르는 중요한 시장 작목이다(KOSIS, 2023). 풋고추의 주요 재배형태인 비가림하우스 내 토경재배는 풋마름병, 역병, 선충 등의 병해충과 염류 집적에 의한 연작장해를 유발한다(RDA, 2021). 또한 풋고추는 시설재배 시 10a 기준 1작기당 약 401시간의 노동력이 소요되며, 이는 노지가을배추(63시간), 노지당근(75시간)과 비교했을 때 상대적으로 높은 수치이다(RDA, 2023). 이러한 점들을 고려할 때, 풋고추 재배에서도 수경재배로의 전환을 통한 토양성 병해충 억제 및 작업 효율 향상이 필요하다. 더불어 풋고추는 겨울철(1-3월) 가격이 8,200원/kg(2024년 산지공판장 기준)으로 연평균 가격인 4,250원/kg 대비 1.9배 이상 높게 형성되므로(Marketlink, 2025), 수경재배를 통한 연중생산체계 확립은 농가 소득 증대에 기여할 수 있다.
그러나 2020년 풋고추 수경재배 면적은 약 13.8ha에 불과하며, 이 중 절반에 해당하는 6.9ha를 경남 지역이 차지한다(RDA, 2021). 2000년대 초반 풋고추에 수경재배가 도입됐으나, 딸기, 파프리카 등 경제성이 높은 작물에 밀려 상용화되지 못하였다. 풋고추 농가들은 상세한 양액관리 매뉴얼이 없어 수경재배로의 전환에 어려움을 겪고 있다. 기존 농업기술길잡이(RDA, 2021)에 제시된 풋고추 급액량 기준은 생육초기 또는 겨울재배 시 1L·plant-1·day-1 이하, 최성기 또는 여름재배 시 2L·plant-1·day-1이나, 기상환경의 변동성을 반영하지 못해 농가들이 현장에서 실제로 적용하기에는 한계가 있다.
이러한 기존 급액관리의 한계를 극복하기 위해 수경재배에 ICT(Information and Communication Technology)를 적용한 연구들이 활발히 이루어지고 있다. 특히 일사량에 기반한 급액제어 방식은 작물의 증산량을 추정할 수 있어 기존의 타이머 방식보다 더 정밀한 양·수분 관리가 가능하다(Roh와 Lee, 1996; Stanhill와 Scholte, 1974). 또한 ICT를 활용하여 수집된 온실 내 환경 정보(예: 온도, 습도, 광량, CO2 농도, 수증기압포차 등)는 작물의 광합성, 호흡, 증산에 직접적인 영향을 미치는 주요 요인으로, 이러한 데이터를 기반으로 실시간 환경 제어가 이루어질 경우 작물의 생산성을 극대화할 수 있다(Lee 등, 2019).
한편, 토마토 등 일부 수경재배 선도 작목에서는 접목묘 도입 연구가 활발히 이루어지고 있다(Sharma 등, 2019). 접목묘를 활용할 경우 장기재배에서도 작물의 세력을 유지할 수 있으며, 생산성과 과실 품질을 향상시킬뿐만 아니라 불량 환경에 대한 적응성 또한 높일 수 있다(Albornoz 등, 2018; Colla 등, 2010; Di 등, 2010; Li 등, 2008). 그러나 접목묘는 근권부의 양·수분 흡수능력이 뛰어나 실생묘와는 차별화된 급액 전략이 요구된다.
이에 본 연구는 풋고추 수경재배에 ICT 기술을 적용하여 온실 환경을 모니터링하고, 실생묘와 접목묘 각각에 대한 일사량 기반 급액량을 설정함으로써 풋고추 수경재배 기술 확립의 기초자료로 활용하고자 수행하였다.
재료 및 방법
1. 시험 재료 및 재배 관리
전북특별자치도농업기술원(익산시 서동로 413) 내 스마트온실(남북방향)에서 2023년 8월부터 2년간 본 연구를 수행하였다. 온실은 폭 8m, 길이 36m, 측고 5m, 동고 6.2m의 3연동이며, 배지를 받치는 거터(gutter)는 남북방향으로 140cm 간격으로 배치하였다. 실생묘는 ‘순한길상’(Sakata Korea Co., Korea)을 사용하였으며, 기존 억제재배 작형(정식: 9월 하순, 수확: 10월 하순-이듬해 4월 중순)보다 시기를 약간 앞당긴 2024년 6월 26일에 파종하여 65일간 육묘 후 8월 29일에 정식하였다. 접목묘의 경우 6월 21일에 파종한 ‘순한길상’ 접수와 ‘BN901’(Sakata Korea Co., Korea) 대목을 7월 29일에 접목한 뒤 8월 29일에 정식하였다. 배지는 칩(crushed chips)과 더스트(dust) 비율이 7:3(%, v/v)이며, 100×20×15cm 규격의 코이어슬라브(SJ Co., Korea)를 사용하였고, 30cm 간격으로 식재하였다. 양액은 원수 분석 후 양액 공급기(Magma 1000 V2.0, Green control system, Damyang, Korea)로 고추 전용 원예연 양액 조성(NO3-NH4-PO4-K-Ca-Mg-SO4 = 2.5-0.8-0.3-7.0-4.0-2.0-0.7me·L-1)에 맞춰 공급하였다. EC의 경우 생육초기-중기-후기를 각각 1.0-2.0-1.6dS·m-1으로 처리와 상관없이 동일하게 설정하였다. 2번째 방아다리에서 나온 꽃이 개화하는 시점을 기준으로 생육초기와 중기로 구분하였고, 풋고추 철거 전 1개월 기간을 생육 후기로 구분하였다.
2. 시험 처리
시험처리는 2수준 4요인 실험으로 묘목 종류(접목 유무) 2처리와 급액량 4처리를 설정하였다. 가지 유인의 경우, 방아다리 후 기준이 되는 4줄기만을 걸이형 유인줄을 이용하여 위로 잡아주고, 나머지 가지는 방임하는 방식으로 관리하였으며, 첫 번째 방아다리에서 나오는 측지는 일반적으로 제거하되, 초세를 균일하게 관리하기 위해 일부 세력이 강한 개체에 한해서는 남겨두었다. 일사제어 급액량 처리의 경우, T1(생육초기-중기): 40-120, T2: 50-160, T3: 60-200, T4: 70-240mL·100J-1·plant-1 처리를 두고, 각 처리에 대해 풋고추 실생묘와 접목묘를 대상으로 생육특성 및 생산성 등을 비교·분석하였다.
3. 환경 데이터 수집 및 생육조사
환경 데이터는 마그마 온실 복합 환경 제어 시스템(Magma 1000 V2.0, Green control system, Damyang, Korea)을 이용하여 작물 생리에 중요한 5가지 환경 지표(온도, 습도, 수증기압포차, 광량, CO2 농도)를 수집하고 시기별 일일 변화를 분석하였다. 수증기압포차(VPD)는 아래의 식을 이용하여 계산하였다.
VPD-vapor pressure deficit (kPa); SVP-saturated vapor pressure at air temperature (kPa); RH-relative humidity (%); exp-natural exponential function; T; air temperature (℃)
배지 데이터는 배지함수율측정장치(RMFarm2-Advanced, IreIS, Gangneung, Korea)를 이용하여, 실생묘를 대상으로 배지 온도, 배지 무게, 급액량, 배액량, 배액 EC, pH 등을 수집하였고, 아래의 식을 이용하여 배지무게함수율(SWC)과 배액률(DR)을 계산하였다.
SWC-substrate water content rate (%); WO-initial substrate weight; W-final substrate weight; DR-drainage ratio; DV- drainage volume; IV-irrigation volume
생육조사는 처리별 3반복, 반복당 5주를 대상으로 초장, 경직경, 가지수, 절간장, SPAD를 농촌진흥청 주요 노지민감채소 생육조사 매뉴얼(RDA, 2020)에 따라 조사하였다. 초장은 지면에서부터 제일 긴 가지의 최장엽 끝까지의 길이를 조사하였고, 주경장은 지면에서부터 첫 번째 꽃 개화지점(첫 분지, 방아다리)까지의 길이를 측정하였다. 경경은 캘리퍼스를 이용하여 지제부에서 3cm 위 줄기 굵기를 측정하였고. 분지 수는 가장 긴 줄기를 선택하여 1분지에서 꽃망울이 있는 곳까지 측정하였다. 절간장은 (초장-주경장)/(분지 수-1)로 측정하였으며, SPAD 값은 휴대용 비파괴 엽록소측정기(SPAD-502 Plus, KONICA MINOLTA, Chiyoda, Tokyo, Japan)로 측정하였다.
4. 엽병 즙액 및 엽 조직 내 양분 함량 측정 방법
엽병 즙액 및 엽신 내 총질소(Total-N), 총인(Total-P)과 칼륨(K+)함량 분석을 위해 정식 후 65일, 127일, 215일 시점에 생장점으로부터 세 번째 분지에 위치한 잎을 처리별 5주에서 4장씩 총 20장을 채취하였고, 엽 채취 30분 이내에 엽병을 분리한 뒤 엽병 무게를 처리별로 균일하게 맞추고 갈릭프레스로 착즙하였으며, 분리된 엽은 60℃에서 72시간 건조시켰다. 채취한 즙액과 건조시킨 엽은 항목별로 전처리를 거친 후 각각의 분석법에 따라 총질소, 총인, 칼륨 함량을 정량하였다.
엽병 즙액 내 총질소 분석은 자외선 흡광광도법을 이용하였으며, 알칼리성 과황산칼륨 용액을 첨가한 후 120℃에서 30분간 고압멸균기(Autoclave)를 이용해 분해하였다. 분해 후 냉각한 시료의 상등액 10mL에 염산과 증류수를 1:16(v/v)로 희석한 용액 2mL를 첨가하고, 비색계 SmartChem 170(AMS Alliance, Italy)을 이용해 220nm 파장에서 흡광도를 측정하였다. 엽신 내 총질소 함량의 경우 시료 100mg을 칙량하여 원소분석기 Vario MAX cube(Elementar Analysensysteme GmbH, Germany)를 사용하여 측정하였다.
엽병 즙액 내 총인(T-P)은 아스코르빈산 환원법(Ascorbic acid reduction method)에 따라 분석하였다. 전처리 과정은 총질소와 동일하게 고압멸균 분해 후, 상등액 10mL에 몰리브덴산암모늄-아스코르빈산 혼합시약(Ammonium molybdate-ascorbic acid reagent; 5:1, v/v)을 첨가하여 30℃에서 15분간 반응시킨 후, 비색계 SmartChem 170을 이용하여 880nm에서 흡광도를 측정하였다.
엽병 즙액 내 칼륨(K⁺) 분석을 위해, 착즙한 즙액 0.5mL를 10mL의 질산과 혼합한 뒤 마이크로웨이브 분해장치(Microwave Digestion System)에서 200℃로 10분간 가열한 후 55℃까지 냉각하였다. 전처리된 시료는 유도결합플라즈마 발광분광광도계(ICP-OES 5900; Agilent Technologies, USA)를 사용하여 분석하였다. 엽신 내 총인과 칼륨 함량 역시 동일한 과정을 거쳐 분석을 수행하였다. 엽병 즙액 및 엽 내 N, P, K 함량 분석은 Agricultural Environmental Resource Analysis Methods(Jeollabuk-do, 2017)에 따라 수행하였다.
5. 통계분석
통계분석은 R Studio (4.5.0.) 프로그램을 이용하여 Analysis of variance 결과가 통계적으로 유의한 수준에 해당될 때 사후검정으로 유의수준 5%에서 Duncan’s multiple range test (DMRT)로 수행하였고, 그래프 작성에는 SigmaPlot(SigmaPlot 14.5, Systat Software Inc., San Jose, CA, USA)을 이용하였다.
결과 및 고찰
풋고추 수경재배 기간(2024. 8. 23.-2025. 4. 15.) 동안 ICT 환경제어시스템을 통해 온실 내 온도, 상대습도, 수증기압포차(VPD), 광량, CO2 농도를 실시간으로 수집하였으며, 9월, 11월, 1월, 3월의 일일변화 그래프를 Fig. 1에 제시하였다. 9월(Fig. 1A)은 천창과 측창을 개방한 상태에서도 10:00- 17:00 사이의 평균 온도가 풋고추 생육 최대온도인 30℃ 이상인 일수가 16일로 관찰되었으며, 광량은 11:00-14:00 사이 600w·m-2 이상인 일수가 14일로 관찰되어 풋고추 광포화점(450w·m-2)을 초과하였다(RDA, 2021). 또한 수증기압포차(VPD)는 맑은날 기준 11:00-17:00에 1.4-2.6kPa로 높게 관찰되었다. 11월(Fig. 1B) 평균 온도는 가장 높은 시간대인 13:00에도 22℃를 넘지 않았으며, 11:00-12:00 사이의 평균 광량 역시 380w·m-2로 관찰되었다. 또한 09:00-11:00에 VPD는 약 0.24-0.42kPa 수준으로 관찰되었고, CO2 농도가 오전 중 급격히 감소되었다. 1월(Fig. 1C)에도 오전 중 평균 온도는 낮았으나, 12:00 이후 광량이 499w·m-2까지 올라갔으며, 13:00경 평균 온도가 26.8℃로 관찰되었다. 상대습도가 낮은 조건에서 VPD는 적정 범위를 유지하였으며, CO2 농도는 10:00-14:00 사이에 441ppm에서 347ppm으로 급격히 감소하였다. 3월(Fig. 1D)은 09:00-17:00 사이의 평균 온도가 22.4-25.7℃, VPD는 0.45-1.07kPa로 관찰되었으며, 광량 또한 500w·m-2 이상으로 관찰되었다.
ICT 온실의 일사 센서를 통해 측정된 누적 일사량을 기반으로 급액량을 달리 처리(T1-T4)한 뒤, 풋고추 실생묘와 접목묘 각각에 대한 생육특성, 생산성, 과실 품질 등을 조사하였다. 정식 후 40일 시점 접목묘의 생육특성을 보면 경직경 8.2-9.0mm, 분지수 7.0-7.8개, SPAD 49.6-56.1로 실생묘 보다 유의하게 높은 경향을 보였으며, 급액량 처리 간에는 실생묘에서 경직경을 제외하고 유의한 차이는 나타나지 않았다(Table 1). 정식 후 174일 시점에도 접목묘의 경직경이 20.7-24.6mm로 실생묘 18.9-22.5mm 보다 높게 유지되었으며, 급액량 처리에 따라 접목묘는 급액량이 증가할수록 초장이 102.8cm(T1) 부터 127.4cm(T3) 까지 증가하는 경향을 보였다. 반면, 실생묘는 T1 처리에서 초장이 109.2cm로 다소 낮았으며, T2 이상부터는 114.0-116.4cm로 유사한 수준으로 관찰되었다(Table 1).
Table 1.
Growth characteristics of green pepper as affected by seedling type and solar radiation-controlled irrigation level.
|
Seedling type (A) |
Irrigation
level (B) |
40 days after planting (Oct. 7, 2024) |
174 days after planting (Feb. 18, 2025) | |||||||||
|
Plant height (cm) |
Stem diameter (mm) |
Number of branches (ea/plant) |
Internod e length (cm) | SPAD |
Plant height (cm) |
Stem diameter (mm) |
Number of
branches (ea/plant) |
Internode
length (cm) | SPAD | |||
| Non-grafted seedling | T1 | 79.0 az | 8.9 a | 7.0 ab | 4.9 a | 47.2 b | 109.2 bc | 21.6 bcd | 15.2 a | 4.5 a | 71.1 a | |
| T2 | 78.0 a | 8.1 ab | 6.4 b | 5.5 a | 52.0 ab | 115.8 abc | 18.9 d | 15.6 a | 5.1 a | 62.4 b | ||
| T3 | 76.8 a | 7.7 b | 6.8 b | 5.1 a | 48.0 b | 116.4 ab | 20.8 cd | 15.2 a | 5.2 a | 65.9 ab | ||
| T4 | 77.0 a | 7.6 b | 6.6 b | 5.0 a | 46.3 b | 114.0 abc | 22.5 abc | 16.6 a | 5.5 a | 70.9 a | ||
| Grafted seedling | T1 | 76.6 a | 8.2 ab | 7.2 ab | 5.4 a | 50.3 ab | 102.8 c | 20.7 cd | 15.4 a | 5.2 a | 71.1 a | |
| T2 | 77.8 a | 8.6 a | 7.8 a | 4.2 a | 49.6 ab | 114.8 abc | 24.1 ab | 16.4 a | 5.5 a | 71.7 a | ||
| T3 | 72.4 a | 8.9 a | 7.0 ab | 4.9 a | 52.6 ab | 118.4 ab | 22.0 abc | 17.0 a | 5.9 a | 66.4 ab | ||
| T4 | 79.2 a | 9.0 a | 7.2 ab | 5.4 a | 56.1 a | 127.4 a | 24.6 a | 16.6 a | 6.3 a | 67.7 ab | ||
| F-test | A | NS | ** | ** | NS | * | NS | ** | NS | NS | NS | |
| B | NS | NS | NS | NS | NS | ** | * | NS | NS | NS | ||
| A × B | NS | ** | NS | NS | * | NS | * | NS | NS | NS | ||
2024년 10월부터 이듬해 4월까지 수확한 풋고추의 총 수량을 누적하여 비교한 결과, 실생묘에서는 T1(3,600g·plant-1) 보다 T2(4,368g·plant-1) 처리구에 수량이 유의하게 높았으나, T3(4,634g·plant-1)와 T4(4,710g·plant-1)는 수량 증가가 미미하였다(Fig. 2). 실생묘 배액률 상자그림(box plot) 분석 결과, T2 처리의 배액률 사분위수 범위(Q3-Q1)는 생육초기 13-31%, 생육중기 20-34%로 관찰되었다(Fig. 3). T2 보다 높은 급액량 처리는 일부 수량 증가 효과를 기대할 수 있으나, 배액률이 지속적으로 증가함에 따라 양액 낭비가 커지고, 이에 따른 경제적 손실이 높아질 것으로 판단된다. 한편, 생육중기 T2 처리의 배액률 사분위수 범위(20-34%)는 생육초기와 달리 T1(21-42%) 처리보다 소폭 감소하는 경향을 보였는데, 이는 생육초기에는 처리 간 생육 차이가 거의 없었던 반면, 생육중기에는 T2 처리구에서 생육과 생산량이 향상되며 양액 흡수량이 증가한 결과로 해석된다(Figs. 2 and 3, Table 1).
접목묘의 급액량 처리별 누적 생산량을 비교한 결과, T1 처리구는 3,569g·plant-1으로 유의하게 낮았으며, T2와 T3는 유사한 수준을 보였다. T4 처리구에서는 6,306g·plant-1으로 유의하게 가장 높은 생산량이 관찰되었다(Fig. 4). 이러한 결과는 실생묘의 경우 T2 처리 이상에서 생산성 증가가 미미한 반면, 접목묘는 급액량이 증가할수록 생산성이 지속적으로 향상될 수 있음을 시사한다. 특히, 접목묘의 T4 처리구는 2025년 3월 이후에도 높은 생산성을 유지하였다. 이는 토마토 접목묘를 활용한 수경재배에서 생육 후기까지 세력이 유지되어 장기재배에 적합하고, 생산성도 우수하였다고 보고한 선행연구 결과와 유사하다(Ahn 등, 2019; Rahmatian 등, 2014). 다만, 풋고추 접목묘 도입 효과에 대한 보다 명확한 검증을 위해서는 재배 기간을 연장하고, T4 이상의 급액량 처리에 대한 실험뿐 아니라, 배액률 조사 및 경제성 분석 등의 추가 연구가 필요할 것으로 판단된다.
과실 품질 조사 결과, 정식 후 54일 시점에는 접목묘의 T2 및 T3 처리구에서 과중이 각각 21.4g, 22.3g으로 가장 높았으며, 전반적으로 실생묘(T3: 14.8g, T4: 17.8g) 보다 접목묘에서 과중이 높은 경향을 보였다(Table 2). 반면, 정식 후 146일 시점에는 접목 여부 및 급액량 처리에 따른 과중과 과폭에 유의한 차이가 없었으며, 과장만 처리 간 유의한 차이를 보였다(Table 2).
Table 2.
Fruit characteristics of green pepper as affected by seedling type and solar radiation-controlled irrigation level.
|
Seedling type (A) |
Irrigation level (B) |
54 days after planting (Nov. 4, 2024) |
146 days after planting (Jan. 21, 2025) | |||||
|
Fruit weight (g/fruit) |
Fruit length (cm) |
Fruit width (mm) |
Fruit weight (g/fruit) |
Fruit length (cm) |
Fruit width (mm) | |||
| Non-grafted seedling | T1 | 15.7 bcz | 13.5 b | 16.6 bc | 21.9 a | 12.5 c | 19.4 a | |
| T2 | 14.8 c | 13.5 b | 15.9 c | 21.9 a | 13.6 ab | 19.3 a | ||
| T3 | 17.8 b | 14.7 a | 16.9 bc | 20.6 a | 12.9 b | 18.9 a | ||
| T4 | 16.9 bc | 14.2 ab | 17.0 bc | 21.3 a | 13.4 ab | 19.5 a | ||
| Grafted seedling | T1 | 15.9 bc | 13.5 b | 18.0 ab | 22.6 a | 13.2 b | 19.5 a | |
| T2 | 21.4 a | 14.7 a | 18.1 ab | 22.8 a | 14.3 a | 19.6 a | ||
| T3 | 22.3 a | 14.6 ab | 19.5 a | 21.1 a | 12.7 bc | 18.5 a | ||
| T4 | 16.1 bc | 13.9 ab | 17.9 ab | 22.8 a | 13.5 ab | 19.9 a | ||
| F-test | A | *** | NS | *** | NS | * | NS | |
| B | *** | * | NS | NS | *** | NS | ||
| A × B | *** | NS | NS | NS | NS | NS | ||
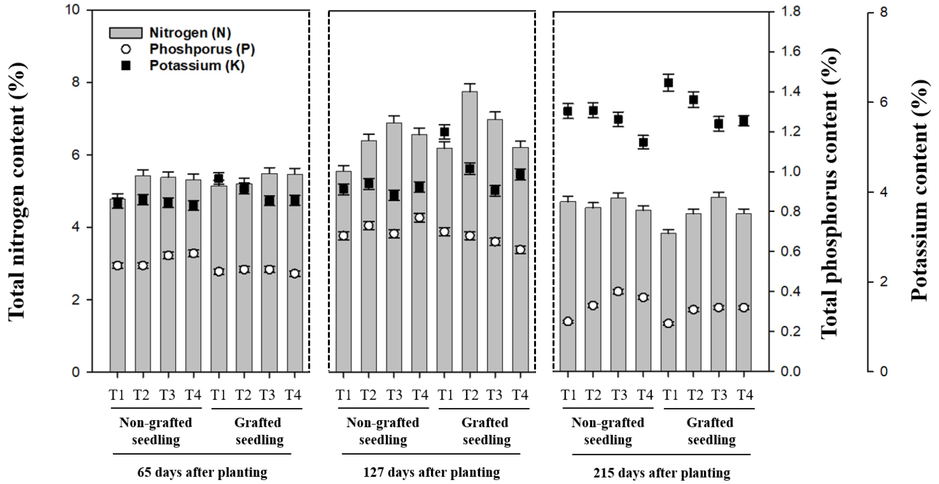
엽신은 광합성의 주요 기관으로 작물의 생장과 에너지 대사에 직접 연관되며, 엽신 내 N, P, K 함량은 작물의 장기적인 양분 축적 경향이나 종합적인 양분 상태를 평가할 때 활용된다(Fageria, 2009). 반면 엽병은 수분과 양분의 수송을 담당하는 구조로 대사물질의 저장 보다는 이동 경로로서의 의미가 크기 때문에 실시간 생리 상태를 평가하는 지표로 활용된다(Lu 등, 2022). 이에 본 연구에서는 풋고추의 접목 여부 및 급액량에 따른 영향을 보다 정밀하게 분석하기 위해, 엽병과 엽신을 분리하여 각각의 N, P, K 함량을 분석하였다.
엽병 즙액과 엽신 조직 내 총질소(T-N), 총인(T-P), 칼륨(K⁺) 함량을 분석한 결과, 접목 여부나 급액량 처리와 관계없이 생육 후기로 갈수록 엽병 즙액 내 T-N과 T-P는 감소하고 K⁺는 증가하는 경향을 보였다(Fig. 4). 엽신 조직 내에서는 T-N과 T-P가 생육 중기에 증가한 후 생육 후기에 감소하였으며, K⁺는 생육 기간 내내 지속적으로 증가하였다(Fig. 5). 이러한 경향은 생육 후기로 갈수록 식물체 내 양분 농도가 낮아진다는 기존 연구 결과와 유사하나(Rodrigo 등, 2005), 칼륨의 경우는 오히려 증가하는 상반된 결과를 보였다. 또한, 선행연구에서는 접목묘에서 엽병 즙액 내 양분 함량이 높게 나타난다고 보고되었으나(Lee 등, 2023), 본 실험에서는 생육 시기나 양분 종류와 관계없이 실생묘에서 전반적으로 엽병 즙액 내 N, P, K 함량이 더 높게 관찰되었다(Fig. 4). 반면, 엽신 조직 분석 결과에서는 정식 후 127일 시점의 총질소 함량과 생육 전반에 걸친 칼륨 함량이 접목묘에서 더 높게 나타났다(Fig. 5).
한편, 엽병 즙액 내 N, P, K 함량은 식물체의 총 함량과 유의한 상관관계가 있다고 보고되었으나, 엽령, 수분 상태, 채취 시간 등에 따라 분석 결과가 크게 달라질 수 있음이 지적된 바 있다(Ávila-Juárez와 Rodríguez-Ruiz, 2020; Lu 등, 2022). 본 실험에서도 엽병 즙액 내 T-N 함량과 엽 조직 내 총질소 함량 간에는 낮은 상관성을 보인 반면, T-P과 K⁺은 높은 상관성을 나타냈다. 그러나 즙액 내 N, P, K 함량은 생산성과의 관련성이 낮았기 때문에, 즙액 분석(sap analysis)의 실질적인 활용을 위해서는 채취 엽의 위치(엽령), 수분 상태, 채취 시간 등을 고려한 추가 연구가 필요할 것으로 판단된다.
특히 본 실험 기간 중 온실 내 높은 온도(9월)나 낮은 수준의 VPD(11월) 및 CO2 농도(11월, 1월)와 같은 환경 스트레스는 광합성률 저하와 기공 개도 감소를 초래하여 작물의 수분 및 양분 흡수를 제한했을 가능성이 있다. 실제로 CO2 농도의 급격한 감소는 동화 작용의 제한을 시사하며, 이는 엽병 즙액 및 엽신 조직 내 N, P, K 함량 변화의 명확한 처리 간 차이를 나타내지 않은 원인 중 하나로 작용했을 수 있다. 이러한 결과는 생육 환경에 따른 작물의 양수분 흡수 반응이 시기별로 다르게 나타날 수 있으며, 엽병 및 엽신 내 양분 함량 해석 시 환경요인을 함께 고려할 필요성을 시사한다.
결과를 종합하면, ICT 기반 온실 내 측정된 누적일사량을 기반으로 급액량을 처리한 결과, 실생묘는 T2(생육초기-중기: 50–160mL·100J-1·plant-1) 처리에서 생산성과 양액 사용 효율이 가장 우수하였고, 접목묘는 T4(70-240mL·100J-1· plant-1) 처리 시 생육 후기까지도 높은 생산성을 유지하여 실생묘보다 수량 확보에 유리하였다. 따라서 본 연구는 풋고추 수경재배에 ICT 기술을 적용하여 급액량 제어를 정밀화하고, 접목묘 도입의 가능성을 검토함으로써, 풋고추 수경재배 최적화 기술 확립을 위한 기초자료로 활용하고자 한다.







