서 언
한국 채소 생산량은 2016년 기준 5,270,936ton이며, 한국인 1인당 채소 섭취량은 평균 303.7g·day-1로 이는 식사의 약 20%의 수준이다(Hwang 등, 2014; Lee 등, 2016). 사람은 채소로부터 비타민, 무기질, 식이섬유 등 을 공급받아 채소의 섭취비율을 늘리는 것은 비만, 대사 증후군을 유의하게 낮춘다고 보고하고 있고, 특히 무기 질 중 칼륨은 채소에서 약 30%를 공급받아(Lee 등 2013, Lee 등, 2017) 인체 세포액 내 다량으로 존재하여 근육과 신경의 기능을 조절하기 때문에 하루 3,500 mg 의 섭취량을 권장하고 있다(KNS, 2015).
그러나 신장의 기능이 저해된 만성신부전환자의 경우 섭취한 칼륨을 정상적으로 배설하지 못하므로 혈중 칼륨 농도가 높아지고(Lim, 2006), 특히 혈액투석을 요하는 환자의 경우 고칼륨혈증의 위험으로 칼륨섭취량을 일일 40 mg·kg-1이하로 제한이 필요하다(NKF, 2009). Woo 등 (2014)은 채소의 섭취량과 혈청 칼륨농도의 상관관계 연 구에서 채소류 섭취량에 따라 혈청 칼륨농도가 유의하게 높아진다고 하였는데 칼륨 함유량이 높은 채소를 주로 섭취하는 환자의 경우 혈청 칼륨농도가 5.43±0.45meq·L-1 로 나타났으며, 이는 정상 혈청 칼륨농도 범위인 3.7- 5.3meq·L-1를 벗어나는 수준이다.
만성신부전 환자들에 대한 채소섭취에 있어서 한국영 양학회(The Korean Nutrition Society)는 채소를 삶아서 칼륨을 용출시키고 조리하고 섭취할 것을 권장하고 (KDA, 1997) 투석환자 식단의 경우 생채소를 공급하지 않고 있다. 그러나 생채소의 제한은 신장환자의 영양조 사에서 비타민C와 엽산부족을 야기한다고 보고되었으며 (Lee and Lee, 2016), 이는 권장섭취량의 약 60% 수준 이다. 가족과 다른 제한된 환자식은 삶의 질 또한 감소시 킨다. 따라서 만성신부전환자의 혈중 칼륨농도를 높이지 않으면서 추가적인 생채소 섭취가 요구된다.
생채소로 이용하는 작물 중 특히 상추(Lettuce sativa L.)는 엽채류 시설재배면적이 가장 많으며 전체 쌈 채소 중 가장 많은 점유율을 나타내고 있어(KOSIS, 2014) 연 중 안정적으로 생산이 가능한 시스템에서 공급이 된다면 수요가 많을 것으로 예상되는 작물이다.
Choi 등(2004)은 계면활성제 처리가 상추 내 칼륨함 량에 유의한 영향을 미쳤다고 보고하였고 Shin 등 (2012, 2014)은 광원에 따른 상추 내 무기함량 차이 분 석에서 Red 광원이 칼륨을 낮추는 경향은 있으나 유의 적인 차이는 없었다고 보고하였다. Yun 등(1997)은 양 액조성에 따른 상추의 무기함량 변화에서 양액의 칼륨 당량 변화가 상추 잎의 칼륨함량에 영향을 미친다고 보 고하였는데 이는 양액조성을 통한 칼륨의 조절이 저칼 륨채소 생산을 위해 적합함을 시사한다. Cheong 등 (2015)은 상추 양액재배에 있어서 칼륨을 완전히 결제 한 양액처리가 식물의 생육을 40% 가량 저해시킨다고 보고한 바 있다. 저칼륨 채소 생산을 위한 양액조성의 연구에서 Ogawa et al.(2007)은 양액 중 KNO3을 NaNO3로 대체하는 방법으로 저칼륨 채소를 생산할 수 있다고 하였으나 생채소 내 나트륨함량을 유의하게 높 이게 되며, 신장환자는 나트륨의 제한 또한 필수적이므 로 실용적인 한계가 있었다.
식물 내 칼륨은 다량원소로 효소의 활성, 광합성작용, 기공개폐와 삼투압조절 등에 관여하고 있어(Leigh and Wyn, 1984; Marschner, 2011) 결핍되면 생육이 저해되 고(Besford, 1975) 병해충의 위협이 증가한다(Amtmann, 2008). 따라서 본 연구는 완전제어형 식물공장에서 신장 환자들을 위한 칼륨함량이 낮은 상추의 생산을 위해 적 정 양액처리 방법을 규명하고자 진행되었다.
재료 및 방법
1. 식물재료 및 재배조건
실험은 경북 안동시에 위치한 식물공장 (‘바이오웍스’, Kor., 36°37'29.3"N, 128°38'06.9"E)에서 진행되었다. 실 험에서는 상추(Lactuca sativa L. ‘Charles’, (주)바이엘크 롭사이언스)를 사용하였다. 정식 후 모든 실험구의 재배 환경은 상추의 정상적인 생육조건을 고려해 CO2 600- 650mg·L-1, 광도 200μmol·m-2·s-1, 상대습도 65%, LED 광원 W:R(9:1), 온도(주간 21°C 야간 15°C)로 일정하게 관리되었고 정식일 기준으로 28일간 재배하였다. 양액 (EC 1.0 ds·m-1, pH 5.5-6.5)은 담액수경(DFT)방식으로 공급되었으며, 엽채류 재배용 배양액(Yamazaki, 1982)이 사용되었다.
2. 양액처리
양액은 원수의 수질분석 결과(EC 0.23 dS·m-1, pH 7.83, Ca2+ 1.5meq·L-1, Mg2+ 0.4meq·L-1, K+0.07meq·L-1, NH4+ 0meq·L-1, NO3- 0.6meq·L-1, SO4- 0.4meq·L-1, PO4- 0meq·L-1)를 기준으로 처리하였다. 1차실험에서는 엽채류 재배용 배양액에서 칼륨을 10%로 낮춘 처리(H+ 1.1meq·L-1, Ca2+ 2.0meq·L-1, Mg2+ 1.0meq·L-1, K+0.4meq·L-1, NH4+ 2.0meq·L-1, NO3- 2.2meq·L-1, SO4- 1.2meq·L-1, PO4- 1.5meq·L-1)와 5%로 낮춘 처리(H+ 1.1meq·L-1, Ca2+ 2.0meq·L-1, Mg2+ 1.0meq·L-1, K+0.2meq·L-1, NH4+ 2.0meq·L-1, NO3- 2.2meq·L-1, SO4- 1.2meq·L-1, PO4- 1.5meq·L-1)를 수확 2주 전, 1주 전에 각각 나누어 처리하였다.
2차 실험은 1차 실험의 결과를 참고하여 정식 후 원수 로 재배한 처리, 칼륨의 당량을 5%로 낮춘 처리와 1% 로 낮춘 처리(H+ 1.1meq·L-1, Ca2+ 2.0meq·L-1, Mg2+ 1.0meq·L-1, K+0.1meq·L-1, NH4+ 2.0meq·L-1, NO3- 2.1meq·L-1, SO4- 1.2meq·L-1, PO4- 1.5meq·L-1)를 수확 2 주전에 처리하였다. 각 처리에서 당량 보정을 위해 낮아 진 NO3- 이온은 HNO3-로 pH와 함께 보정해주었다.
3. 상추생육 및 무기성분 분석
상추의 생육을 비교하기 위해 수확 후 각 처리구별로 지상부와 지하부의 생체중을 측정하였고 노화되어 떨어 진 잎을 제외한 엽수를 측정하였다. 칼륨 및 무기질 함 량은 유도결합 플라즈마 분석기(ICP, Elan DRC-e, USA)로 측정하였다. 상추 샘플은 수확 후 지하부를 제거 한 뒤 동결건조기(MGS-2100F, Tokyo Rikakikai Co., LTD, JP)를 이용하여 건조한 후 분쇄하여 분석 전처리를 위해 HNO3-으로 산 분해 하였다. 전처리 후 용해용액의 무게를 정밀히 측정하여 무기성분을 측정하였다. 상추의 무기성분은 단위 건물중(g)당 mg으로 표현하였다.
결과 및 고찰
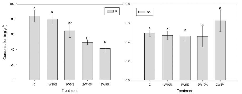
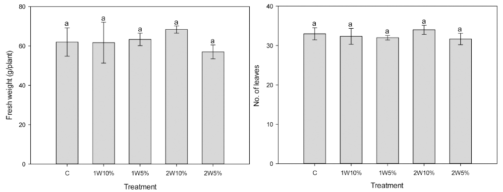
식물체내 칼륨은 2주전 칼륨당량을 10%로 낮춘 처리 (2W10%)와 2주전 칼륨당량을 5%로 낮춘 처리(2W5%) 에서 대조구에 비해 유의적으로 낮았다. 그러나 1주전 칼 륨당량을 10%로 낮춘 처리(1W10%)와 1주전 칼륨당량 을 5%로 낮춘 처리(1W5%)는 대조구와 유의적인 차이 가 없었다(Fig. 1). 배양액의 칼륨농도가 낮은 것보다 처 리시기가 길수록 체내 축적되는 칼륨 함량이 낮아지는 결과는 Ogawa et al.(2007)의 보고와 일치하였다. 이는 식물체내 칼륨이 생육 초기에 주로 사용되어 체내에서 재분배율이 높기 때문(Alison and Philip, 2009)인 것으 로 보인다. 또한 나트륨 함량은 2W5% 처리에서 높은 경향은 있었으나 대조구와 다른 처리구보다는 유의적인 차이를 보이지 않았다. 상추의 생육조사 결과 생체중과 엽수 모두 수확기에 유의적인 차이를 보이지 않았다 (Fig. 2). 이는 Pujos(1996)가 배양액 내 칼륨 제거 처리 후 약 2주가 지났을 때부터 유의적으로 생육이 저해된 다는 보고와 일치하였다. 따라서 선행연구와 본 연구 결 과 내용을 바탕으로 수확 2주 전 5%이하의 칼륨 처리 에 의해 상추의 생육장해 없이 저칼륨 상추의 생산이 가능할 것으로 판단되었다.
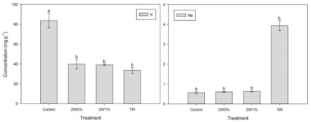
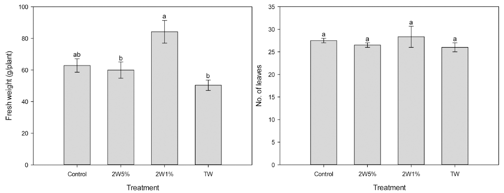
저칼륨 상추 생산을 위한 적정 배양액조성 탐색을 위 한 2차 실험에서 대조구에 비해 모든 처리구에서 수확 시기 상추의 칼륨함량이 유의적으로 낮았으나(Fig. 3) 처 리구간 유의적인 차이는 없었다. 이는 1W5% 처리, 1W10% 처리와 2W5% 처리, 2W 10%처리에서 유의적 인 경향은 보이지 않았으나 10% 처리에 비해 5%처리가 낮아지는 경향을 보였던 것과 대조적이었다. 또한 칼륨 함량이 TW처리구와 칼륨이 함유되어 있는 처리구 간의 유의적인 차이가 없었던 것으로 보아 칼륨 외 다른 이 온의 결제는 칼륨함량을 낮추는데 큰 효과가 없을 것으 로 판단된다. 나트륨 함량은 TW처리구에서 유의적으로 높게 나타났다(Fig. 3). 이는 나트륨이 칼륨과 길항작용 을 하기 때문에(Dibb and Thompson, 1985) 흡수가 원 활했기 때문으로 판단된다. 상추의 생체중은 대조구와 처리구에서 유의적인 차이가 없었으나 2W5%처리구와 TW처리구에 비해 2W1%처리구가 유의적으로 높았다 (Fig. 4). 이는 1차 실험에서 2W10%와 2W5%의 생체중 의 유의적인 차이가 없었던 것에 비해 대조적이었다. 엽 수는 대조구와 모든 처리구에서 유의적인 차이가 없었다 (Fig. 4). 이것으로 보아 상추의 엽수는 양액의 처리보다 다른 환경요인에 더 많은 영향을 받은 것으로 판단된다. 또한 TW처리구는 대조구, 2W5%처리구와 유의한 차이 는 없었으나 결핍증상이 발생하고 상품적인 가치가 낮아 졌다(Fig. 5).
위 결과의 적용가능성을 알아보기 위해 평가모형을 제 안하였다. 국내 만성신부전환자의 평균체중을 기준으로 일반적인 채소 섭취량과 제한해야 할 칼륨 섭취량을 고 려했을 때 저칼륨 채소로 적당한 칼륨량을 다음 식으로 계산하였다.1
Table 1. Treatment time and potassium concentration in nutrient solution of each treatment.
| Treatment | Treatment time | Potassium in nutrient solution me°L-1 |
|---|---|---|
| Control | Day after transport | 4.0 |
| 1W10% | 1 week before harvest | 0.4 |
| 1W5% | 1 week before harvest | 0.2 |
| 2W10% | 2 weeks before harvest | 0.4 |
| 2W5% | 2 weeks before harvest | 0.2 |
| 2W1% | 2 weeks before harvest | 0.04 |
| TWx | Day after transport | 0.07 |
A: 만성신부전환자의 평균체중 61.7kg (Lee 등, 2016)
B: 한국인의 평균 체중 72.4 kg (KOSIS, 2015)
C: 칼륨 섭취제한기준 40 mg/kg (NKF, 2009)
D: 채소류로 30%의 칼륨을 섭취 (Lee 등, 2013; Lee 등, 2017)
E: 하루 평균 채소섭취량 303.7 g/day (Hwang 등, 2014; Lee 등, 2016)
F: 필요 채소 보충량 1.66배 (Lee and Lee, 2016)
계산 결과 생채소 100g당 167mg 이하의 칼륨을 함유 한 채소가 저칼륨 채소로 적당한 것으로 판단된다. 대조 구와의 상추 함수율은 96.0-97.0% 수준으로 이를 작물 내 칼륨량으로 환산하면 2W5% 처리구와 2W1% 처리 구 그리고 TW처리구가 적합하나(Table 2) TW처리구의 경우 생육이 불량해 상품적인 가치가 떨어져 실질적으로 식물공장에서 저칼륨상추 개발에 적합한 양액처리 방법 은 2주전 칼륨을 당량 기준으로 5%와 1%로 제한하여 공급하는 것이 적합할 것으로 판단된다. 또한 채소 체내 의 무기함량은 함수율에 큰 영향을 받으므로 수확 후 관리되는 기술로 일정수준의 수분을 유지하고 실제 환자 가 섭취했을 때 칼륨양을 고려하는 것이 중요할 것으로 판단된다.







