서 론
피가열물을 건조할 때 가열상태는 주로 온·습도의 변 화를 통하여 판단된다. 물질의 가열 목적은 건조, 탄화, 용융 등의 다양하지만 일반적인 건조법은 피가열물에 온 도를 서서히 올려 내부에 존재하는 물을 제거함으로서 물질의 변질, 변형 및 변성을 막는 열건조 방법을 말한 다. 이 방법은 에너지나 시간이 너무 길어 비효율적이며, 때로는 피가열 물질의 변형이 생기거나 외부의 탄화 없 이 물질중심부의 수분을 제거하는 것은 거의 불가능에 가깝다. 이에 반해 마이크로파 가열기술은 기존 기술과 는 정반대로 물질 내부에서부터 가열되어 열이 외부로 전도, 확산되므로 건조 속도가 빠르고 건조시간이 짧으 며 물질의 변형, 변질, 변성이 적어 최근 활용면에서 우 수한 것으로 알려져 있다(Kim 등, 2013; Kim 등, 1999; Suh 등, 2011). 종래의 일반적 가열법은 외부에서 열을 가하기 때문에 피가열물 이외 부분도 함께 가열되어 무 효 칼로리가 많아 효율이 낮은 반면에 마이크로파 가열 은 열손실이 적고, 가해진 마이크로파 에너지의 약 80% 가 열로 교환되어 가열 효율이 높다(Song, 2010). 또한 목적물을 선택적으로 가열할 수 있으며, 복잡한 형상이 라 하더라도 균일하게 가열된다. 더욱이 가열전력의 제 어 및 조작이 용이하고 밀폐 가열이 가능하다. 또한 진 공 중에서 용이하게 가열할 수 있으며 소음이나 열기 및 배기가스가 생기지 않으므로, 청결한 환경에서 작업 할 수 있다.
그러나 마이크로파 가열은 전자기파 특성인 Mode가 존재하며 통상적으로 사용되는 주파수 2.45GHz(혹은 915Mhz)에서는 파장 길이가 길어 가열이 잘되는 부분과 되지 않는 부분이 존재하는 특성이 있다(Kim, 1999). 따 라서 다양한 산업 응용기술임에도 불구하고 열전도성이 높은 물질의 가열에 이용되는 전자레인지 외에는 산업화 로 보급되는데 제한적인 특성이 있다. 이것은 기존의 마 이크로파를 이용한 기술에서 파장 길이가 지정됨으로써 미가열부분이 발생하기 때문이다. 일반적으로 마이크로 웨이브는 전자기에너지(Electromagnetic energy) 중 낮은 주파수(300~300,000MHz)를 가지며, 전자기장의 범위 내 에서는 단지 분자회전(Molecular rotation)만 일으키고 분 자구조에는 영향을 미치지 않으므로 물성에는 영향을 주 지 않는 것으로 알려져 있다(Kim, 1999; Park, 2005a, b).
본 연구에서는 사용한 QRD(Quadratic residue diffusor) 마이크로파는 X-ray 회절현상에서 착안된 마이크로파의 분산기술이며 이것은 각기 다른 위상차를 갖는 마이크로 파가 피가열물에 작용하여 가열시킴으로서 Mode effect 를 최소화시켜 열전도가 아주 낮은 피가열물도 골고루 가열하는 특성을 가진다. 그러나 QRD 마이크로파의 파 장에 직접적인 영향을 미치는 것에 대한 가열의 효과를 명확하게 구명할 필요가 있다. 이것은 물질의 건조뿐만 아니라 물질에 포함되어 있는 세균이나 선충 등의 유전 체를 균일하게 멸균하는데 매우 중요한 기초자료가 된다. QRD 마이크로파는 전자파가 직진하는 경우에 효율성이 떨어지고, 파장이 QRD의 요철부 길이에 따라 분산이 이루어지도록 설계되어 있지만 챔버(Chamber) 내부의 효율성에 대한 연구는 아직 이루어지지 않았다. 따라서 본 연구에서는 멸균을 위한 이송형 QRD 마이크로파 장 치를 개발하기 위한 기초연구로서, 챔버형 QRD 마이크 로파를 제작하여 마그네트론 조사용량과 챔버 내부의 위 치에 따른 가열균일성과 효율성을 구하고자 수행하였다.
재료 및 방법
1. 실험재료 및 장치
1.1 일반 마이크로파와 QRD 마이크로파의 특성 비교
본 연구에 사용한 마이크로파의 주파수는 2,450MHz 이며, Fig. 1의 (A)과 같이 나타난다. 일반 마이크로파의 파형은 입사파와 반사파가 반대의 위상을 가지며 위상차 가 큰 부분에서 가열이 일어나므로 에너지의 불균일 (Mode) 현상이 나타난다. 이러한 불균일 현상은 방전 (Spark) 발생의 원인이 되고 에너지의 분포도가 집중되 므로 효율성이 낮아진다. 따라서 일반 마이크로파는 피 가열체의 위치에 따라 에너지 불균일로 인한 살균작용이 나 건조작용, 배지의 가열 및 간이살균에도 효율성이 낮 은 원인이 된다.
반면에 QRD 마이크로파는 Fig. 1의 (B)와 같이 마그 네트론에서 발생되는 고주파의 위상변화를 통해 ①, ②, ③, ④, ⑤의 입사파와 반사파가 이루는 만곡점을 균일 하게 분포시킴으로써 불균일현상과 방전현상이 제어되어 균일한 가열이 가능하게 된다.
Fig. 2는 QRD 마이크로파의 입사파와 반사파가 파형 분산을 일으키게 하는 요철판(Diffuser)을 나타내고 있으 며 요철판의 치수는 Fig. 2의 (B)와 같다.
1.2 QRD 마이크로파 챔버
챔버의 내부에 설치된 9개의 마그네트론(2M246, LG, Korea)은 1kW용이며, 챔버의 좌측면에 5개, 우측면에 4 개로 설치하여 Fig. 3과 같이 제작하였다. 챔버 내부의 내용적(가로 ×세로×높이, 550 × 700 × 970mm)이 374kL 이며 내부에는 마이크로파가 분산되도록 알루미늄 분산 장치를 설계, 제작하였다. 챔버 내부의 균일조사와 효율 성 여부를 측정하기 위해 수직 위치를 1Bar, 2Bar, 3Bar 로 나누고, 각각의 수직 위치에서 다시 9개의 비커에 물 500mL를 담아 수평으로 설치하였다.
2. 실험 방법
2.1. 챔버 내부의 효율성 및 균등성
Fig. 4와 같이 1Bar의 위치에서 비커에 물 500mL를 담아 초기온도(T1)와 일정시간(60sec) 마그네트론 용량에 따른 가열을 한 후, 물의 온도(T2)를 측정하여 효율성을 구하였다. 효율성 시험은 비커 위치 4, 5, 6을 기준으로 챔버 내부 용적에 따른 조사 용량의 효과를 구명하고자 하였다. 또한 QRD 마이크로파의 균일조사 여부는 챔버 내부의 위치에 따른 온도변화를 통하여 구하고자 하였으 며 물을 담은 비커를 그림 3와 같이 9개의 위치에 놓고 60, 120, 180초 동안 가열을 하였다. 각 위치별로 온도 편차를 통한 조사 용량별 균등성을 구하였다. 챔버 내부 에서 비커의 수직위치는 Fig. 4의 1Bar(A), 2Bar(B), 3Bar(C)로 나타내었다.
온도변화를 통한 효율성은 식 1과 같으며 효율에 따른 소비전력과의 관계를 나타낼 수 있다(Kim, 1999).
| $$M \mathrm\eta=\frac{4.27\times{\mathrm c}_{\mathrm p}\times\mathrm m\times{\mathrm T}_2-{\mathrm T}_1}{\mathrm Q\times\mathrm t}$$ | (1) |
여기서, 효율성, %
물의 평균 비열, 1.0kcal/kg °C
물의 량, L
물의 초기온도, °C
가열 후 물의 온도, °C
마그네트론 조사용량, kW
가열시간, sec
2.2 조사용량에 따른 균등성 실험 조건
QRD 마이크로파를 이용한 이송형 멸균장치는 마그네 트론을 좌, 우에 설치하거나 상하에 설치하는 방법이 있 다. 상, 하에 설치할 경우에는 요철판의 설치나 이송형 컨베이어 벨트 하단에 마그네트론이 위치하게 되어 이물 질이 떨어질 우려가 있어 바람직하지 않다. 따라서 본 실험 장치와 같이 좌, 우측면에 마그네트론을 설치하는 유리하다. 조사용량에 따른 온도 균등성 실험은 마그네 트론의 조사 위치에 따라 달라질 것으로 판단하여 3, 5, 7, 9kW로 나누어 조사를 하였고 조사시간은 60, 120, 180초로 하였다. 이것은 Bacillus sp.와 Burkholderia sp. 가 120초 이내에 완전히 사멸(Kim 등, 2013)되기 때문 에 180초 이상은 의미가 적은 것으로 판단하였다. 조사 용량에서 3kW 조사는 No. 1, 2, 3은 상단부에서 조사를 하고 No. 3, 4, 5는 하단부 조사를 하여 상단부와 하단 부의 동일한 조사용량에서 위치별 온도상승 효과를 구명 하고자 하였다. 조사용량 5kW는 No. 1, 2, 3, 4, 5를 사 용하였고, 7kW는 No. 1~7까지, 9kW는 No. 1~9까지 사 용하였다.
결과 및 고찰
1. 위치별 온도변화 및 효율성
1.1. 수평 위치별 온도변화 및 효율성
Fig. 5는 수직 35cm의 중앙 위치와 좌, 우 15cm 위치 에서 조사용량에 따른 온도변화를 나타내고 있다. 조사 용량을 3, 5, 7, 9kW로 달리하여 60초 동안 조사할 때, 중앙 위치에서는 직선적인 경향을 나타내었으나 좌, 우 측에서는 곡선 비례하는 것을 알 수 있었다. 이것은 중 앙의 위치에서 조사용량이 증가할수록 조사용량에 비례 하여 온도가 증가함을 나타내는 반면에 좌, 우측에서는 9kW에서 온도 상승효과가 다소 떨어지는 것을 보여주고 있다.
조사용량에 따른 효율성에서는 조사용량이 증가할수록 반드시 높게 나타나지 않았다. 효율성은 챔버의 내용적 에 영향을 받는 것으로 판단되며 적정 내용적에 따라 조사용량을 조절하는 것이 효율성면에서 유리할 것으로 사료되었다. 본 연구에서는 챔버 내용적 374kL일 때, 9kW를 조사하는 것보다 5, 7kW에서 효율성이 높은 것 을 알 수 있었다. 챔버 내부의 수직 35cm, 중앙 위치에 서는 7kW 조사시 가장 효율이 높게 나타났고, 좌우측 위치에서는 5kW에서 효율성이 높았다.
1.2 수직조사 위치별 온도변화
챔버내의 마그네트론 용량과 수직위치에 따른 온도변 화 균등성을 측정하고자 하였다. 균등성 실험은 위치별 비커 9개에 물 500mL씩 총 4,500mL를 담아 초기온도 (T1)와 일정시간(60, 120, 180초) 동안 마그네트론 용량 에 따른 가열을 한 후, 물의 온도(T2)를 측정하여 챔버 내의 온도 균등성을 확인하고자 하였다.
Fig. 6은 상단부의 마그네트론 No. 1, 2, 3의 조사에 대한 평균온도와 마그네트론 No. 3, 4, 5의 조사에 대한 평균온도를 비교하였다. 조사용량에 따른 온도변화는 비 례하였으나 위치별로 차이를 나타내고 있다. 1Bar와 2Bar는 챔버의 중앙에 위치하고 있어 온도변화가 비슷한 경향을 나타내었으나 3Bar에서는 마그네트론 No. 1, 2, 3의 조사와 마그네트론 No. 3, 4, 5의 조사 모두 약 10~20% 높은 경향을 보이고 있었다. 이것은 3Bar의 위 치가 바닥에 가까워 마이크로파의 밀도가 높아지는 것으 로 판단되었고 챔버 내부의 온도 균등성이 반드시 일정 하지 않음을 보여주고 있었다. 따라서 향후 이송형 QRD 마이크로파 멸균기를 설계하거나 개발하는 경우 조사용 량에 따른 마이크로파의 위치별 부분적인 불균일함을 고 려할 필요가 있으며 낮은 조사량(3kW)에서는 약 20% 정도 높은 용량의 공급이 필요할 것으로 사료된다.
1.3 조사용량에 따른 수직조사 위치별 온도변화
Fig. 7은 1, 2, 3Bar의 위치에 대한 마그네트론 용량에 따른 평균온도를 측정하여 균등성을 확인하였다. 마그네 트론 용량을 5, 7, 9kW로 상승시킬 때 전체적으로 직선 비례하는 경향을 나타내었다. 또한 Bar의 위치가 챔버 내부의 온도 상승에 미치는 영향도 초기 60초 동안에는 3Bar가 약간 높았으나 시간이 올라감에 따라 2Bar에서 상승하는 경향이 있었다. 그러나 전반적으로 마그네트론 용량을 5kW 이상 높임으로써 온도의 상승이 직선 비례 하는 경향을 보여 Bar의 위치에 무관하게 균등성이 유 지되는 것으로 판단하였다.
2¨조사 시간에 따른 온도변화 및 효율성
2.1 조사용량에 따른 60초 후의 수평온도 균등성
QRD 마이크로파의 수평, 수직위치에 대한 온도변화는 챔버 내부의 각 위치에 따라 달라진다. 위치별 온도변화 는 QRD 마이크로파의 조사 균일성에 대한 규명을 목적 으로 수행하였다. 조사 균등성에 대한 4가지 요인으로는 수직위치, 수평위치, 조사용량, 조사시간이 해당된다. 수 직위치는 1Bar, 2Bar, 3Bar의 위치로 구명되고, 수평위 치는 비커의 위치이며, 조사용량은 3~9kW, 조사시간은 60초, 120초, 180초로 나타내었다.
Fig. 8은 60초 동안 3kW를 조사한 온도 분포를 나타 내고 있다. (A)는 마그네트론 No. 1, 2, 3에서 조사하였 고 (B)는 마그네트론 No. 3, 4, 5를 조사하였다. 3kW를 조사한 경우 중간위치인 1, 2Bar에서는 60초 조사시 약 20°C 정도로 온도가 상승하였으나 3Bar에서는 약 5~ 10°C 더 높게 상승하였다. 이것은 (A), (B)의 조사위치 가 다르더라도 바닥인 구석부분에서 마이크로파의 영향 이 더 높아진 것으로 판단되었다. 뿐만 아니라 본 연구 에서 설계, 제작된 마그네트론의 위치와 구조에서 내부 위치에 따른 QRD 마이크로파 장치의 불균일성이 존재 하였으며 분산장치의 설계에도 영향을 받은 것으로 판단 된다. 따라서 QRD 마이크로파를 이용한 멸균기를 개발 할 경우에는 10~20% 정도의 조사 에너지의 불균일을 고려한 설계가 필요할 것으로 사료된다.
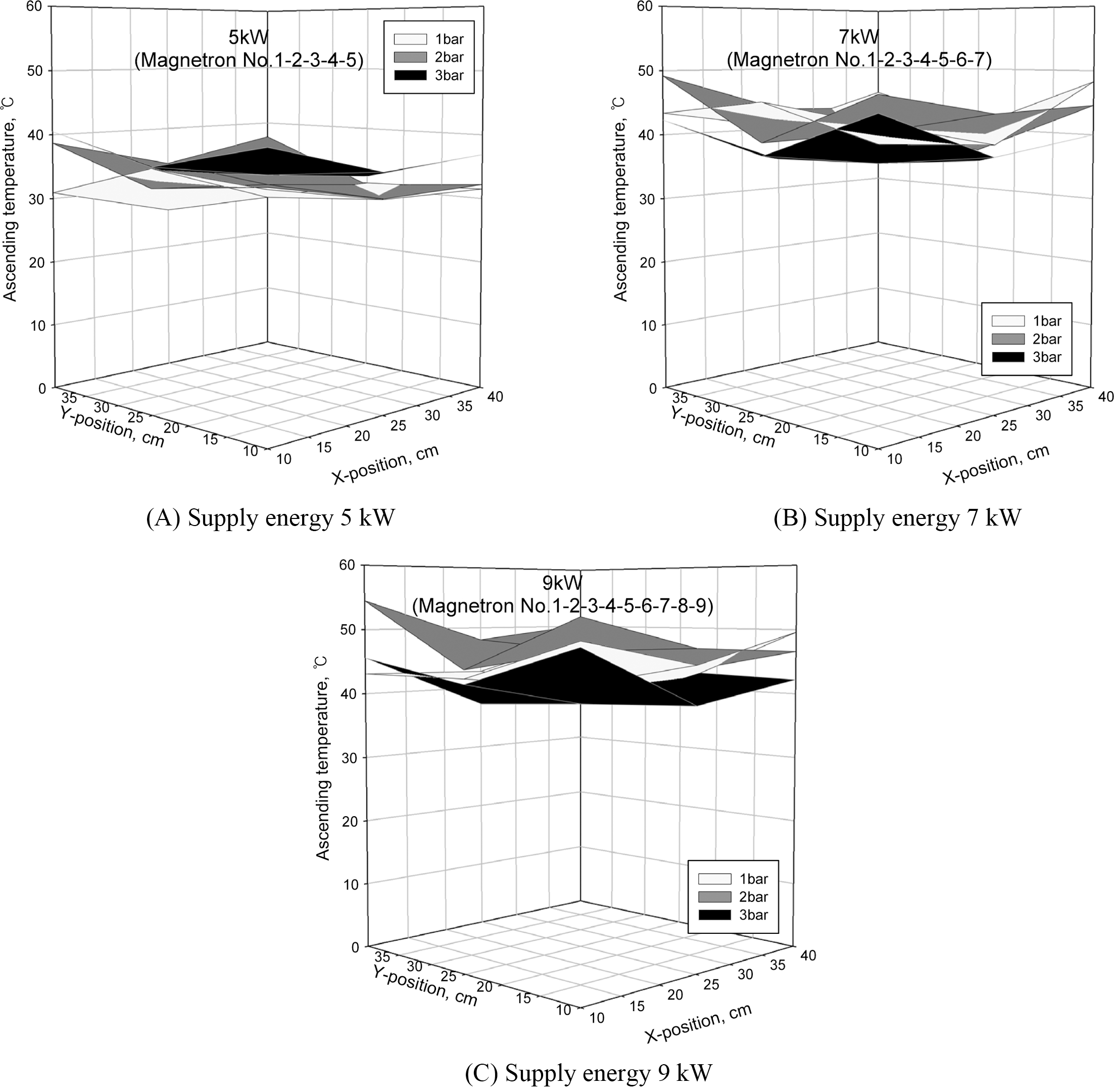
Fig. 9는 마그네트론 5, 7, 9kW 조사에서 각 위치에 대한 온도변화를 나타내고 있다. 그림에서와 같이 마그 네트론 5, 7, 9kW 조사에서도 3Bar에서의 위치별 온도 가 1Bar, 2Bar의 온도보다 전반적으로 높게 나타났다. 마그네트론 7, 9kW에서는 1Bar의 위치에서 약 5°C 정 도 낮게 나타나서 오히려 중간 부분의 온도가 상승되지 않음을 알 수 있었다. 그러나 수평면의 위치별 온도 분 포는 비교적 균일하여 각 위치별 온도변화는 대체로 균 등성을 보이고 있으나 평균 온도에 비해 약 ± 10% 정도 의 균등성 오차가 있음을 알 수 있다. 이것은 분산장치 나 마그네트론의 위치에 대한 영향으로 판단되었다.
2.2 조사용량에 따른 120초 후의 수평온도 균등성
Fig. 10은 120초 동안 3kW를 조사한 온도 분포를 나 타내고 있다. (A)는 마그네트론 No. 1, 2, 3에서 조사하 였고 (B)는 마그네트론 No. 3, 4, 5를 조사하였다. 그림 (A)는 상단부에 조사한 경우 Bar의 위치에 상관없이 모 두 균일하였다. 그러나 (B)와 같이 하단부에 조사할 경 우에는 3Bar에서 역시 10°C 정도 상승하였다. Bar의 위 치를 제외하면 수평면 온도 균일성은 대체로 균등한 양 상을 보이고 있었다.
Fig. 11은 120초 동안 마그네트론 5, 7, 9kW를 조사 한 경우 각 위치에 대한 온도변화를 나타내고 있다. 그 림에서와 같이 마그네트론 5, 7, 9kW 조사에서는 Bar의 위치와 상관없이 전반적으로 온도가 비교적 균일하게 상 승하고 있었다. 그러나 수평 위치별로 약간의 온도 차이 가 나타났으나 비교적 균일함을 알 수 있었다.
2.3 조사용량에 따른 180초 후의 수평온도 균등성
Fig. 12는 180초 동안 3kW를 조사한 온도 분포를 나 타내고 있다. 같은 방법으로 (A)는 마그네트론 No. 1, 2, 3에서 조사하였고 (B)는 마그네트론 No. 3, 4, 5를 조사하였다. 그림 (A)에서는 120초 조사시 온도는 상승 하였으나 분포도는 거의 유사하였다. 또한 Bar의 위치에 상관없이 모두 균일하였다. 그러나 (B)와 같이 하단부에 조사할 경우에는 3Bar에서 역시 7~10°C 정도 상승하였 다. 따라서 3kW 조사에서는 Bar의 위치에 따라 차이가 나타남을 알 수 있었으며 수평면 온도 균일성은 120초 조사와 유사하며 균등한 양상을 보이고 있었다.
Fig. 13은 180초 동안 마그네트론 5, 7, 9kW를 조사 한 경우 각 위치에 대한 온도변화를 나타내고 있다. 그 림에서와 같이 마그네트론 조사 용량에 따라 온도가 상 승함을 알 수 있었으며 수직위치에 따른 온도의 변화가 반드시 Bar의 위치와 관련성이 없음을 보여주고 있었다. 전체적으로는 수평위치에 따른 온도가 비교적 균일하게 상승하였으나 구석부분에서 다소 마이크로파의 영향이 높아진 것을 알 수 있었다. 따라서 멸균을 위한 이송형 QRD 마이크로파 장치의 개발에서는 마그네트론의 위치 에 대한 온도 상승의 차이를 고려하여 약 10~20% 정도 의 용량을 증가시킬 필요가 있는 것으로 판단되었다.















