서 론
시설재배에서 재배환경조절 자동화는 생력화 차원에서 대단히 중요하다. 환경조절 자동화에는 각 환경요인을 계측하기 위한 센서개발과 그 활용기술이 뒤따라야만 한 다. 자동화되는 온실내 식물 재배환경 측정에 각종 센서 가 다양한 변화를 감지하는데 필수적으로 사용된다. 최 근 가속화되고 있는 각종 센서를 통한 식물 재배환경 계측(Hwang 등, 2012; Kang 등, 2010; Park 등, 2009; Seo 등, 2011; Yeom 등, 2013)은 과거의 시료 채취를 통한 방법과 다르게 비파괴적이며 신속하고 연속적인 측 정이 가능하다는 장점을 가지고 있다. 이러한 센서 활용 에 있어서 적합한 센서 설치방법과 계측지점을 찾는 것 은 중요한 논제이다. 상황에 적합하게 센서를 사용하는 것은 식물 재배환경을 조절함에 있어 직접적으로 영향을 주며, 이는 재배가 성공하느냐 실패하느냐를 가늠할 수 있게 하는 결정적 요인이 될 수 있다.
수분센서는 토양에서 수분함량과 수분이동 등을 측정하 기 위한 목적으로 사용되었다(Ledieu 등, 1986; Starr 등, 1998; Topp 등, 1980; Yoo 등 1999). 토양 수분측정에 사 용되는 센서 기술로는 수분의 포텐셜을 측정하는 장력법과 수분을 질량비나 용적비로 나타내는 함량측정법이 있다. 함량측정법에는 1980년대 Topp에 의해 소개된 전기적 펄 스의 전송시간을 이용한 time domain reflectometry(TDR) 측정법(Topp 등, 1980)과 1990년대 Gaskin에 의해 소개 된 amplitude domain reflectometry(ADR)측정법(Gaskin과 Miller, 1996)이 있다. 이들 측정 방식은 반드시 2선식 내 지 3선식 로드(rod)형태로 제작하여야 하였으며 설치과정 중 로드(rod)가 휨정도에 따라 측정치가 변화될 수 있었 다(Kim 등, 2004; Kim과 Jeong, 2005). 이러한 측정센 서의 오차 감소와 편의를 도모하고자 전자파의 공명진동 수 변화에 따른 정전용량 또는 유전률 변화를 이용하여 수분함량을 측정하는 frequency domain relfectometry (FDR)방식이 소개되었다(Veldkamp와 O’Brien, 2000). FDR센서는 정확성과 함께 경제적이고 다양한 측정 방식 과 접목을 통해 실용화가 용이한 장점을 가지고 있어 사용이 증가되고 있으나 수경재배용 배지내 사용에 대해 연구가 부족한 실정이다(Park 등, 2010).
센서를 이용한 수분함량 계측으로 작물 재배시 수분공 급을 조절하여 식물의 생육과 수확 그리고 품질에 미치 는 영향이나 생리장해 개선, 수분흡수 변화, 물과 양분 이동, 급액 효율과 급액 스케줄 등의 연구들이 수행되어 왔다(Choi 등, 2013; Kim 등, 2013; Rhee 등, 2013; Rhee 등, 2010; Sim과 Kim, 2009a; Sim과 Kim, 2009b). 근권 수분측정을 통한 급액제어를 한다면, 급액 목표지점 에 도달하는 것을 신속하고 분명하게 측정하여 신속한 공급과 차단 반응에 따른 적정 급액량 공급으로 초과되 는 급액을 방지할 수 있으며, 최적의 제어로 식물에 적합 한 양수분 조건을 관리할 수 있게 된다. 그래서, 센서 사 용시 적합한 위치 선정은 측정의 정밀함를 높일 수 있으 며 자원 절약을 통한 경제적인 활용을 가능하게 할 것이 다. 하지만 배지 수분측정 센서에 있어서 적합한 측정 위 치와 그 특징에 대한 연구는 미비하다. 많은 재배자들이 센서를 이용시 측정에 적합한 위치 선정에 어려움이 있 어 토양 측정같이 표본에서 일정 간격이나 거리를 두고 센서를 설치하여 측정하기도 한다. 그러나 측정 위치별 측정 값이 상이할 뿐만 아니라 변화도 다르게 나타나기 때문에 필요로하는 데이터를 얻지 못할 수 있다. 단일 데 이타의 한계로 센서를 측정하고자 하는 곳에 여러개 설 치하여 측정 오차를 감소시키려 할 수 있겠지만 센서의 높은 비용으로 활용성이 낮을 것이다.
본 연구는 토양 수분측정으로 많이 활용되고 있는 FDR(frequency domain reflectometry)센서를 이용하여 수 경재배에서 우수한 특성을 가지고 있어 친환경 유기배지 로 사용이 증가되고 있는 코코넛 코이어 배지내 수분의 변화를 미세하게 감지하며 급액 공급 관리에 사용할 수 있는 적합한 측정 지점을 찾고 배지 수분측정 센서 활용 시 기초 자료로 활용할 수 있도록 하고자 수행하였다.
재료 및 방법
1 실험 장비
수분측정 센서는 FDR(frequency domain reflectometry) 방식의 탐침형 센서(CoCo sensor, 3 stainless rods of 6.5cm length and 5cm width, volumetric water content , Mirae Sensor, Korea)를 사용하였다. 본 실험에 사용한 FDR센서의 수분측정범위는 0.0~99.9%이며, 정확도는 ± 0.3%였다. 센서를 제어하며 측정 자료를 저장하기 위해 데이터 로거(WP700, Mirae Sensor, Korea)를 이용하였다. 저장 간격은 3분으로 설정하였으며 로거와 센서 연결은 유선방식으로 선의 길이는 15m를 사용하였다.
2 거리와 센서 위치에 따른 배지내 수분함량 변화 측정 성능 시험
실험은 2011년 4월에 서울시립대학교 연동형 비닐하우 스에서 수행하였다. 실험이 진행되는 동안 비닐하우스의 평균 공기 온도는 21°C 였다. 수분측정 대상은 슬라브 형태의 코코넛 코이어 배지(100 × 20 × 12cm, Sivanthi Joy, India)를 네 가지의 구성비(coir dust:chip, v/v, 3:7 5:5 7:3 10:0, Table 1)로 하여 사용했다. 배지는 포수 후 증발을 막기 위해 배액구만을 남기고 밀봉했고, 배액구는 배지의 끝단에서 10cm되는 바닥부분 모서리에 만들었다. 급액은 온실내 수돗물(EC 0.3dS·m−1, pH 6.2)을 이용하여 수중펌프를 이용해 애로우형 드리퍼로 배지 윗면에 공급 되도록 설치했고, 이를 통해 1회 6분동안 150 ± 20mL가 급액되도록 하였다. 작물에 의한 영향력이 없는 상태에서 급액 후 배지내 수분 이동 변화를 측정하기 위해 작물없 이 실험을 진행했다. 수분 센서는 설치면의 중간 지점에 배치하였고, 한번 측정시 한 개의 센서만을 사용해 측정 거리와 위치별 급액 이후 시간에 따른 수분변화를 측정 했다. 측정 거리는 실험에서 사용되는 급액구인 드리퍼에 서부터 5cm 거리를 센서 설치 최소거리로 선택하였고, 거리를 5, 10, 20, 30cm로 늘여가면서 실험하였다. 선택 이유는 과채류 작물재배시 이식용으로 많이 사용되는 암 면큐브 사이즈가 폭 10cm로 이를 정식시 중간에 급액구 가 설정되는데, 이 때 급액위치에서 5cm 떨어진 곳부터 가 센서를 이용해 측정할 수 있는 최소거리라 판단했다. 측정 위치는 배지가 벤치 위에 놓였을 때 노출되는 부분 인 윗면과 측면 두 곳을 선택하였다(Fig. 1). 배지를 완전 포수한 후 하루가 지난 다음 측정을 시작하였다. 급액 이 후 시간에 따른 배지내 수분 변화를 가장 정밀하게 계측 하는 위치와 거리를 판단하기 위해 수분측정 센서와 데 이터 로거를 통해 저장되는 데이터 값에서 급액 직후 최 고 수분함량에 도달하는데 걸리는 시간, 최고 수분함량 지점과 급액 공급 시점의 수분함량 차이, 그리고 최고 수 분함량까지의 변화율을 조사하였다.
Table 1.
Physical characteristics of coconut coir substrates used in the experiment.
| Substrate (coir dust:chip) | Dry bulk density (g·cm–3) | Particle density (g·cm–3) | Total pore space (v/v, %) | Water volume (v/v, %) | Air volume (v/v, %) |
|---|---|---|---|---|---|
| 3:7z | 0.099 | 1.55 | 93.6 | 42.8 | 50.8 |
| 5:5 | 0.087 | 1.44 | 93.9 | 48.3 | 45.6 |
| 7:3 | 0.087 | 1.38 | 93.7 | 51.0 | 42.7 |
| 10:0 | 0.072 | 1.20 | 94.0 | 52.0 | 42.0 |
3 노이즈 필터 활용에 따른 수분함량 변화 측정 성능 시험
균일한 토양 구성과 수분함량에서 센서 사용시 노이즈 필터 사용에 따른 수분함량 측정변화를 조사하기 위해 불 균일하여 포수후 지속적으로 일정한 수분을 같은 배지 다 른 측정 위치에서 나타낼 수 없는 코코넛 코이어 대신 내 부 구성이 일정하고 포수 상태에서 위치에 상관없이 일정 한 수분함량을 나타내는 글라스 비드(glass beads, spherical glass beads made of soda lime silicate glass, Trime-IMKO, Germany, water saturated volume 44.8%)를 이용하였다. 글 라스 비드를 증류수에 3회 이상 세척하고 이물질을 제거 한 후, 용기 내부의 가로 세로 높이가 29 × 14 × 14cm 인 플라스틱 상자에 증류수(EC 0.0025dS·m−1, pH 5.5)를 절반 정도 담고 일정한 사이즈의 글라스 비드를 천천히 저으면 서 내부에 기포가 생기지 않도록 하여 11cm 높이까지 편 평하게 채웠다. 증류수 수위를 글라스 비드보다 3~4mm 정도로 약간 높게 채운 상태에서 그 윗면에 센서 2개를 설치하여 센서간 간격에 따른 수분변화를 측정했다. 두 센 서 간의 간격은 다양한 위치에 따른 변화를 측정하기 위해 각각 0, 6, 12, 21cm의 네 가지로 조절하였다. 그리고 센 서와 데이터 로거에 공급되는 전기에서 발생되는 전기적 노이즈가 측정에 미치는 영향을 알아보고자 전기노이즈 필 터(UF4STS, Union Elecom, Korea)를 이용한 콘센트를 만 들어 사용 유무에 따른 수분함량 변화를 계측하였다. 수분 함량 센서와 데이터 로거를 통해 저장되는 데이터 값의 시 간에 따른 변화와 편차를 조사했다. 편차는 측정된 각 데 이터의 시간에 따른 유지 정도를 나타내는 것으로 연속되 는 계측값 간의 차로 계산하였다. 이러한 편차는 수분함량 이 지속적으로 증가(+)되는 순간에는 같이 증가(+)되고, 지 속적으로 감소(-)가 되면 같이 감소(-)가 되며, 변화가 없으 면 0을 나타낸다. 그리고, 그 차이를 0, 0.1, 0.2, 0.2초과 4 가지로 구분하여 개수했고 구분 영역들을 각각 4, 3, 2, 1 점으로 점수화하여 가장 작은 편차인 0이 많을수록 높은 점수를 나타내도록 계산하였다.
결과 및 고찰
1 거리와 센서 위치에 따른 배지내 수분함량 변화 측정 성능
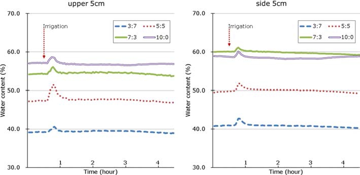
코코넛 코이어 배지를 대상으로 급액구에서 5cm 떨어 진 지점에 센서를 설치하여 위치와 배지 종류에 따른 급액 후의 배지내 수분함량 변화를 측정하였다(Fig. 2). 센서 거리 5cm는 실험에서 다른 거리에 따른 처리들보 다 가장 급액구에 가까운 곳으로 급액 후 시간에 따른 수분함량 변화를 모든 배지들에서 확연히 관찰할 수 있 었다. 급액구에서 센서의 위치가 멀어질수록 급액 후 수 분함량 증가가 작아 뚜렷한 변화를 나타내지 않았다 (Data not shown). 배지 종류별로 윗면 측정시 수분함량 을 살펴보면, 배지조성 3:7(dust 30% : chip 70%)에서는 평균 39.4%와 최대 40.6%를 나타내었고, 5:5(dust 50% : chip 50%)에서는 평균 47.7%와 최대 51.5%를 나타내 었다. 배지조성 7:3(dust 70% : chip 30%)에서는 평균 54.5%와 최대 56.1%를 나타내었고, 10:0(dust 100% : chip 0%)에서는 평균 56.9%와 최대 58.6%를 나타내었 다. 배지 측면을 측정하였을 때, 배지조성 3:7에서는 평 균 40.9%, 5:5에서 평균 50.0%, 7:3에서 평균 59.8%, 10:0에서 평균 58.6%을 보였으며 이 결과들은 윗면 측 정보다 수분함량이 높았다. 배지구성 물질 중 chip의 함 량이 감소하면서 수분함량이 증가하였다. 이는 코코넛 코이어 배지에서 chip이나 fiber의 함량이 감소할수록 평 균 수분함량과 최소 수분함량이 증가한다는 결과와 일치 한다(Park 등, 2010). 중력에 의한 영향으로 공급된 수분 이 배지 하단에 조금 더 분포될 수 있는데, 사용된 센서 크기로 계산을 하게 되면 측면 측정시 윗면보다 하단부 를 2cm 더 측정할 수 있어(Fig. 1) 수분함량이 상대적으 로 높게 나타난 것으로 판단할 수 있다.
Table 2~5는 배지별로 수분함량 변화를 측정하여 급액 이 들어가는 시점과 급액 후 최고 수분함량 시점과의 관계를 나타낸 것이다. 측정위치와 측정거리별로 급액 후 수분함량이 최고점에 도달하는 시간, 급액 시작점의 수분함량에서 최고 수분함량간 차이, 그리고 급액 후 최 고 수분함량에 도달하는 동안의 수분함량 상승률을 조사 했다. 실험에 사용한 4가지 조성의 각 코코넛 코이어 배 지들에서 측정위치와 측정거리별 급액 후 배지수분 최고 점 도달시간은 통계적 차이를 나타내지 않았으며, 급액 시작점에서 최대 수분함량간의 차이와 수분함량 상승률 은 측정거리가 가까울수록 높았다. 측정위치에 따른 수 분함량 차이와 수분함량 상승률은 함량비 5:5와 7:3 배 지에서 윗면 측정이 측면 측정보다 높았다. 그러나, 배 지내 구성을 조밀하지 못하도록 하여 기상을 높이는 역 할인 chip의 함량이 매우 적거나 매우 많은 함량비 3:7 과 10:0 배지에서는 통계적으로 차이가 없었다. 코코넛 코이어 5:5와 7:3 배지같은 적정한 수준의 chip 함량에 서 윗면 측정시 더 높은 수분함량 변화가 계측되었다는 것은 급액 후 배지내 수분이 수직보다 수평으로 많이 이동했다는 것을 예측하게 해준다. Table 3, Table 4
Table 2.
Characteristics of water content changes at different measurement positions and distances of the FDR sensor in the coconut coir substrate(dust:chip = 3:7).
| Measurement position | Measurement distance from the dripper (cm) | Reaching time on maximum water content after irrigation (minute) | Gap of water content between irrigation starting and maximum water content (%, v/v) | Water content increasing rate (% min––1) |
|---|---|---|---|---|
| Upper | 5 | 15.42 ay | 1.92 ab | 0.131 a |
| 10 | 17.00 a | 1.00 bc | 0.064 b | |
| 20 | 17.25 a | 0.72 c | 0.041 b | |
| 30 | 14.25 a | 0.47 c | 0.033 b | |
| Side | 5 | 16.50 a | 2.26 a | 0.138 a |
| 10 | 14.25 a | 0.85 c | 0.068 b | |
| 20 | 14.50 a | 0.34 c | 0.050 b | |
| 30 | 15.50 a | 0.32 c | 0.044 b | |
| Significancez | ||||
| Measurement position | ns | ns | ns | |
| Measurement distance | ns | *** | *** | |
Table 3.
Characteristics of water content changes at different measurement positions and distances of the FDR sensor in the coconut coir substrate(dust:chip = 5:5).
| Measurement position | Measurement distance from the dripper (cm) | Reaching time on maximum water content after irrigation (minute) | Gap of water content between irrigation starting and maximum water content (%, v/v) | Water content increasing rate (% min––1) |
|---|---|---|---|---|
| Upper | 5 | 15.14 ay | 3.10 a | 0.208 a |
| 10 | 16.63 a | 16.63 a | 0.104 bc | |
| 20 | 16.50 a | 1.19 c | 0.061 c | |
| 30 | 17.25 a | 1.18 c | 0.066 c | |
| Side | 5 | 16.38 a | 2.26 ab | 0.144 b |
| 10 | 15.00 a | 1.40 bc | 0.097 bc | |
| 20 | 16.20 a | 1.12 c | 0.066 c | |
| 30 | 16.20 a | 1.02 c | 0.061 c | |
| Significancez | ||||
| Measurement position | ns | ** | ** | |
| Measurement distance | ns | *** | *** | |
Table 4.
Characteristics of water content changes at different measurement positions and distances of the FDR sensor in the coconut coir substrate(dust:chip = 7:3).
| Measurement position | Measurement distance from the dripper (cm) | Reaching time on maximum water content after irrigation (minute) | Gap of water content between irrigation starting and maximum water content (%, v/v) | Water content increasing rate (% min––1) |
|---|---|---|---|---|
| Upper | 5 | 13.50 ay | 2.27 a | 0.161 a |
| 10 | 14.88 a | 1.82 ab | 0.130 ab | |
| 20 | 14.40 a | 1.61 abc | 0.116 abc | |
| 30 | 13.80 a | 1.27 bc | 0.106 bc | |
| Side | 5 | 13.50 a | 1.78 ab | 0.138 ab |
| 10 | 14.40 a | 1.85 ab | 0.124 abc | |
| 20 | 15.00 a | 1.16 bc | 0.089 bc | |
| 30 | 12.80 a | 0.94 c | 0.073 c | |
| Significancez | ||||
| Measurement position | ns | ** | * | |
| Measurement distance | ns | *** | *** | |
Table 5.
Characteristics of water content changes at different measurement positions and distances of the FDR sensor in the coconut coir substrate(dust:chip = 10:0).
| Measurement position | Measurement distance from the dripper (cm) | Reaching time on maximum water content after irrigation (minute) | Gap of water content between irrigation starting and maximum water content (%, v/v) | Water content increasing rate (% min––1) |
|---|---|---|---|---|
| Upper | 5 | 13.38 ay | 2.30 a | 0.185 a |
| 10 | 15.00 a | 1.39 bc | 0.093 b | |
| 20 | 15.60 a | 0.88 c | 0.058 b | |
| 30 | 16.60 a | 0.79 c | 0.058 b | |
| Side | 5 | 15.00 a | 2.59 a | 0.175 a |
| 10 | 14.40 a | 1.83 ab | 0.113 ab | |
| 20 | 16.20 a | 1.02 bc | 0.072 b | |
| 30 | 13.80 a | 0.89 c | 0.066 b | |
| Significancez | ||||
| Measurement position | ns | ns | ns | |
| Measurement distance | ns | *** | *** | |
실험에 사용한 모든 배지 조성들 간에 측정 위치별 수 분함량변화 특성을 분석하였다(Table 6). 센서 측정위치 에 따른 수분함량변화 특성들은 통계적 유의성이 없었지 만, 최대수분 함량에 도달하는 시간은 배지내 chip의 함 량이 감소할수록 빨라지는 경향을 나타냈다. 수분함량 차이는 3:7 배지에서 가장 낮게 나타났다. 수분함량 상 승률은 7:3과 5:5 배지에서 높게 나타났다. 배지내 chip 함량이 많으면 급액에 대한 수분반응을 측정하는데 많은 시간이 소요되었으며 그로 인하여 수분변화를 감지하는 능력이 낮아졌다고 할 수 있겠다.
Table 6.
Characteristics of water content changes in different coconut coir substrates at different FDR sensor postions.
| Substrate (dust:chip) | Measurement position | Reaching time on maximum water content after irrigation (minute) | Gap of water content between irrigation starting and maximum water content (%, v/v) | Water content increasing rate (% min––1) |
|---|---|---|---|---|
| 3:7 | Upper | 16.17 ay | 1.07 cd | 0.073 b |
| Side | 15.56 ab | 1.01 d | 0.078 b | |
| 5:5 | Upper | 16.42 a | 2.01 a | 0.118 a |
| Side | 16.11 a | 1.53 abcd | 0.095 ab | |
| 7:3 | Upper | 14.09 b | 1.78 ab | 0.128 a |
| Side | 13.89 b | 1.43 bcd | 0.106 ab | |
| 10:0 | Upper | 14.86 ab | 1.40 bcd | 0.102 ab |
| Side | 14.84 ab | 1.59 abc | 0.105 ab | |
| Significancez | ||||
| Substrate | *** | *** | *** | |
| Measurement position | ns | ns | ns | |
배지별 측정한 위치와 거리에 따른 수분함량 증가율을 비교하였다(Fig. 3). 급액 구에 가장 가까운 측정거리 5cm는 네 종류의 배지조성과 측정위치 모두에서 가장 높은 증가율을 나타냈다. 이는 코코넛 코이어 배지에서 수분센서를 이용한 측정시 급액구에 가까운 곳이 최선의 위치로 사용되어야 함을 알 수 있게 해준다. 측정 거리 10cm 또한 5cm 다음으로 높은 증가율을 나타내었으나 chip 함량이 높은 3:7 배지에서는 급격히 감소하였다. 이 는 상대적으로 치밀하지 못한 조직 구성을 가지는 배지 의 경우에 수분 측정을 위한 센서 설치시 급액 포인트 에서 조금만 멀어져도 정밀한 측정이 어렵다는 것을 말 해준다. 윗면 측정과 측면 측정간에 증가율이 큰 차이를 나타내지는 않았다. 하지만, 실제로 측면 측정시 몇가지 문제가 발생할 수 있다. 첫째는 측면에 불안정하게 설치 된 센서가 외부충격에 빠져서 고정된 설치가 불가능할 수 있으며, 두번째는 고정되더라도 배지내부에 삽입된 측정용 탐침이 센서 무게로 인하여 배지를 아랫방향으로 압박하면서 공기층이 형성되어 배지와 센서간의 접촉 불 량으로 정확한 측정을 하지 못할 가능성이 있음을 실사 용시 유념해야 할 것이다.
2 노이즈 필터 활용에 따른 수분함량 변화 측정 성능
인공 토양인 글라스 비드에서 센서 거리별로 노이즈 필터를 사용 유무에 따른 수분함량 변화를 최고, 평균, 최저로 나타내었다(Fig. 4). 노이즈 필터를 사용하였을 때 수분함량 변화가 많이 줄어들었으며 글라스 비드의 수분함량인 44.8%에 보다 근접하게 나타났다. 지속적인 수분환경 측정에 있어서 정밀성을 의미하는 수분 편차는 보다 정확한 비교가 필요할 것으로 판단하여 측정 결과 별 편차 정도를 개수하고 점수를 부여하여 실험 처리구 별로 점수화하였다(Table 7). 편차 점수에 있어서 노이즈 필터의 사용 효과는 통계적으로 고도로 유의함을 나타내 었고, 거리에 따른 편차 차이 또한 유의하였다. 편차 점 수로 사용의 적합성을 판단하여 보면, 다수의 센서 사용 시 최적의 조건은 노이즈 필터를 사용하여 센서 간격을 21cm 이상으로 넓게 설치해 측정하는 것이다. 본 실험 결과는 다수의 센서들로 계측시 적합한 사용방법을 목적 으로 실시하였으나 노이즈 필터를 활용시 센서 측정값의 변화와 편차가 감소하는 것으로 볼 때 단일 센서를 사 용할 때에도 노이즈 필터와 같은 추가적인 시스템을 이 용한다면 보다 정밀한 측정 결과를 얻을 수 있을 것으 로 판단된다.
Table 7.
The scores of water content deviation on spaces between FDR sensors in glass beads.
| Noise flter | Space between sensors (cm) | The score of water content deviation | ||
|---|---|---|---|---|
| Non | 0 | 1277.7 | bcy | |
| 6 | 1266.5 | c | ||
| 12 | 1298.5 | bc | ||
| 21 | 1334.7 | abc | ||
| Filtered | 0 | 1350.7 | ab | |
| 6 | 1350.5 | ab | ||
| 12 | 1348.0 | ab | ||
| 21 | 1389.7 | a | ||
| Significancez | ||||
| Noise filter | *** | |||
| Space between sensors | * | |||






