서 론
현재 시설채소의 전체 면적(2013년 기준)은 63,815ha 이고 생산량은 2,714,519톤이며 이중 과채류는 46,693ha 이고 그 생산량은 2,164,919톤이다. 과채류 재배 면적 중 토마토 재배면적은 7,070ha이고 생산량은 49,960톤에 이르고 있다(MAFRA, 2014). 시설재배 전체 면적 63,815ha 중 양액재배면적은 2,981ha이고 그 중 고형배 지경은 2,171ha, 순수수경은810ha의 면적이다. 최근 지 구온난화로 인한 기온상승과 가뭄(IPCC, 2013) 등으로 인한 작물피해가 급증하여 노지재배면적이 감소되고 있 는 추세이다. 따라서 세계적으로 지속 가능한 원예농업 경영을 위하여 물소비를 줄이는 재배시스템과 품종 개발 의 연구가 요구되고 있다. 다양한 양액재배의 방식 중 과채류에서는 순수수경 보다는 배지를 사용하는 고형배 지경 재배면적이 높은 비율을 차지하고 있다. 국내의 고 형배지경은 순환식과 비순환식(방류식)이 있으며 주로 비순환식으로 이루어지고 있다(Seo, 1999). 일반적으로 비순환식 고형배지경은 배지 내 염류축적 방지를 위해 배액율을 20~40%정도로 관리하는 것이 일반적이다. 이 때 방류되는 배액으로 인하여 수분 및 비료가 손실되며, 환경오염을 유발시킬 뿐 아니라 배액의 온실 내부 방류 시 토양환경이 열악해지고 병발생의 원인이 될 수 있다 (Hwang 등, 2012). 이러한 문제를 극복하기 위해 순환 식 방식이 권장되지만 특정이온의 비율이 증가하고 축적 되는 어려움이 있어서(Ehret 등, 2005;Zekki 등, 1996) 실용화 단계까지는 추가 연구가 필요한 실정이다. 토양 과 지하수의 염류오염에 따른 환경적, 경제적 우려가 커 지는 가운데(Giuffrida 등, 2003;Kim, 2014), 북미 및 유럽국가에서는 온실로부터 고농도의 화학비료 성분이 배출되지 못하도록 법적으로 규제하고 있다(Runia와 Amsing 2001). 이러한 문제를 극복하기 위하여 근권 내 함수량을 쉽게 모니터링하여 배액을 극소화하거나 배액 을 전혀 방출시키지 않는 무배액 비순환식 수경재배방법 이 개발되는 것이 필요하다.
비순환식 고형배지경에서 효과적인 관수제어방식으로 타 이머제어법이나 적산일사량센서 제어법을 사용해 왔다(Lee 등, 2007). 하지만 두 가지 방법 모두 근권 내 수분함량을 실시간 측정하는데 어려움이 있다. 최근 비순환식 고형배지 경에서 작물의 수분요구도와 배지의 수분상태를 측정할 수 있는 토양수분센서(soil moisture sensor) 개발이 이루어져왔 다. 수분센서의 종류로는 Time Domain Reflectometry(TDR) 센서와 Frequency Domain Refelctometry(FDR)가 있다. TDR 센서는 고주파를 발생시켜 되돌아오는 전파속도에 근거하여 토양 내 수분을 측정하는 것이고, FDR 센서는 고주파를 이용하여 토양 내 수분함량에 따른 유전율 정도 에 따라 측정 회로내에 걸리는 주파수영역에서 콘덴서에 걸리는 정전용량(electric capacity)으로 읽어 토양수분함 량으로 환산하여 나타내는 것이다. 최근 FDR 센서를 활 용한 고형배지경에서 관수조절 및 관리(Jaria 등, 2013), 센서 간 간격과 측정위치 및 보정방법(Kim, 2014;Park 등, 2011a;2011b;2014), 적정 근권 수분제어 범위 구 명(Park, 2015), 급액 개시시기와 종료 시기, 배양액 관 리(Yoo, 2014) 등이 연구되어 왔다. FDR 센서를 활용하 여 실험한 작물은 토마토(Choi 등, 2013a;2013b;2014, 2015), 딸기(Kim, 2015), 파프리카(Yoo 등, 2014), 절화 장미(Park, 2015;Farina 등, 2007)등이 있으나 아직까지 실질적 농가활용을 위한 체계적 연구 자료의 축적은 부 족한 실정이다. 따라서 본 연구는 토마토의 코이어 배지 를 활용한 비순환 수경재배 시 배액 최소화를 위한 재 배방식을 확립하고자 FDR, 적산일사량 센서 및 타이머 의 서로 다른 관수제어 방식을 적용하고 그에 따른 급 배액량, 생육 및 생산량을 비교 및 평가하였다.
재료 및 방법
1. 식물 재배
본 실험은 강원도 춘천시 사농동에 위치한 토마토 재 배 농가의 단동 2중 수막하우스 3동에서 실시하였다. 면 적은 처리당 500m2 (150평, 1050주) 이며 총 1500m2에서 실시하였다. 춘천 육묘장에서 구입한 토마토(Solanum lycopersicum L. ‘Samsamgu’) 유묘는 2015년 2월 17일에 세척된 재활용 코이어 슬라브 (100cm×20cm×10cm 대영지 에스(주); dust: chip (v/v) 〓 50:50%)에 6주씩 심고 1줄기 로 유인 하였다. 배양액은 시립대학교 토마토 배양액을 기 준으로 가감하여 사용하였다; 5[Ca(NO3)2.2H2O]NH4NO3 90.8kg, KNO3 43.9kg, NH4NO3 1.7kg KCl 6.8kg, KH2PO5 20.3kg, Fe-EDTA 860g, MgSO4·7H2O, 68.4kg, K2SO4 36.7kg, MnSO4·4H2O 169g, ZnSO4·7H2O 104g, CuSO4·5H2O 18.7g, Na2B4O7·10H2O 280g, NaMoO4·2H2O 12.1g (1000 L 100배).
2. 급액제어
급액은 FDR 센서(WT1000N, Mirae-Sensor, Seoul, Korea)에 의한 자동급액방식 처리와 비교하기 위하여 누 적일사량센서(IR: Interated Solar Radiaion)와 타이머 (TIMER) 제어구를 대조구로 정식 후부터 설정하였다. FDR 센서에 의한 방식과 IR 센서에 의한 급액방식은 동일한 자동관수제어기(Magma-1000, Green CS, Seoul, Korea)로 제어 되었고 TIMER 방식은 타이머가 장착된 자동급액기로 제어되었다. FDR센서에 의한 급액방식은 목표 배지 용적당 수분함량 보다 낮은 경우 급액이 되 고 목표 수분함량에 도달하였을 때 급액이 중지 되도록 처리 하였다. FDR과 IR 센서 처리구에서 급액간의 최소 대기시간은 10분으로 설정하였고 TIMER 방식은 하루에 8~11회의 급액이 40~50분 간격으로 되도록 하였다. IR 센서 처리구에서는 목표 누적일사량에 도달하였을 때 급 액 되도록 설정하여 전 재배기간 동안 80J~350J 범위에 서 급액제어 되었다(Table 1). 모든 제어구에서 1회 급액 량을 생육단계에 따라 다르게 설정하였다(Table 1). 관수 개시 및 종료시간을 계절 변화에 따라 일출 1시간 후 관수하여 일몰 3시간 전에 관수종료 하였다.
Table 1.
Water set point (WSP), average irrigation volume (IV), average drainage ratio (%), and irrigation volume at each irrigation (IVE), irrigation frequency (IF), and plant height under the TIMER, FDR, and Integrated-Radiation (IR) irrigation systems for days after transplant (DAT) during early spring to summer growing season.
![]() |
3. 조사항목
관수 제어 시작 후 매일의 주당 급액량은 각 처리구의 재배베드의 중앙에 위치한 여분의 1개 점적핀에서 나오 는 실제 급액량을 플라스틱 실린더에 모아 매일 측정하 였다. 매일 배액량은 각 처리구의 재배베드의 중앙에 코 이어 슬라브 아래에 배액받이 PE필름을 깔아 그 필름 아래로 배액이 흐르도록 하여 플라스틱 실린더에 모아 매일 급액종료 후 측정하였고 배액의 pH 및 EC농도도 함께 측정하였다. 배액률(%)은 다음과 같이 계산되었다: 배액률(%) = 100 × (주당 배액량÷주당 급액량). 전 재배 기간 중 FDR과 IR 처리구의 1회 급액량을 시기별로 자 동관수제어기(Magma-1000, Green CS, Seoul, Korea)에 인위적으로 설정하였고 시기 별 변경된 1회 급액량은 일지에 기록하였다. 두 처리 모두 급액횟수는 센서에 의 해 자동제어 되었고 그 기록도 자동관수제어기에 자동저 장 되었다. TIMER 처리구의 1회 급액량과 급액횟수는 모두 인위적으로 설정되었고 그 설정 값을 일지에 기록 하였다. 식물 초장은 정식 후 50일 이후(4월 8일)부터 적심일(정식 후 76일, 5월 4일)까지 7~10일 간격으로 측 정하였다. 식물 생육은 최종 수확일 하루 뒤인 정식 후 121일 째(6월 15일)에 식물체를 뿌리와 분리한 후 엽 및 줄기 생체중을 측정하였다. 상품과 수량 및 당도는 각 처리구에서 3개의 식물을 선택하여 1화방에서 5화방까 지 수확된 과실에서 측정되었다. 또한 5월 11일부터 6월 19일까지 각 처리구의 전체 식물체(1050주)에서 매일 수 확된 상품과중(1화방에서 7화방까지)을 측정하였다. 수분 이용효율(WUE: Water Use Efficiency =[(수확기 주당 잎, 줄기, 과실의 생체중) ÷ (전 재배기 동안 주당 총급액 량 −전 재배기 동안 주당 배액량)])은 수확기의 잎, 줄 기, 과실을 포함한 총 지상부 생체중을 총급액량에서 총 배액량을 뺀 값으로 나눈 값으로 나타냈다. 근권 내 함 수율 및 EC(Electrical Conductivity)농도 변화는 FDR 처리구는 자동관수제어기(Magma-1000, Green CS, Seoul, Korea)에 의해 자동 기록되었다. TIMER와 IR 처 리구의 근권 내 함수율 및 EC농도는 재배베드에 FDR 센서(WT1000N, Mirae-Sensor, Seoul, Korea)를 설치하 여 데이터로그(WT600, Mirae-Sensor, Seoul, Korea)에 저장 되도록 하였다. 결과에서 얻은 데이터는 SAS 9.2 프로그램 (SAS Institute, Cary, NC)으로 ANOVA(변량 분석) 분석하였다.
결과 및 고찰
전 재배기간 동안 생육단계별 일일 식물체당 평균 급 액량은 13-51일에는 600-630mL, 52-60일에는 1000-1200mL, 61-68일은 1200-1400mL, 69-78일은 1800-1860mL, 79- 87일은 1820-1900mL 범위로 공급되어 처리구 별 큰 유 의적인 차이가 없었다(Table 1). 그러나 정식 후 88일부 터 107일까지 TIMER, FDR, IR 제어구 각각의 일일 식 물체당 평균 급액량은 IR(2125mL) > TIMER(2063mL) > FDR(1983mL) 수준이었고 108일부터 120일 까지는 IR(2000mL) > TIMER(1664mL) > FDR(1500mL) 수준 이었다. 88일 이후부터는 FDR과 IR 제어구가 상이한 결과를 보였는데, 이는 정식 후 94일쯤 부터 누적일사량 의 증가로(Fig. 1) IR 제어구는 급액이 증가된 반면, FDR 처리구는 정식 후 107일쯤 부터(적심 후 30일이 경과) 급액이 IR 제어구보다 주당 평균 500mL 적게 공 급된 결과이다. 두 처리와는 다르게 TIMER 제어구는 정식 78일부터 120일까지 평균 급액량이 큰 편차 없이 공급되었다. 따라서 타이머 제어법은 FDR과 IR 제어법 에 비해 식물의 수분 요구량이나 환경변화에 유동적이지 않다는 것을 알 수 있다. IR 제어구는 타이머 제어구와 는 다르게 일사량 변동이 있을 때 급액량 변동이 발생 하였다. 하지만 최근 발표된 연구결과에 의하면 IR에 의 해 급액 시 오전에 해 뜬 후 225W·m-2가 되기까지 1시 간이 소요되는데 반해 낮 동안에는 30분미만으로 소요 된다고 하였다(Lizarraga 등, 2003). 이러한 IR 제어법과 FDR 제어법을 함께 병행하여 급액 한다면 관수 효과를 증가시킬 수 있을 것으로 판단된다. FDR 센서 제어법은 관수종료 후 관수개시까지 감소된 물량을 관수개시 후 바로 충족시키므로(Choi 등, 2013a, b), Yeager 등 (1997)이 언급한 관수의 의미를 잘 반영하는 방식이다.
배액률은 TIMER 제어구의 경우 5~12%, FDR 센서 제어구의 경우 0~7%, IR 제어구의 경우 12~19% 수준 으로 IR > TIMER > FDR 순이었다(Table 1). FDR 센 서구에서는 정식 후 88일 이후에는 배액이 극소화 되어 ‘배액 제로화’(Mathers 등, 2005) 결과를 얻었다. 일반적 으로 비순환식 수경재배 농가에서는 배지 내 염류집적 발생을 피하기 위해 배액을 20~40% 배출한다(Fricke, 1998;Schröder와 Lieth, 2002;Giuffrida 등, 2003). 하 지만 본 연구의 선행연구 결과(Choi 등, 2013a;2013b;2014, 2015)에서는 FDR 센서에 의한 자동관수시스템에 서는 근권 내 수분함량과 전기전도도(EC)를 실시간 모 니터링을 통하여 배액 극소화가 가능하다는 결과를 얻었 고 본 실험에서도 같은 결과를 얻었다. 그 동안의 선행 실험과 다른 점은 본 실험을 수행한 농가의 재배자는 TIMER를 이용한 급액방식을 사용하면서도 배액률을 10%로 제한하여 재배하였다는 점이다. 반면, IR 제어구 는 다른 일반 농가와 유사하게 배액을 배출하는 것을 목표로 생육단계별 누적일사량을 설정한 결과 배액률이 12~19% 범위였다. 정식 초기에는 뿌리 활착과 생육발달 을 위해서 FDR 센서구도 배액이 7% 정도 발생하도록 1회 급액량을 설정하였다(Table 1). 정식 후 88일 이후 TIMER와 FDR 센서구의 급액량 차이가 크게 없었지만 FDR 센서구에서 배액률이 현저히 낮았다. 이는 TIMER 제어구는 1회 급액량을 85~100mL 수준으로 급액횟수를 9~20회 범위로 인위적으로 공급한 반면 FDR 센서구는 정식 후 60일 이후부터 107일 까지는 1회 급액량을 70mL 수준으로 낮추어 급액횟수가 자동적으로 20~29회 범위로 증가되었기 때문이다(Table 1).
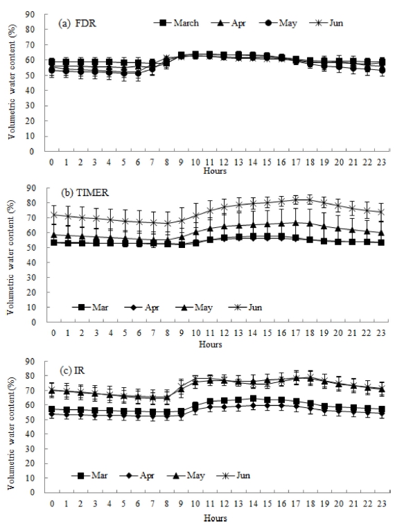
배지 함수율은 FDR 센서구는 계절에 관계없이 52~64% 범위로 유지 되었고(Fig. 1a), TIMER 제어구는 3, 4월 에는 평균 54%로 유지되었고 5월에는 평균 60%, 6월에 는 평균 74%로 유지되었다(Fig. 1b). IR 제어구에서는 3, 4월에는 평균 55~59%, 5, 6월에는 평균 72%로 유지 되었다(Fig. 1c). TIMER와 IR 처리구에서 재배 후기에 함수율 증가는 TIMER 처리는 생체중의 증가로 인해 인 위적으로 급액량을 높여 공급한 결과이고 IR 처리구는 재배 후기에 일일누적일사량 증가로 급액량이 증가된 결 과이다.
FDR 센서구에서 급액량이 다른 두 처리구에 비해 부 족하지 않으면서 배액률도 0~7% 수준으로 유지한 급액 방식의 결과가 배지 내 적정 수분함량으로 나타난 것으 로 고찰된다. 즉, 잉여분의 물과 양분이 다른 두 처리구 에 비해 감소된 결과이다. Bilderback(2000)은 분화재배 에 대해 언급한 것이지만 효율적인 관수는 배액 되고 흘려버려지는 수분량을 즉각적이고 경제적인 방법으로 감소시키는 것이라고 했다. 또한 Burnett(2008)와 van Iersel 등 (2010)은 온실이나 상업적 농원에서 수분센서 를 활용하여 배지 내 수분함량을 측정함으로써 효율적인 관수를 할 수 있었다고 하였다. FDR 센서구가 두 처리 에 비해 효율적인 관수 시스템인 것을 뒷받침하고 있다.
배지 EC농도는 FDR 센서구에서 3월에는 1.83~2.37, 4월 에는 1.88~2.50, 5월에는 1.97~2.74, 6월에는 2.29~3.17dS·m-1 범위로 유지되었다(Fig. 2a). TIMER 제어구에서 3월에 는 1.27~1.44, 4월에는 1.26~1.34, 5월에는 2.26~2.48, 6 월에는 2.99~3.27dS·m-1 범위로 유지되었다(Fig. 2b). 적산 일사량에 의한 IR 제어구에서 3월에는 1.92~2.47, 4월에 는 2.02~2.30, 5월에는 2.82~3.15, 6월에는 2.80~3.22dS·m-1 범위로 유지되었다(Fig. 2c). FDR 센서구에 비해 3, 4월 에 배액률이 높았던 TIMER와 IR 두 제어구는 FDR 센 서구에서 비해 3, 4월에 근권 EC 농도가 낮게 유지되었 다. 하지만 근권 수분함량이 높게 유지되었던 5, 6월에 는 FDR센서구와 유사한 수준을 나타냈다.
배지 무기이온 함량은 사용하지 않은 새 코이어 배지 를 씻은 후 건조시켜 분석한 결과에 비해 사용한 후 분 석 한 배지의 총질산염(NO3-N) 함량은 오히려 낮았지만 유효인산(P2O5)은 최대 30배, 치환성 칼륨(K)은 8배, 치 환성 칼슘(Ca)은 2.6배, 치환성 마그네슘(Mg)은 3.9배 높았다(Table 2). 이 결과는 사용된 농가 배지가 네 번의 재배 작기 동안 재사용되었기 때문인 것으로 판단된다. IR 처리구 배지에서 NO3-N과 유효 P2O5 함량이 가장 높았고(p < 0.05) 치환성 K, Ca, Mg 함량이 가장 낮았 다(p < 0.05). TIMER 처리구에서 치환성 Ca, Mg이 가 장 높았다(p < 0.05). 하지만 TIMER 처리구의 실제 배 액의 EC 농도는 재배기간 동안 2.0~4.5dS·m-1 수준이었 고 세 처리구 모두 배액 pH는 정식 후 61일까지(4월 18일) 7.0~8.0 범위로 유지되다가 그 이후 6.5 수준이었 다(자료 미제시).
Table 2.
Total nitrate nitrogen (NO3-N), available phosphorous (P2O5), and exchangeable potassium (K), calcium (Ca) and magnesium (Mg) in coir substrates of washed never-used (WNU) and of used in this experiment. Plants were grown under the TIMER, FDR-automated, and Integrated-Radiation(IR) irrigation systems during early spring to summer growing season.
![]() |
정식 후 121일에 측정된 엽 및 줄기 생체중은 급액방 식에 따른 통계적 유의차가 없었다. 상품과 수량(1-5화 방)도 급액방식에 따른 통계적 유의차는 없었고(Table 2), 각 처리구의 전체 식물체 (1050주)에서 매일 수확된 토마토 상품과중(1화방에서 7화방까지)도 통계적으로 유 의차가 없었다(Table 3). 수분이용효율(WUE)은 FDR 센 서구에서 통계적으로 약간(13%, p < 0.05) 높았다. 하지 만, 당도는 FDR 처리구에서 TIMER 처리구에 비해 약 11%(p < 0.05), IR 처리구에 비해 약 18%(p < 0.05) 높아 처리구 중 가장 높았다(Table 2). 이 결과는 FDR 센서구의 일일 주당 급액량을 관행수준으로 공급하면서 배액을 극소화를 목표로 1회 공급량을 생육단계별로 다 르게 설정해 준 것과 이에 따라 급액횟수가 다른 것 (Table 1)과 관련이 있는 것으로 판단된다.
Table 3.
Fresh weight (FW) of leaf, stem and fruit, soluble solid content(SSC), total irrigation volume (TIV), total retained volume (TRV), and water use efficiency (WUE) under the TIMER, FDR-automated, and Integrated-Radiation(IR) irrigation systems during early spring to summer growing season.
![]() |
처리구 간의 일일 식물체당 급액량의 상관계수(r2)(자 료 미제시)를 분석한 결과 FDR 센서와 TIMER 제어구 간에는 0.879, IR과 TIMER 제어구 간에는 0.836로 높 은 상관관계를 나타냈고, FDR 센서와 IR 제어구 간에는 0.774로 다른 두 비교보다 낮은 상관관계를 나타냈다. 이 결과는 흐리고 비가 오는 날과 맑은 날의 급액 패턴 과 하루 시간대별 급액빈도가 FDR과 IR 제어구 간에 차 이가 있는 것과 관련이 있다. 이러한 미세한 변화를 FDR 센서가 감지하고 자동관수기와의 통신이 원활하게 될 수 있도록, 또 재배자가 최소 시간 투자로 바로 활용 가능하 도록 기술을 안정화 시키는 것이 앞으로의 과제이다. Table 4
Table 4.
Comparison in total and daily average weights of fruit harvested from a greenhouse sized in 500m2 where 1050 plants are grown under the TIMER, FDR-automated, and Integrated- Radiation(IR) irrigation systems during early spring to summer growing season.
![]() |
결론적으로 수분센서를 활용한 자동관수제어 방식은 배액을 극소화하면서 적정 근권 환경을 조성하여 배액으 로 인한 토양과 지하수 오염을 방지할 수 있는 기술이 며, 생산성은 관행기술에 비해 감소되지 않으면서 당도 가 향상된 토마토를 생산하는 장점을 가진 기술로 판단 된다.








