서 언
최근 국민 소득 증가와 가족 구성원 감소 등 사회 구 조가 변함에 따라 소비자들의 선호도는 간편함, 소량화, 고급화, 다양화 등으로 변하고 있다. 그로 인하여 신선 편이 농산물의 시장규모는 5,870~6,890억원으로 전체 농 산물 시장의 3.3~3.9% 수준으로 추정되고 있다(Lee, 2013). 샐러드의 경우 최근 3년간 연평균 17.1% 성장률 을 보이면서 지속적으로 증가하고 있으며(2016년 기준), 샐러드로 주로 이용되는 어린잎채소 수요 또한 증가하였 다(aTFIS, 2016).
어린잎채소는 본 잎이 10cm 이내의 어리고, 부드러울 때 수확하며 비타민, 미네랄 등 유효 영양성분이 일반 채 소보다 최고 4배가 높다고 알려져 있다(Lee 등, 2007). 어 린잎채소는 맛과 색이 다른 여러 가지 채소를 혼합한 샐러드 모듬 형태로 포장되어 소가족 또는 1인 중심 식 품 단위인 30~50g 또는 100g 단위의 팩 형태로 유통되 고 있으며, 로메인, 치커리, (적)다채, 경수채, 비트 등이 주요 품종으로 사용되고 있다.
어린잎채소 재배는 시설 내에서 토경 또는 수경 방식으 로 생산되고 있으며, 연중 안전생산을 위해 온도(Kim 등, 2013), 광(Kim 등, 2017;Noh 등, 2013), 파종량과 양액 시비 횟수(Kim 등, 2011), 양액 조성(Kwack 등, 2015) 등 의 연구가 보고되었으며, 환경요인 조절을 통해 기능성 성 분 함량 증진(Lee 등, 2007) 등의 연구도 이루어졌다.
한편 정부에서는 벼 육묘비용 절감과 농촌 노동력 부 족 및 농업인구의 고령화에 따라 벼 공동 육묘장 확대 보급 사업을 추진하였으며, 2023년까지 벼육묘 공급량의 60%까지 확대하겠다는 목표를 수립, 진행 중에 있다 (NICS, 2015). 정부 보조사업으로 시설이 구비 된 벼 자 동화 육묘장에는 발아실과 육묘실 등의 시설과 복토기, 다단재배상, 자동관수시스템, 차광 스크린 등 장치가 갖 춰져 있다. 그러나 벼 자동화 육묘장은 벼의 육묘 특성 상 봄철 1~2개월만 사용되며, 나머지 기간에는 충분히 활용하지 못하고 있다.
또한 우리나라 여름철 고온기는 장마로 인한 잦은 강 우, 다습 및 무더위로 생육 적온이 15~20°C인 상추, 엔 다이브 등의 엽채류 재배환경으로는 부적합하여(RDA, 2018) 이 시기 엽채류 수급에 어려움이 많아 소비자의 요구를 충족시키지 못하고 있다. 따라서 재배 기간이 짧 은 어린잎채소 특성을 반영하여 고온기 벼 육묘시설을 활용한 신선 엽채류 생산 가능성과 육묘 재배상 층위별 적정 위치를 선발하고자 본 실험을 수행하였다.
재료 및 방법
공시작물은 적상추 ‘진빨롤라’(Lactuca sativa L. ‘Jinppallolla’), 로메인상추 ‘로메인화이트’(L. sativa L. ‘Romain white’), 왕고들빼기 ‘선향’(L. indica O. Kuntze ‘Seonhyang’) 등 국화과 3종과 다채(Brassica campestries L., Tatsoi), 적다채(B. rapa L., Red tatsoi) 등 배추과 2 종, 아마란스(Amaranthus magostanus) 등 총 6품종을 사용하였다. 실험기간은 2017년 6월 29일에 파종하여 7 월 31일까지 31일간이며, 장소는 강원도 춘천시 신북읍 에 위치한 벼 자동화 육묘장에서 실험하였다.
파종은 벼육묘 파종기(HS-5MI, Hankuk Magneto Co., Ltd., Korea)를 사용하여 벼 육묘판(L60×W30×H2cm)에 상토(Chesobop, Chamgrow Inc., Korea)를 복토한 후, 산파(300립/tray)하여 발아실(27°C, RH 85%)에서 2일간 발아시켰다. 발아가 완료된 벼육묘판은 육묘실로 옮겨 벼육묘 다단 재배상(L120×W60×H195cm, 10층)을 저층( 지면으로부터 15cm, 1층), 중간층(지면 115cm, 4층), 고 층(지면 175cm, 7층)으로 구분하여 배치하였다(Fig. 1). 고온기 재배 환경을 고려하여 재배상 가장 위인 10층(지 면에서 195cm)에는 빈 육묘판을 올려 60% 차광 효과와 주간 온도 3°C가량 줄였다(자료 미제시). 재배 기간 중 일 사량이 강한 11~15시에는 차광스크린을 사용하였으며, 관 수는 벼 육묘 스프레이 자동관수시스템을(200ml·nozel-1 ·min-1) 사용하여 하루 2~3회 공급하였다.
재배 기간 중 재배상의 위치별 광량과 온도 측정은 Watchdog data logger 1000(Model 1650, Spectrum Technologies, Inc., Aurora, USA)와 Quantum light sensor(Item 3668I6, Spectrum Technologies, Inc., Aurora, USA)을 각 층에 설치한 후 15분 간격으로 측정 한 후 생육환경 자료로 활용하였다.
생육 분석 시기는 어린잎채소 초장 10cm 내외에 도달 하는 시점으로 정하여 다채는 파종 후 25일, 나머지 5품 종은 파종 31일째에 수확하여 조사하였다. 생육 측정 항 목은 엽장, 엽폭, 엽수 및 생체중 등을 농진청 생육조사 기준에 따라 조사하였다(RDA, 2012). 또한, 층위 간 누 적 광량과 생육 간의 유의성을 검정하고자 상관 분석하 였고, 생육항목 간 층위별 비교를 위해 중간층의 어린잎 채소 생육(1.0 기준) 대비 상대적 비로 저층과 고층을 비교하였다.
적색 품종 중 상추 ‘진빨롤라’의 층위 간 엽색은 색차 계(TES-135A, TES, Taipei, Taiwan)을 사용하여 Hunter L*, a*, b* 값을 측정하였다. L*은 명도를 나타내고 a*와 b*는 색도 좌표로 a는 적색 방향, -a는 녹색 방향, b는 노란색, -b는 청색을 나타낸다.
시험구 배치는 완전임의배치법으로 4반복 하였으며. 생육결과는 pot 당 7개채를 임의 추출하여 평균화하였다. 통계분석은 통계분석용 프로그램인 SAS pakage (statistical analysis system, 9.4, SAS Institute Inc.)를 이용하여 ANOVA(analysis of variance) 및 Duncan’s multiple range test(DMRT)를 실시하여 5% 유의수준에서 각 처 리 간 유의성 검정하였다.
결과 및 고찰
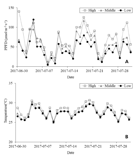
본 실험에 공시된 작물의 적정 재배 환경으로 아마란 스는 적정 온도 31.5°C, 광 포화점1,900μmol·m-2·s-1이며 (Dronzdov 등, 2012), 국화과와 배추과 품종에 해당하는 작물은 적정 온도 15~20°C, 광포화점 463~741μmol·m-2 ·s-1이다(Lee, 2014). 재배 기간 중 환경을 측정한 결과 하루 평균 온도는 27.4~28.1°C, 주간 온도 29.3~30.8°C, 야간 온도 24.8~25.0°C로 층위 간 차이가 적었다(Table 1, Fig. 2). 그러나 일사량은 층위 간 차이를 나타내어 하루 평균 일사량이 고층은 70.3μmol·m-2·s-1로 저층과 중간층에 비해 각각 약 37%, 20% 높았고, 하루 최대 일사량도 차이를 나타냈다. 이는 아마란스를 제외한 공 시작물에서의 적정 온도보다 높았고, 광도는 낮았다. 특 히 고온기의 온도 상승을 막고자 벼육묘 재배상 10층에 벼육묘판을 설치하고, 11~15시까지 차광 스크린을 사용 함에 따라 비교적 낮은 광도가 측정된 것으로 보인다. 그러나 어린잎채소는 성엽이 아닌 짧은 기간 동안 재배, 수확하는 특성을 고려할 때 낮은 광도 환경에서도 생육 이 가능하리라 판단하였다.
Table 1. Daily average of temperature and photosynthetic photon flux density(PPFD) from seedling to harvest.
![]() |
어린잎 초장이 10cm 내외에 도달하였을 때 까지 소요 일수는 다채가 25일이, 나머지 품종은 31일이 소요되었 으며 이들의 엽장, 엽폭, 엽수 및 생체중을 측정한 결과 는 Table 2, Fig. 3과 같다. 적상추 ‘진빨롤라’의 엽장은 저층에서 8.4cm로 가장 길었으며, 중간층(7.7cm)과 고층 (7.4cm) 순으로 짧았다. 엽폭은 층위 간 차이는 없었으 나, 엽수는 고층에서 6.0장으로 다른 두 처리보다 0.6장 많았고, 생체중은 저층에서 가장 높았다. ‘로메인화이트’ 의 엽장, 엽폭, 엽수 및 생체중 등 생육 항목은 중간층 에서 가장 좋았다. 연구에 따르면 ‘Green Mignotte’ 상 추를 봄, 가을 재배시 일사량을 47% 차광하였을 때 수량 이 27% 증가하였으나, 63, 73% 차광하였을 때는 수량과 엽수가 감소하는 등 품질이 떨어진다고 보고하였다(Wolff 와 Robert, 1990). 같은 상추 품종이라도 ‘진빨롤라’는 저 층에서, ‘로메인화이트’는 중간층에서 생육이 높아 층위 에 따른 생육은 달랐지만 차광하였을 때 생육이 좋고, 저 층에서 엽수가 감소하다는 유사한 결과를 얻었다.

Fig. 3
Fresh weight of six varieties of baby leaf vegetable grown on the different locations of the multi-layer banch system in a rice seedling nursery. Tatsoi was harvested at 25 days and the others was harvested at 31 days after sowing. Means with different letters in each column are significantly different by DMRT at p<0.05.Table 2. Length and width of leaf and leaf numbers of six varieties of baby leaf vegetable grown on the different locations of the multilayer bench system in a rice seedling nursery.
![]() |
왕고들빼기 ‘선향’은 중간층에서 엽장이 4.8cm로 가장 길었으며, 엽폭과 엽수는 중간층, 고층에서 각 1.8~1.9cm, 4.9장으로 값이 컸다. 생체중은 중, 고층에서 가장 무거 웠으며, 저층에서 엽장, 엽폭, 엽수 및 생체중이 낮아 중, 고층이 적합한 환경 조건이라 판단된다. Chon(2010)은 고들빼기 재배에서 차광비율이 높을수록 초장, 엽장, 엽 면적 등의 생육 저하 된다고 보고한 바 있다.
적다채는 고층에서 엽장, 엽폭, 생체중이 높았고, 다채 는 중·고층에서 생육이 높아 품종에 따른 층위별 광도가 생육량에 차이를 주었다. Cho(2017)은 다채를 무차광 재 배하였을 때, 잎의 위축, 황화 등 일소 현상이 나타나므 로 50% 차광처리에서 생육이 가장 우수하다고 보고하였 다. 본 실험에서는 중, 고층에서 자란 적다채, 다채의 생 육량이 좋았으며, 이들 처리구의 광도가 50% 차광 광도 와 유사한 환경이어서 같은 결과를 얻은 것으로 본다.
아마란스는 고층에서 재배하였을 때, 모든 측정요소가 높았으며, 중간층, 저층 순으로 생육이 낮았으며, Laila 등(2008)은 높은 광량에서(1,235μmol·m-2·s-1) 초장, 생체 중 등 모든 생육이 좋았다는 결과와 같이 본 실험에서 벼 육묘시설을 활용한 아마란스의 생육은 광도가 높은 고층에서 생육이 좋았다.
Table 3은 적상추 ‘진빨롤라’의 층위에 따른 적색 발현 결과를 나타낸 것으로, 명도를 나타내는 L*은 고층에서 35.5로 가장 낮았으며, 적색도 a*는 고층에서 -1.3으로 가장 높고 중층, 저층 순으로 값이 낮았다. 노란색 b*는 저층에 서 가장 높아 층위에 따른 광도가 색도 발현에 영향을 주 었다. Cho 등(2011)과 Voipio 등(1995)은 적상추 재배 시 광도가 높은 곳에서 안토시아닌 함량이 높았다고 보고한 바 있으며, 본 연구에서도 광도가 높은 고층에서 적색도가 가장 높아 적색 발현에 영향을 준 안토시아닌 발현도 층위 에 따라 차이가 있으리라 본다(자료 미제시). 한편 본 실험 에서 적색이 발현되는 적다채, 아마란스는 층위 간 색상 발현에 가시적인 차이가 발생하지 않았다(자료 미제시).
Table 3. Hunter values of lettuce ‘Jinppalolla’ grown on the different locations of the multilayer bench system for 31 days after sowing in a rice seedling nursery.
![]() |
이처럼 10층 재배상은 층위에 따른 평균온도는 차이가 없었으나 광량 간에는 차이를 보여 누적 광량에 따른 어 린잎채소 생육의 상관성을 분석한 결과(Table 4) 공시작물 생육요소에 따른 누적 광량과 상관성을 나타냈으며, 특히 아마란스는 누적 광량에 따라 모든 생육요소가 높은 상 관을 보였다. 이는 광도가 높을수록 생육이 증가한다는 (Laila 등, 2008) 결과를 확인시켰고 본 실험에서 측정된 광도는 아마란스 광포화점 이하이나 고온기 엽채소 생육 이 어려운 환경에서 적색이 발현되는 아마란스는 생육이 좋아 활용성이 높을 것으로 생각된다. ‘진빨롤라’와 ‘로 메인화이트’ 등 상추는 엽장보다 엽폭이 누적 광량과 높 은 상관성을 나타냈으며, 상추 엽폭의 증가는 광에너지 와 정상관을 나타낸다는 결과와 일치하였다(Bensink, 1971). 왕고들빼기 ‘선향’은 엽장, 엽폭, 생체중에서 누적 광량에 따른 높은 상관성을 나타냈다. 적다채는 엽수에 서 누적 광량과 유의성을 나타냈으며, 다채는 엽장과 생 체중에서 높은 정상관을 나타냈다.
Table 4. Correlation coefficient by correlation analysis between solar accumulation and growth characteristics, leaf length, leaf width, leaves number and fresh weight, of six varieties of baby leaf vegetable.
![]() |
고온기 어린잎채소 재배를 위한 다단식 벼육묘시설에 서 적정 위치를 결정하기 위해 중간층 생육을 1.0으로 기준하여 상대적 생육을 비교한 결과(Fig. 4), 아마란스 와 적다채는 고층에서 생육이 가장 좋았으며, 왕고들빼 기와 다채는 중간층과 고층에서 재배가 적합하였고, ‘로 메인화이트’는 중간층, ‘진빨롤라’는 저층에서 적합하였 다. 그러나 저층에서 생육이 높았던 ‘진빨롤라’ 적색도 발현은 층위에 영향을 받으므로, 고온기 적색 어린잎채 소 재배를 위한 적정 층위로는 중, 고층이 적합하리라 본다. 한편 짧은 기간 내 재배, 유통되는 어린잎채소는 상품 특성상 재배 중 식물 보호제의 사용이 불가한데 재배 도중 다채, 적다채는 저층에서 해충 피해가 발생 되어 엽수가 감소한 것이 관찰되어 생육 저해 인자로 작용하므로, 고온기 이들 작물 재배에서는 유의해야 할 것으로 생각된다.

Fig. 4
Growth characteristics of six verieties of baby leaf vegetables(A, Lettuce ‘Jinppallola’; B, Lettuce ‘Romain white’; C, Indian lettuce ‘Seonhyang’; D, Red tatsoi; E, Tatsoi; F, Amaranth) grown on the different location of the mult-layer bench system in rice seedling nursery. Growth characteristic of middle layer is based on 1.0 value. LL, LW, NL and FW mean leaf length, leaf width, number of leaf and fresh weight, respectively.
이상의 결과, 고온기 벼육묘시설을 활용한 다단 어린 잎채소 재배 가능성을 확인할 수 있었으며, 저층 활용을 위해서는 생육 초기 또는 보광 등의 시설이 보안 되어 야 할 것으로 생각된다.








