서 언
국내의 전문 육묘장들은 주로 50공, 72공 또는 105공 플러그 트레이를 이용하여 고추 플러그 묘를 생산하고 있 다. 플러그트레이 생산회사에 따라 형태가 다르지만 원통 형 또는 피라미드 형의 플러그트레이가 국내에 유통되고 있고(미발표된 자료), 트레이 규격에 따른 셀 용량은 50공 36~72mL, 72공 30~54mL 그리고 105공 플러그트레이는 27~32mL로 알려져 있다(Styer and Koranski, 1997).
전문 육묘장들이 고추를 비롯한 플러그 묘를 생산함에 있어 용적이 적은 트레이를 이용하는 이유는 시설내부의 공간이용 효율을 극대화시켜 좁은 공간에서 가급적 많은 묘를 생산하기 위함이다. 그러나 셀 용적이 적은 플러그 트레이를 육묘에 이용할 경우 각 셀당 충전되는 상토의 양이 적고 이로 인해 상토의 물리·화학적 완충력이 낮아 지는 문제점이 발생한다. 즉, 트레이의 개별 셀당 하나 의 종자를 파종하여 발아시킨 후 발아한 묘를 생장시키 므로 한 식물을 지주하는 상토의 양이 적다. 적은 상토 로 인해 상토가 흡착시킬 수 있는 무기원소의 양이 제 한적이며, 이로 인해 상토에 혼합된 비료의 양이 적절한 수준보다 많으면 쉽게 무기원소 과잉증상이 발생할 수 있다(Nelson, 2012). 또한 적은 양의 상토에 흡착된 무 기원소 등은 육묘 중 관수를 할 때 배수공을 통해 물과 함께 용탈되기 쉽다. Styer and Koranski(1997)는 직경 15cm 플라스틱 포트로 작물을 재배할 때 통상적인 배수 율이 30~50% 범위로 형성되지만 200공 플러그 트레이 를 이용하여 작물을 재배하면서 관수량을 정밀하게 조절 하지 못하면 배수율이 약 200%까지 도달하는 경우가 빈번하게 발생할 수 있다고 하였다. 배수율이 높을 경우 상토에 존재하는 무기원소들이 물과 함께 용탈되어 식물 이 흡수할 수 있는 무기원소의 양이 부족하며 결핍증상 이 쉽게 발현될 수 있다.
플러그묘 생산 뿐만이 아니라 원예용 상토를 이용하여 작물을 생산할 경우 초기 생장 촉진을 위해 상토 조제 과정에서 일정량의 비료를 첨가하고 있고 이를 국내에서 는 밑거름이나 기비로, 미국에서는 pre-planting fertilizer 로(Nelson, 2012), 유럽에서는 base dressing(Sonneveld and Voogt, 2009)으로 불리고 있다. 보편적으로 기비로 시용된 비료들에 의해 파종 또는 정식 후 2~3주까지 비 효가 유지되며, 이후에는 추비(덧거름)로 생장을 촉진시 켜야 한다(Nelson, 2012).
Marschner(2012)가 보고한 바와 같이 식물생장에 가장 큰 영향을 미치는 무기원소가 질소이고, 대부분의 원예 용 상토에 질소를 포함한 무기원소를 혼합한다(Jones, 2005; Nelson, 2012). 플러그 육묘의 경우 적은 셀 용량 으로 인해 상토의 완충력이 낮으며 정밀하게 질소 비료 의 양을 조절하지 못한다면 질소 과부족에 의한 생장억 제 현상이 심하게 발생할 수 있다. 그럼에도 불구하고 국내의 상토회사들이 기비로 첨가하는 비료의 양은 회사 별로 차이가 크며, 이로인해 육묘 중 각종 생리장해가 발생하고 상토회사와 육묘 농가간 많은 분쟁이 발생하고 있는 것은 잘 알려진 사실이다.
이상과 같은 상황을 고려하여 혼합상토에 기비로 첨 가된 질소비료의 수준이 고추 플러그묘 생장에 미치는 영향을 구명하므로써, 고추 플러그묘 생산과 관련한 기 초자료를 확보하고자 본 연구를 수행하였다.
재료 및 방법
실험을 위해 (주) 신성미네랄(Shinsung Mineral Co., Ltd., Jincheon, Korea)이 인도에서 수입한 코이어 더스 트와 리투아니아에서 수입한 규격 0~5mm의 피트모스를 확보하였고, 미성산업(Misung Co. Ltd., Yesan, Korea)이 중국에서 원석을 수입한 후 팽창시킨 2~5mm의 펄라이 트를 용적기준 35%, 35% 및 30%로 비율을 조절하여 혼합한 상토를 조제하였다. 조제된 혼합상토의 공극률, 용기용수량, 기상률, 용적밀도와 상토 수분함량 중 쉽게 이용할 수 있는 수분(4.9kPa 이하의 토양수분장력 하에 존재하는 수분)과 완충수분(4.9~9.8kPa 토양수분장력에 존재하는 수분)을 측정한 후 Table 1에 나타내었다. 상 토 조제를 위해 원료들을 혼합하는 과정에서 질소를 제 외한 다량원소와 미량원소의 농도를 동일하게 조절하여 기비로 처리하였는데 비료의 종류 및 혼합량은 Table 2 에 나타내었으며 Sung 등(2016)이 보고한 내용과 동일 하였다. 기비를 첨가하는 과정에서 질소도 처리 수준을 변화시켜 혼합하였다(0, 100, 250, 500, 750, 1,000 및 1,500mg·L-1).
Table 1. Total porosity, container capacity, air-filled porosity, bulk density, easily available water, and buffering water of the medium used for the experiment.
| Total porosity (%) | Container capacity (%) | Air-filled porosity (%) | Bulk density (g·cm-3) | Easily available water (%) | Buffering water (%) |
|---|---|---|---|---|---|
| 82.4 | 62.7 | 19.7 | 0.10 | 36.0 | 5.5 |
Table 2. The kinds of pre-planting nutrient charge fertilizers and their amounts incorporated during formulation of the mixed medium of coir dust, peatmoss, and perlite with the volume ratios of 35, 35, and 30%, respectively.z
비료를 포함한 상토를 50구 플러그트레이에 충전한 뒤 ‘녹광’ 고추(주. 동부팜흥농) 종자를 파종하였다. 파종한 종자를 28~29°C로 조절한 발아실에서 발아시켰고, 자엽 발생 후 온실로 옮겨 육묘하였다. 파종 20일 후부터 7~10일 간격으로 20-9-20과 13-2-13(두 비료 모두 Sunshine Technigro Fertilizer, SunGro Horticulture, MA, USA)을 교대로 추비하였으며, 두 종류 비료는 N 농도를 기준으로 100mg·L-1로 추비하였다. 실험기간 동 안 평균 주/야간 온도는 28/16°C였으며, 오후 2시 기준 평균 광도는 약 370μmol·m-2·s-1였다.
풍건상토와 증류수를 1:10(w/w)으로 혼합한 후 추출하 여 추출 용액의 pH와 EC를 측정하였고(Sung 등, 2016), 추출액의 무기원소 농도를 파종 후 0, 3 및 7주에 분석 하였으며, 파종 7주 후에 지상부 생육조사를 하고, 식물 체를 수확하여 무기물 함량을 분석하였다. pH와 EC 측정, 상토의 무기원소 농도 분석, 그리고 식물체 분석은 국립 농업과학원표준법(NIAST, 2000)에 따라 수행하였으며, 분석한 기자재는 Sung 등(2016)과 동일하였다.
플러그 묘의 생장을 조사하기 위해 파종 7주 후에 각 처리별 15개체를 수확하여 초장, 초폭, 엽장, 엽폭, 엽수, 경직경, SPAD, 생체중 및 건물중을 조사하였으며, 조사 방법은 Choi 등(1997) 방법을 따랐다. 시험구의 배치는 완전임의배치법 3반복으로 하였으며, 모든 생장 조사 및 분석 또한 3반복으로 수행하였다. 생장 조사 및 분석을 통해 확보한 결과는 Costat 프로그램(Monterey, California, USA)을 사용하여 Duncan의 다중검정방법(p ≤ 0.05)으로 처리간 평균을 비교하였으며, 1차 및 2차항 회귀분석을 하였다.
결과 및 고찰
파종 7주 후까지 측정한 상토의 pH와 EC를 Fig. 1과 2에 나타내었다. 육묘 전 상토의 pH는 질소 시비 수준 이 높아짐에 따라 낮아지는 경향이었지만 모든 처리가 5.87~6.23의 범위에 포함되었고, 처리별 차이가 크지 않 았다. 작물의 생육이 진행됨에 따라 pH가 점차 상승하 는 경향을 보였으며, N 농도가 750mg·L-1 이하인 처리 에서는 파종 6주 후, 1,000mg·L-1 또는 이상인 처리에서 는 파종 7주 후에 그 상승폭이 컸다. Shim 등(2018)은 고추 육묘기간동안 pH가 낮아지는 경향을 보였으며, 이 를 고토석회 시비량 부족과 추비에 포함된 NH4+-N 이온 으로 인해 토양이 산성화되었기 때문이라고 보고하였다. 본 실험에서도 파종 전 기비조성 과정에서 질소시비 농 도가 높은 처리는 NH4+-N 농도도 함께 높아졌으며, NH4+-N의 산화와 양이온 흡수과정에서 뿌리에서 발생하 는 H+의 증가로 인해 질소무시비구에 비해 약간 낮은 경향을 보였다고 생각하였다. 그러나 기비로 혼합된 고 토석회 시비효과가 육묘기간 동안 지속되므로서 모든 처 리에서 수용 가능한 범위를 유지하였고 육묘 후기에는 오히려 높아지는 경향을 보여 파종 7주 후 6.41~7.18의 분포를 보인 것으로 판단한다. Sonneveld and Voogt(2009)은 적절한 상토의 pH 범위를 5.6~6.2로 보 고하였고, 기비로 혼합된 고토석회의 시비량을 줄여야 할 것으로 판단하였다. 또한 N 시비 수준이 높아질수록 종자를 파종하기 전 측정한 EC가 뚜렷하게 높아졌고 모 든 처리가 2.58~7.88dS·m-1 범위로 측정되었다. 그러나 육묘기간이 길어질수록 낮아지는 경향이었으며, 파종 3 주 후부터 급격히 낮아져서 파종 7주 후에는 처리간 차 이가 없었다.
질소 시비수준에 따른 상토추출액의 NH4-N과 NO3-N 의 농도변화는 Fig. 3에 나타내었다. 질소 무시비구에서 는 두 종류 질소농도가 각각 20.0과 26.9mg·kg-1로 가장 낮았으며, 1,500mg·L-1 처리구에서 384.6과 583.2mg·kg-1 로 가장 높게 분석되었다. 또한 NH4-N과 NO3-N의 농도 역시 파종 3주 후까지는 유사한 수준으로 유지되었으나 그 이후에 급격히 낮아졌다. 파종 3주 이후 상토의 EC 와 NH4-N 및 NO3-N 농도가 급격히 낮아진 것은 식물 체의 생장량이 급증하면서 무기원소 흡수량이 증가하였 고, 매 관수시 배수공을 통해 용탈되는 물과 함께 무기 원소가 씻겨 내려갔기 때문으로 판단한다. 이와 같은 점 을 고려하여 Jones(2005)와 Nelson(2012)은 상토에 기비 를 혼합할 경우 파종 또는 정식 2~3주 후까지 비효가 유지된다고 보고한 바 있다.

Fig. 3
Changes in the root medium concentrations of NH4-N and NO3-N during the raising of hot pepper plug seedlings as influenced by various amounts of nitrogen (mg·L-1) incorporated as pre-planting fertilizer into the mixed medium of coir dust, peatmoss, and perlite with the volume ratios of 35, 35, and 30%, respectively.
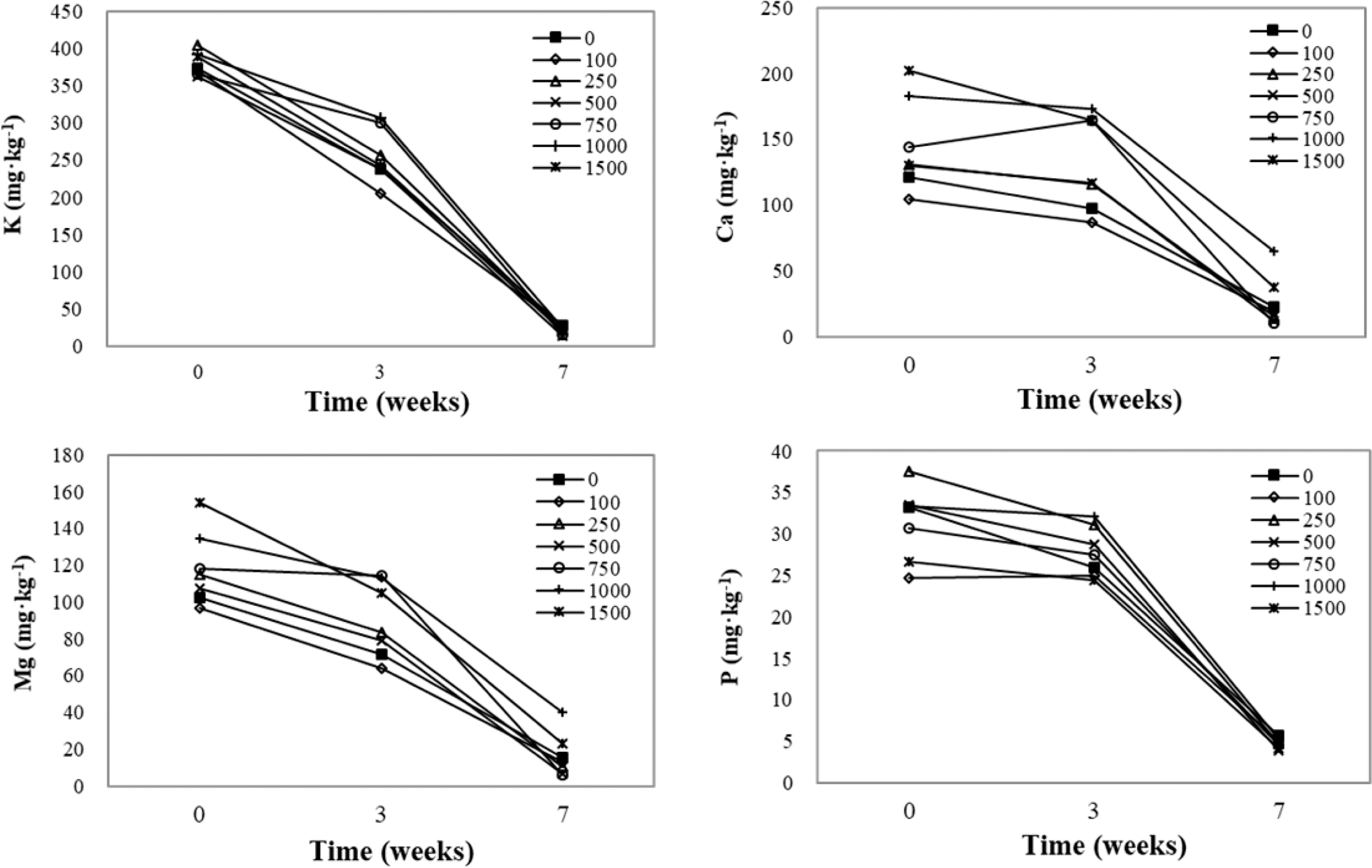
고추 파종 0, 3 및 7주 후 상토 추출용액의 무기원소 농도를 분석한 결과를 Fig. 4에 나타내었다. K는 362.0~404.5, Ca는 104.7~202.1, Mg는 96.9~154.1 그리 고 P는 26.6~37.5mg·kg-1의 농도 범위로 분석되었으며 분석한 모든 원소는 파종 3주 후까지 완만하게 농도가 낮아졌지만 3주이후부터 급격히 낮아졌다. 또한 K과 P 은 250mg·L-1 처리에서, Ca과 Mg은 1,500mg·L-1 처리에 서 농도가 가장 높았는데, 질소 비료를 제외한 모든 비 료들이 동일한 양으로 첨가되었음에도 처리별로 무기원 소 농도의 차이가 발생한 것은 Table 2에 나타낸 질소 혼합을 위한 비료의 종류에서 원인을 찾을 수 있다. 본 연구에서 질소 시비 수준을 높이기 위해 NH4NO3 비료 를 혼합하였으며, NH4+:NO3 -의 비율이 동일하여도 총 시비되는 NH4+의 양이 많아질 경우 상토의 pH가 산성 으로 변한다(Fig. 1에 나타냄). 상토의 pH가 산성으로 변하는 원인은 Marschner(2012)가 보고한 바와 같이 식 물 뿌리가 양이온을 흡수할 때 뿌리로부터 H+이 방출되 기 때문이며, 상토 내 토양수의 pH가 산성으로 변할 경 우 상토에 존재하는 무기원소의 가용화가 촉진된다 (Lindsay, 2001). 본 연구에서도 Fig. 4에 나타낸 바와 같이 질소 시비수준이 높았던 처리들에서 Ca과 Mg 농 도가 높게 분석되었다. 인산의 경우 토양재배시 가용화 가 촉진되는 pH 범위는 6.2~6.7이며(Lindsay, 2001), 최 종 4주 후까지 이 범위의 pH를 유지한 N 0, 100 및 250mg·L-1 시비구에서 농도가 높게 분석되었다. 그러나 파종 3주 이후에는 모든 처리에서 상토의 무기이온 농 도가 급격히 낮아졌으며 EC와 NH4-N 및 NO3-N 농도 변화에서 설명한 바와 같이 식물에 의한 흡수와 관수시 배액이 발생하면서 용탈된 것이 원인이라고 생각한다.

Fig. 4
Changes in the macro-element concentrations of root media during the raising of hot pepper plug seedlings as influenced by various amounts of nitrogen (mg·L-1) incorporated as pre-planting fertilizer into the mixed medium of coir dust, peatmoss, and perlite with the volume ratios of 35, 35, and 30%, respectively.
질소 시비수준을 변화시켜 상토에 질소를 기비로 처 리한 뒤 파종 7주 후 고추의 지상부 생장을 조사한 결 과(Table 3 and Fig. 5) 500 및 750mg·L-1 처리구에서 지상부 생장이 우수하였다. 질소 처리농도가 높을수록 SPAD 값이 높아져 1,500mg·L-1에서 59.2으로 가장 높았 다. 그러나 1,500mg·L-1 처리구는 초장이 가장 작았고, 다른 생장 조사 또한 질소 무시비구와 비슷한 결과를 보였으며 전반적인 지상부 생장이 저조하였다. 고추 묘 의 생체중은 500과 750mg·L-1 처리구에서, 건물중은 250, 500 및 750mg·L-1 처리구에서 다른 처리들보다 유 의하게 무거웠다. Oh 등(2009)은 EC가 3dS·m-1이상이었 을 때 ‘녹광’ 실생묘의 초장과 생체중이 감소하였다고 보고한 바 있다. 본 실험에서도 파종 후 5주까지 1,000 및 1,500mg·L-1 처리구에서 EC가 2.5dS·m-1이상을 유지 하였으며, 높은 EC가 고추 생장에 악영향을 미쳐 생장 이 저조한 원인이 되었다고 판단한다. 이와 같이 기비로 혼합된 질소 시비농도가 지상부 생장에 영향을 미쳐 처 리간 평균 차이가 뚜렷하였고, p≤0.001 수준의 2차곡선 회귀가 성립하여 경향이 뚜렷하였다. 생체중과 건물중 생산량을 고려할 때 고추의 플러그 육묘를 위해서는 기 비로 혼합되는 질소농도를 500과 750mg·L-1로 조절하는 것이 바람직하다고 판단하였다.

Fig. 5
Growth of hot pepper seedlings 7 weeks after seed sowing in 50-cell plug trays as influenced by various amounts of nitrogen incorporated as pre-planting fertilizer into the mixed medium of coir dust, peatmoss, and perlite with the volume ratios of 35, 35, and 30%, respectively (A: 0, B: 100, C: 250, D: 500, E: 750, F: 1,000, and G: 1,500 mg·L-1).
Table 3. Influence of various amounts of nitrogen incorporated as pre-planting fertilizer into the mixed medium of coir dust, peatmoss, and perlite with the volume ratios of 35, 35, and 30%, respectively, on the growth of hot pepper plug seedlings 7 weeks after sowing in 50-cell plug trays.
| N (mg·L-1) | Plant height (cm) | Plant width (cm) | Leaf length (cm) | Leaf width (cm) | No. of leaves | SPAD value | Fresh weight (g) | Dry weight (g) |
|---|---|---|---|---|---|---|---|---|
| 0 | 22.8 | 13.9 | 6.7 | 3.5 | 11.8 | 43.2 | 4.5 | 0.58 |
| 100 | 21.3 | 14.9 | 6.7 | 3.6 | 11.8 | 48.3 | 4.5 | 0.58 |
| 250 | 23.0 | 15.8 | 7.8 | 4.0 | 12.1 | 49.1 | 5.5 | 0.71 |
| 500 | 24.3 | 16.3 | 7.8 | 4.2 | 12.5 | 53.4 | 6.3 | 0.76 |
| 750 | 23.7 | 16.6 | 8.0 | 4.5 | 12.6 | 55.1 | 6.2 | 0.78 |
| 1,000 | 19.6 | 16.1 | 7.5 | 4.4 | 12.0 | 58.2 | 5.0 | 0.61 |
| 1,500 | 16.5 | 14.9 | 6.8 | 3.7 | 11.8 | 59.2 | 4.2 | 0.50 |
| F-significance | *** | *** | *** | *** | * | *** | *** | *** |
| Linear | *** | * | NS | *** | NS | *** | NS | NS |
| Quadratic | *** | *** | *** | *** | ** | *** | *** | *** |
고추 파종 7주 후에 수확한 식물체의 지상부 무기원소 함량을 분석한 결과(Table 4), 질소 시비수준이 높아질수 록 T-N이 높아졌고, 무처리구의 2.28%에 비해 1,500mg·L-1 처리구에서는 6.25%로 분석되었으며, 0.1% 수준의 직선 및 2차 곡선회귀가 성립하여 경향이 뚜렷하였음을 알 수 있었다. Table 3에 나타낸 바와 같이 질소 시비수준 을 500과 750mg·L-1로 조절한 처리에서 생장이 가장 우 수하였고, 이들 처리의 건물중에 기초한 질소함량이 각 각 5.13 및 5.31%임을 고려할 때 우수한 고추 플러그 묘를 생산하기 위해서는 약 5.1~5.3% 범위의 식물체내 N 함량을 갖도록 질소 시비수준을 조절하는 것이 바람 직하다고 판단하였다. N을 제외한 다량원소 함량은 500mg·L-1보다 낮은 저농도의 N 시비구가 750 및 1,000mg·L-1의 고농도 N 시비구보다 높았다. 이는 750 및 1,000mg·L-1 시비구의 지상부 생장량이 저농도 N 시 비구들 보다 많았으며, 모든 처리에서 N을 제외한 필수 원소를 동일한 양으로 시비하였음을 고려할 때 지상부 생장량 증가로 인해 희석효과가 발생하였기 때문이라고 생각한다. Raviv and Lieth(2008)도 특정 무기원소의 식 물체내 함량은 지상부 생장량에 따라 변하며, 흡비량이 증가한 정도보다 지상부 생장량 증가가 더 클 경우 희 석효과가 나타난다고 하여 본 연구와 유사한 결과를 보 고한 바 있다.
Table 4. Influence of various amounts of nitrogen incorporated as pre-planting fertilizer into the mixed medium of coir dust, peatmoss, and perlite with the volume ratios of 35, 35, and 30%, respectively, on the tissue nutrient contents of hot pepper plug seedlings based on the dry weight of whole above ground plant tissue 7 weeks after sowing in 50-cell plug trays.
| N (mg·L-1) | T-N | P | K | Ca | Mg | Na | Fe | Cu | Mn | Zn |
|---|---|---|---|---|---|---|---|---|---|---|
| ---------------------------------- (%) ---------------------------------- | ---------------------- (mg·kg-1) ---------------------- | |||||||||
| 0 | 2.28 | 0.37 | 6.96 | 0.91 | 0.62 | 0.14 | 200.1 | 12.9 | 291.1 | 63.7 |
| 100 | 4.13 | 0.44 | 7.29 | 1.02 | 0.83 | 0.16 | 180.9 | 15.7 | 339.7 | 80.5 |
| 250 | 4.62 | 0.34 | 5.94 | 0.96 | 0.75 | 0.13 | 163.0 | 11.2 | 282.5 | 81.5 |
| 500 | 5.13 | 0.39 | 7.21 | 0.87 | 0.80 | 0.15 | 182.5 | 11.1 | 331.8 | 66.2 |
| 750 | 5.31 | 0.31 | 4.75 | 0.86 | 0.64 | 0.11 | 156.7 | 6.7 | 240.5 | 65.2 |
| 1,000 | 5.88 | 0.31 | 4.98 | 0.87 | 0.62 | 0.1 | 152.8 | 6.6 | 254.7 | 74.1 |
| 1,500 | 6.25 | 0.36 | 4.53 | 0.82 | 0.53 | 0.1 | 162.6 | 6.7 | 212.0 | 71.4 |
| F-significance | ** | NS | ** | NS | ** | *** | NS | ** | * | NS |
| Linear | *** | NS | *** | * | * | *** | * | *** | ** | NS |
| Quadratic | *** | NS | ** | * | ** | *** | NS | *** | * | NS |
이상의 결과를 요약하면, 고추 플러그 육묘를 위해 상토 에 기비로 혼합된 질소 시비수준이 500 또는 750mg·L-1 이하로 조절하는 것이 바람직하며, 1,000mg·L-1 이상의 고 농도 질소시비구나 무시비구는 생장이 저조한 원인이 됨 을 확인할 수 있었다.




