서 론
환경 스트레스는 인간이 재배하는 원예작물을 비롯한 식물의 생육에 밀접한 영향을 미친다. 부적합한 환경요 인으로 인한 스트레스로 인해 작물이 생산할 수 있는 유전적 잠재력의 일부만이 생산되고 있다(Boyer, 1982).
식물체에 영향을 미치는 토양과 관련된 스트레스에는 염, 중금속 등이 있고, 토양 수분에 의한 건조 및 침수 스트레스가 있다(Maiti 등, 2012). 침수 스트레스는 토양 내의 공극이 수분으로 치환되어 식물의 뿌리 부근에 있 는 산소가 고갈되어 식물에게 산소공급이 불량해지는 스 트레스이다(Evans, 2003). 물 속에 녹아 있는 용존산소 는 공기 중의 산소에 비해서 이동속도가 느리기 때문에 침수조건에서 지하부는 산소 공급이 불량해지게 된다 (Bailey-Serres과 Voesenek, 2008).
혐기조건에서 대사과정과 형태학적 변화가 발생되어 ATP 생산 감소, 독성물질의 축적, 세포질의 산소혈증의 피해가 발생된다(Meguro 등, 2006). 산소공급이 중단되 면 미토콘드리아의 전자전달과 산화적 인산반응은 중지 되어 ATP는 젖산발효와 알콜발효에 의해서만 생성된다. 유기호흡에서 36몰의 ATP가 만들어지는 반면, 무기호흡 에서는 2몰의 ATP가 생산되어 ATP가 부족하기 때문에 뿌리의 양분 부족에 의한 상해가 발생된다(Drew, 1997). 저산소 상태에서는 뿌리에서 ACC 생산이 증가하고 줄 기로 이동하여 산소와 접촉하여 에틸렌이 되고 뿌리에서 만들어진 ABA는 잎으로 이동하여 잎을 시들게 만든다 (Taiz과 Zeiger, 2002).
습지식물을 비롯한 침수 저항성을 갖는 식물은 특화된 구조를 통하여 산소를 공급한다. 부정근과 같은 새로운 뿌리의 형성이 유도되거나(Kozlowski과 Pallardy, 1984). 뿌리 혹은 줄기의 기부에 통기조직 형성이 유도된다 (Pimentel 등, 2014). 뿌리는 수베린과 목질화된 세포가 구조적인 장벽을 형성하여 내부의 산소가 토양으로 확산 되는 것을 방지한다(Colmer 등, 1998).
복숭아가 포함되어 있는 살구속 식물은 유전형에 따른 차이는 있지만 침수에 대한 저항성이 약한 것으로 보고 되고 있다(Anderson 등, 1984). 살구속 식물(Amador 등, 2012)을 비롯하여 벼(Colmer 등, 1998)나 옥수수(Odiyi, 2003)에서 침수 저항성에 대해 연구되고 있으나 국내에 서는 포도(Kang 등, 2007) 및 사과(Choi과 Huh, 2001) 에서 일부 수행되었고 복숭아에서는 거의 진행되지 못한 실정이다.
따라서 본 연구는 복숭아 ‘미홍’ 품종의 지하부 침수 에 의해 나타나는 지상부의 생리적 반응을 관찰하여 복 숭아 나무에서 나타나는 침수의 반응을 구명하고 피해 경감 기술 개발을 위한 기초데이터를 구축하고자 수행하 였다.
재료 및 방법
복숭아 실생대목에 접목한 1년생 복숭아 ‘미홍’ 품종 을 직경 51cm인 포트에 재식하여 재배하였다. 포트의 토양으로 마사토와 상토를 1:1의 비율로 섞어 사용하였 고, 포트 토양의 배수와 정상적인 수체생육을 고려하여 3~4일 간격으로 10리터씩 관수하여 재배하였다.
수세와 크기가 유사한 시험수를 처리당 5주씩 선발하 였고 빗물의 유입을 막을 수 있는 온실 내에서 수행하 였다. 침수처리는 지하부가 완전히 잠길 수 있도록 주간 부 5cm까지 잠기게 하여 6월 14일부터 14일간 유지하 였고 무관수 처리는 동일 시기에 관수를 완전 정지하였 다. 처리 전 관수조건을 유지하는 처리구를 대조구로 선 정하여 비교하였다.
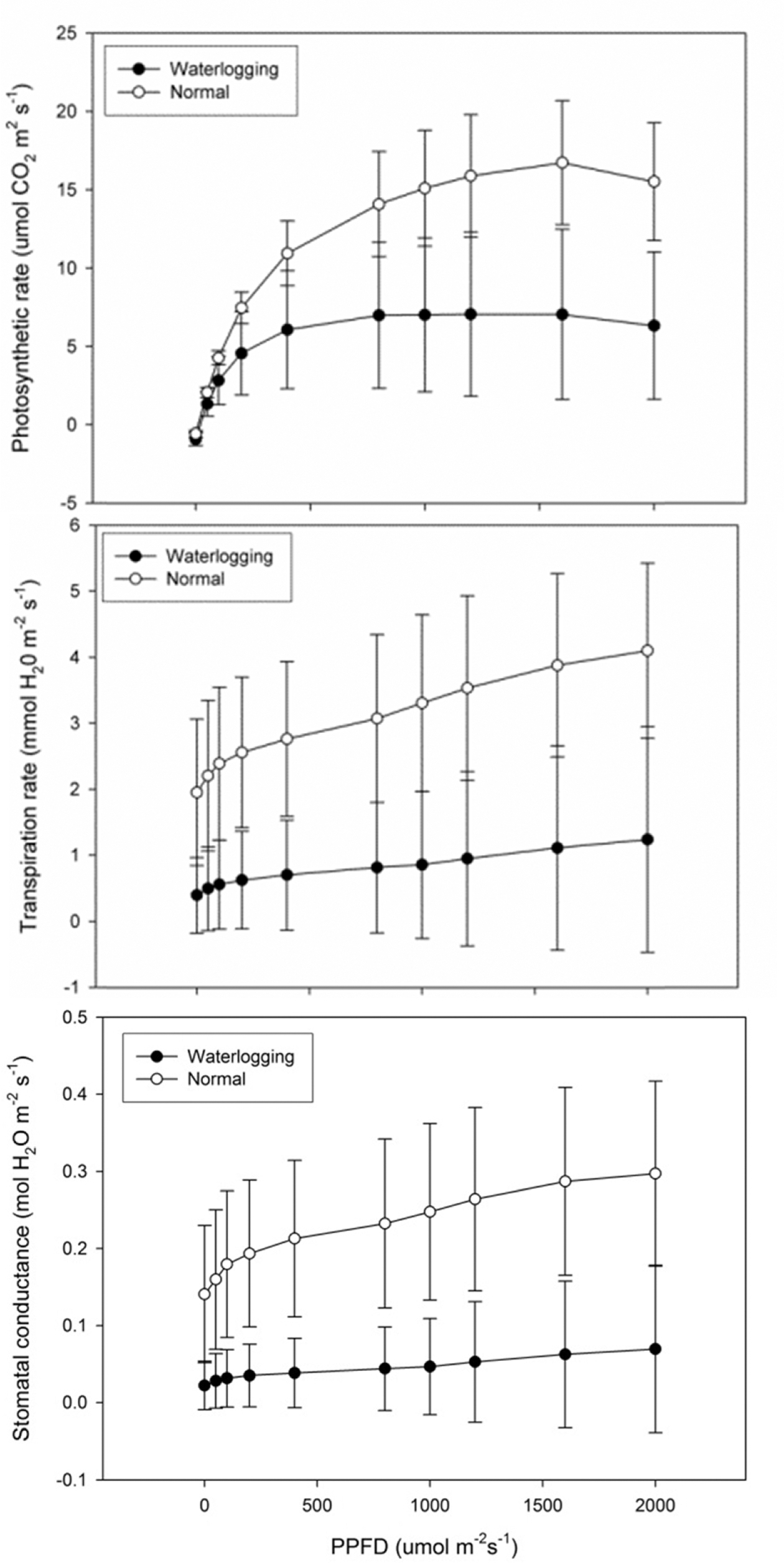
토양수분 처리에 따른 생장량 변화를 비교하고자 처리 전후의 신초의 길이와 직경 및 엽수를 조사하여 처리 기간 중의 변화율을 계산하였다(Fig. 3). 휴대용 광합성 측정기(Li-6400, Li-Cor, US)를 이용하여 광합성률, 증산 율, 기공전도도를 측정하였다. 광합성 측정을 위해 공급 되는 CO2의 농도는 400μmol/mol로 고정하였고, 광조건 은 PPFD (photosynthesis photon flux density) 2000, 1600, 1200, 1000, 800, 400, 200, 100, 50, 0μmol·m-2·s-1 에서 측정하였고 각각의 광도에서 측정된 광합성율을 이 용해 광-광합성곡선을 작성하였다. 잎의 엽록소 함량은 휴대용 광학 측정기(Multiplex® 3, Force-A, France)로 조사하였다.
침수가 완료된 직후 시험수를 뿌리, 줄기, 잎을 분리해 서 분석시료로 사용하였다. 전분은 분석 키트(Megazyme, Ireland)를 이용하였고 탄수화물은 Han 등(2016)의 방법 으로 분석하였다.
잎의 절단면을 현미경으로 관찰하기 위하여 1% glutaraldehyde, 2.5% osmium tetroxide로 세포를 고정하였 다. 이후 단계별 농도의 에탄올로 탈수를 진행한 뒤 epon으로 포매하였다. 단단하게 굳은 샘플 블록은 ultramicrotome (UltraCut, Leica, Germany)으로 얇게 잘 라 슬라이드 글라스에 치상한 뒤 Periodic Acid Schiff (PAS)로 염색하여 광학현미경(Axioskop 2, Karl zeiss, Germany)으로 관찰하였다.
뿌리의 절단면은 Ion-sputter (MC1000, Hitachi, Japan)로 gold coating하여 SEM (SU-3500, Hitachi, Japan)으로 관찰하였다.
통계 분석은 SPSS 프로그램(Microsoft, US)을 이용해 평균간 비교하였다.
결과 및 고찰
복숭아 ‘미홍’ 품종이 재식된 포트의 주간부 5cm까지 물을 채워서 지하부의 공극이 물로 포화되도록 하여 2 주간 침수가 지속되었을 때 나타나는 생리반응을 관찰하 였다(Fig. 1). 침수가 3일간 지속되었을 때 신초와 잎이 아래로 처지는 것이 육안으로 구분되기 시작하였고, 5일 부터는 신초의 기부 부근에 있는 잎의 엽맥 주변이 초 록에서 노랑으로 변하였고, 이후부터 변색부위가 주변으 로 넓어졌으며, 7일 이후부터 낙엽되기 시작하였다. 이 후로도 신초의 기부에서 시작된 잎의 변색, 위조 및 낙 엽은 계속되어 선단부까지 확대되었다(Fig. 1C). 침수에 대한 반응이 심하고 빠른 경우 신초의 색이 진해지고 표면이 수축되며 활력이 사라져 고사되었다.
무관수처리구에서 관찰된 반응도 침수에 의한 반응과 동일한 형태로 관찰되었다(Fig. 1D). 무관수에 의한 반 응은 침수에 비해 느리게 나타나서 처리 9일부터 잎의 색이 노랗게 변하기 시작하였고, 무관수처리구에서는 수 분을 재공급하는 경우 스트레스에 대한 반응이 사라지고 정상의 생육을 보였다.
뿌리의 절단면을 SEM을 이용하여 관찰한 결과(Fig. 2), 처리구 간의 차이는 관찰되지 않았다. 식물이 침수 스트레스에 적응하기 위해 나타나는 형태학적인 변화로 통기조직의 형성, 부정근 발생, 피목의 비대 등으로 보 고되었다(Pimentel 등, 2014). 본 연구에서는 통기조직을 비롯하여 부정근 및 피목의 변화는 전혀 발견되지 않아 침수 스트레스에 저항성을 갖게 하는 형태적 변화가 전 혀 나타나지 않았다.
살구속 식물들은 사과나 배와 같은 온대성 과수에 비 해 침수에 대한 저항성이 약한 것으로 보고되었다 (Anderson 등, 1984). 그 중에서 미로발란 자두(Prunus cerasifera Erhr)나 서양자두(P. domestica L.)는 가장 강 한 저항성을 갖고 있으며(Kozlowski, 1997; Ranny, 1994) 체리는 상대적으로 약한 저항성을 갖고 있다(Salvatierra 등, 2016). 침수저항성을 목표로 육성된 복숭아 용 대목에서는 3주간 연속된 침수에서도 스트레스에 의 한 반응이 전혀 나타나지 않는 것으로 보고되었다 (Iacona 등, 2013). 본 연구에 이용된 복숭아 ‘미홍’ 품 종과 접목한 실생대목은 침수 스트레스에 대해서는 매우 약한 저항성을 나타냈지만, 건조 스트레스는 상대적으로 강하고 빠른 회복으로 저항성을 나타내었다.
2주간 토양수분 처리에 따른 생장량을 비교하였다(Fig. 3). 대조구에서는 신초의 직경과 길이가 37.5%와 23.5% 가 증가되었고 침수와 무관수처리구는 각각 3.0%, 11.8%와 18.5%, 12.6%가 증가했다. 대조구와 무관수처 리구에서는 엽수가 증가했지만 침수처리구는 40.5%가 낙엽되었다. 각 수분처리 중에서 침수, 무관수의 순으로 신초의 생장이 대조구에 비해 억제되었다. 신초의 길이 보다 직경의 생장이 크게 감소했으며, 침수에 의해 낙엽 이 심하게 발생되었다.
토양 수분을 처리한 전후의 기관별 함수량을 조사하였 다(Fig. 4). 무관수처리구의 함수량은 모든 부위에서 대 조구에 비해서 낮았으며, 침수처리구의 경우 잎과 신초 는 낮았고 뿌리에서는 높았다.
침수 조건에서는 뿌리 주변 토양이 수분으로 포화된 상태이기 때문에 뿌리와 주변 수분이 지상부로 이동 혹 은 뿌리의 흡수하는 기능이 상실되어, 지상부에 수분이 부족한 상태인 것을 알 수 있었다. 침수에 의해서 나타 나는 지상부의 시듦 현상은 수분의 부족 혹은 에틸렌에 의한 epinasty 현상에 의해 나타난다(Ashraf과 Harris, 2005). 침수에 의해 토양에서 뿌리로의 산소 공급이 방해 되었고 지상부로부터의 산소공급을 가능하게 하는 형태 적 변화는 전혀 나타나지 않았기 때문에 복숭아 ‘미홍’ 품종은 침수에 의한 산소부족으로 인해 뿌리의 기능이 상실되었고, 그 결과 지상부의 고사가 발생되었다.
광도에 따른 광합성 측정을 통해 광-광합성 곡선을 작성 하고 침수에 따른 광합성 능력의 변화를 관찰하였다(Fig. 5). 대조구에서 광포화점의 광도는 1,800μmol·m-2·s-1으로, 이후의 구간에서는 광합성이 감소되었다. 침수 4일에 조 사된 광합성은 침수 전에 비해서 절반 이하로 감소되었 으며, 광도 500μmol·m-2·s-2 이상의 구간에서는 더 이상 증가하지 않았다. 또한 잎의 호흡률과 기공전도도의 측 정을 통해서도 침수에 의해 수분의 이동과 관련된 기능 이 감소된 것을 확인할 수 있었다. 잎의 주요 기능인 광 합성과 호흡은 침수가 4일 경과한 시점에서도 기능의 대부분이 감소되었다.

Fig. 5.
Cross section of leaves within ‘Mihong’ peach trees in normal (A) and waterlogged conditions (B and C). (A) normal leaf with moderate irrigation, (B) chlorotic leaf with waterlogging, (C) normal leaf with waterlogging. BS, bundle sheath; LE, lower epidermis; PM, palisade mesophyll; S, stoma SM, spongy mesophyll; UE, upper epidermis; VB, vascular bundle.
엽록소가 변화되는 경향을 추적할 수 있는 광학센서를 이용해서 수분 처리에 의한 변화를 관찰한 결과, 침수처 리구에서 잎의 엽록소는 침수 3일 이후부터 낙엽이 될 때까지 계속 감소하는 경향을 보였고 7일이 경과된 시 점부터 통계적으로 유의한 차이가 나타났다(Fig. 6). 무 관수처리구에서는 처리가 11일간 지속된 이후부터 차이 가 나타났다.
침수 처리에 의한 잎의 광합성이 감소하는 반응은 포 도에서의 연구와 동일한 결과였다(Kang 등, 2007). 포도 는 품종에 따라 정도의 차이는 있었지만 침수에 의한 광 합성 반응이 복숭아에 비해서 느리게 나타났고 이는 복숭 아의 침수저항성이 포도에 비해 약한 것을 확인하였다.
침수에 의한 잎의 해부학적 변화를 비교하기 위해 침 수된 시험수의 정상 잎과 변색된 잎을 육안으로 분류하 여 대조구의 정상 잎과 비교하였다(Fig. 7). 침수 스트레 스에 의해 변색된 잎에서는 책상조직과 해면조직에 존재 하는 엽록소의 감소가 뚜렷하게 관찰되었다. 뿐만 아니 라 침수 스트레스에 노출된 시험수의 정상 잎에서도 동 일하게 엽록소가 감소되었다. 그러나 잎을 구성하는 조 직과 세포의 분포와 형태에서 정상 잎과의 차이는 전혀 관찰되지 않았다.
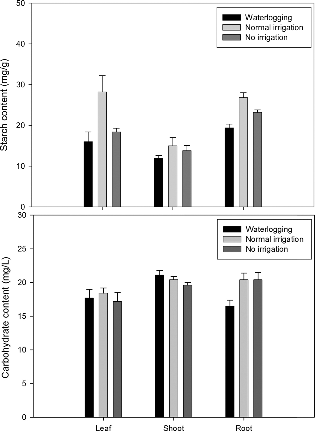
전분은 토양의 수분조건 중에서 대조구, 무관수, 침수 의 순으로 낮았고 잎에서의 감소가 가장 컸으며 탄수화 물은 뿌리에서 침수처리에 의해 감소되었다(Fig. 8). 침 수에 의해 뿌리가 가장 크게 영향을 받았다. 저장양분인 전분과 탄수화물은 침수에 의해 뿌리에서 뚜렷하게 감소 했다. 저장양분은 내한성과 밀접한 관련이 있기 때문에 (Miller 등, 1988) 침수 스트레스는 저장양분 감소에 의한 내한성 약해질 가능성이 매우 높은 것으로 판단되었다.
침수 스트레스에 노출되었을 때 변색되지 않은 잎에서 도 옆록체가 감소된 것은 침수 4일만에 광합성이 감소 된 것과 일치하는 결과였다. 지하부의 침수는 뿌리 주변 의 산소를 고갈시켜 결핍되게 함으로써 뿌리에 산소공급 이 불량해지는 산소 결핍 스트레스이므로 배수불량지에 재식된 복숭아 나무는 침수 스트레스가 직접적인 원인으 로 고사되거나 낙엽으로 인한 2차 피해가 발생될 수 있 다. 뿐만 아니라 광합성 감소에 따라 생육 및 내한성이 감소될 위험성이 있을 것으로 판단되었다. 또한 침수 스 트레스에 대한 반응으로 침수에 노출된 직후의 반응과 침수 스트레스 이후 회복 가능한 정도에 관한 심도깊은 연구가 필요한 것으로 판단되었다.
본 연구에 이용된 실생대목에 접목된 복숭아 ‘미홍’ 복숭아의 토양 수분 조건에 따른 생육을 비교하였다. 복 숭아가 토양 수분에 의해 받는 스트레스에는 건조해, 습 해 및 침수에 의한 산소결핍으로 구분할 수 있다. 토양 이 건조한 경우 직접적인 수분의 이동은 불가능하지만 뿌리의 기능은 상실하지 않아 수분의 공급하면 다시 생 장할 수 있었다. 반면 침수에 의한 산소결핍에 의해서는 뿌리가 기능을 상실하였다. 복숭아는 침수 스트레스의 저항성이 약한 과종이므로 침수 스트레스에 관한 임계점 을 구명하고 침수 피해를 경감시키는 기술을 개발함과 동시에 장기적으로는 침수저항성 대목을 육성하는 것이 요구되었다.









