서 론
우리나라 전체의 시설원예 면적은 2017년 기준으로 54,446ha이며, 그중 가온면적은 17,567ha로 전체의 약 32.3%가 가온재배를 하고 있는 실정이다(MAFRA, 2018a;2018b). 가온방법은 다양한 방법이 있지만 등유, 경유 등 유류를 이용한 난방이 약 81%로 유류 의존도 가 매우 높은 실정으로 시설재배 농가에서는 유가변동에 민감할 수밖에 없다. 이러한 상황에서 시설재배의 생산 비 중 난방비가 차지하고 있는 비중이 30~40% 내외로 매우 높고 유류 또한 전량 수입에 의존하고 있어 무역 수지 면에서도 크게 불리한 입장에 있다(Lee 등, 2007). 이와 더불어 최근 중동 산유국을 중심으로 한 국제정세 불안 등으로 앞으로도 고유가 시대가 지속될 것으로 예 상되어 시설재배 농가의 연료비 부담은 더욱 가중될 수 밖에 없는 실정이다. 이에 난방에너지 절감방안으로 신 재생에너지, 대체에너지 사용 등 여러 분야에서 연구가 진행되고 있으며, 그 중 가장 우선적으로 논의되어야 할 분야가 난방에너지를 많이 소모하는 온실의 보온성 향상 이라 할 수 있다(Kim 등, 2009). 보온성 향상을 위해서 는 대표적으로 다겹보온커튼을 이용하여 온실 내부의 열 원을 효율적으로 보온하는 방법이 있다(Chung 등, 2009). 현재 농가에서는 난방에너지 절감방안으로 대부 분 보온커튼을 사용하고 있으며, 다양한 업체에서 다겹 보온커튼을 생산 및 판매하고 있다. 하지만 시중에 판매 되고 있는 보온커튼은 다양한 단열재간 조합으로 제조되 고 있어 농가의 입장에서는 온실 상황에 맞는 최적의 보온커튼을 선택하는데 어려움이 있는 실정이다. 또한 보온성을 높이기 위해 보온커튼의 두께가 증가함에 따라 하중 증가, 통기성 감소 등 여러 문제점이 발생하고 있 다(Chang 등, 1996). 이러한 다겹보온커튼의 문제점을 해결하기 위하여 보온성이 우수하며 무게가 가볍고, 부 피가 작은 실리카 에어로겔을 단열재로 대체하는 방법에 대하여 연구를 진행하였다.
실리카 에어로겔은 밀도가 0.01~0.1g/cm3인 다공성물 질로서 기공의 지름이 10~100μm의 크기를 갖는다 (Hostler 등, 2009). 이렇게 에어로겔은 90%이상의 기공 도와 나노크기의 미세한 고상입자들이 망목구조를 형성 하고 있는 다공성 신소재이며 상온에서 매우 낮은 열전 도율을 갖기 때문에 기존 단열재의 대체재로 주목받고 있다(Dorcheh와 Abbasi, 2009). 이와 관련하여 Cha와 Kim(2011)은 아크릴계 점착제(PSA)에 에어로겔을 섞어 만들어진 점착제를 건물 창호에 적용하여 단열 특성을 파악하였다. 그 결과 에어로겔이 섞인 PSA를 필름에 도 포하면 열전도율이 감소하는 것을 확인 할 수 있었으며, 수지의 질량대비 에어로겔 함유 20wt%일 때 전체 열전 도율은 약 28%정도 낮아짐을 확인하였다. 또한 Yoon과 Koo(2012)와 Park 등(2013)은 에어로겔을 이용한 단열 재를 제작하여 구조적인 특성, 열 및 기계적인 특성을 분석하였다. 그 결과 공통적으로 에어로겔 함량이 증가 함에 따라 열전도율이 감소하여 단열효과가 향상되는 결 과를 얻었으나, 에어로겔 함량 증가에 따라 급격한 강도 저하를 확인할 수 있었다고 하였다.
이에 본 연구에서는 최근 신소재 단열재로 주목받고 있는 실리카 에어로겔을 이용하여 현재 사용되고 있는 다겹보온커튼의 단점을 보완하고 보온성을 유지 및 향상 시킬 수 있는 새로운 조합의 다겹보온커튼을 제작 하고, 보온 특성을 분석하고자 한다.
재료 및 방법
1. 에어로겔 보온커튼 제작
시험에 사용된 부직포용 원사는 폴리에스테르 3De’, 길이 51mm, 중공율 20%를 사용하였으며, 에어로겔은 분산 액의 제조에 있어서 침투 및 가공특성에 중요한 인자인 입도를 제어하기 위해 5~100μm의 에어로겔 파 우더를 선택하였다. 에어로겔을 포함한 발포 부직포의 제작은 자체 선행연구 결과를 바탕으로 아크릴계 수지를 적용하고 vinyl chloride계와 amine계, co-polymer의 저 비점 탄화수소를 포함하는 열팽창성 microcapsule을 혼 합하여 에어로겔 함량을 5%로 함침조에 투입하였다. 이 를 통해 선행 연구에서 확보된 조건으로 중공사 보온재 를 함침하고 wet pick-up율을 50~60%로 제어하기 위해 스퀴징 로울러를 통과시키고 전개하여 발포 개시 온도인 약 80°C까지 1차 승온 시켰다. 이어서 팽창온도인 110~130°C로 재차 승온하고 6~8m/min의 속도로 진행시 켜 최대 150°C에서 발포, 안정화 할 수 있도록 하였다.
에어로겔 멜트블로운은 부직포에 에어로겔 페이스트 형태와 분말형태의 두 가지로 제조하여 사용하였다. 부 직포에 에어로겔을 첨가하기 위해 0.36mm의 직경을 갖 는 노즐을 장착한 멜트블로운 설비를 이용하여 MI 1,800의 폴리프로필렌 수지를 방사온도 290°C, 공기온도 300°C, 토출량 0.5g/hole의 조건으로 방사하고 에어로겔 분말을 원료 대비 5% 투입되도록 하였다.
2. 시험 장치 제작
조합별 다겹보온커튼의 상대적인 열성능을 비교 분석 하기 위하여 Fig. 1과 같은 시험 장치를 제작하였다. 시 험 장치는 철제 프레임을 기본구조로 사용하였으며, 장 치 측면과 바닥면을 압축발포폴리스티렌(두께 50mm, 열 전도율 0.028W/m°C)으로 보강하여 외부로 방출되는 열 을 최소화 하였으며, 장치의 크기는 1,000×1,000 ×900mm(W×D×H)로 제작하였다(Chung 등, 2009;Kim 등, 2009;Jin 등, 2018)(Fig. 1). 이는 선행 실험으로 Jin 등 (2018)이 실험에 사용한 시험 장치를 사용한 것으로 내부에 열원이 상부에 부착되는 다겹보온커튼으로 집중 되도록 제작한 것이다.
시험에 사용된 다겹보온커튼은 Table 1과 같이 총 6개 의 조합으로 제작하여 시험을 실시하였다. 모든 조합에 는 마트지를 양면에 사용하였는데, 이는 마트지가 내광 성과 내구성이 우수하여 시판되고 있는 다겹보온커튼에 도 사용되고 있어 새로운 조합의 다겹보온커튼에도 적용 하였다. 내부 단열재는 마트지(Ⓐ), 중공사부직포(Ⓑ), 에 어로겔 멜트블로운(Ⓒ), 발포 에어로겔 부직포(Ⓓ) 4가지 를 조합하여 사용하였다. 조합된 다겹보온커튼은 1,200 ×1,200mm(W×D)의 크기로 재단하여 시험 장치 상부에 패드와 사철을 이용하여 탈부착이 용이하게 설치하고, 외부와의 열접촉을 차단하여 실험을 실시하였다.
조합된 다겹보온커튼은 기본 물성치를 측정하기 위하여 다이얼치크니스게이지(H, PEACOCK, Japan)와 분석용 전 자저울(GF-400, A&D, Japan)을 이용하여 두께와 단위면 적당 무게를 측정하여 열유속과의 상관성을 분석하였다.
물성측정에 사용된 Sample은 조합된 다겹보온커튼별 로 임의의 위치에서 100×100 mm(W×D)의 크기로 무작 위 5개를 선택하여 실시하였다. 시험 장치 내부에는 전 열히터(600W)를 사용하여 열량을 공급하였으며, 설치 위치는 Fig. 2와 같이 하단에 설치하여 내부의 대류 등 에 의한 공기 온도분포를 고려하였다. 또한 두 개의 소 형 대류팬을 설치하여 장치 내 균일한 온도분포가 되도 록 제작하였다.
3. 열유속(Heat flux) 측정
제작된 다겹보온커튼의 보온성을 비교분석 하기 위해 서는 다겹보온커튼의 열유속 측정이 먼저 이루어져야 한 다. 열유속은 단위면적 당 통과하는 열의 흐름을 의미 (Yang, 2005)하는 것으로, 열유속 측정을 통해 보온커튼 별 열의 흐름을 분석하여 보온성을 구명하였다. 이에 본 연구에서는 열유속을 측정하기 위하여 Fig. 2와 같이 열 유속 센서(AHLBORN, ZA9007-FS, Germany) 2개를 중 심과 외각에 설치하여 평균값을 취해서 열유속을 측정하 였다. 온도 측정은 AHLBORN사의 온습도센서(FH A646- E1C, Germany)를 각각 실내외에 설치하여 시험 장치내 부의 온도변화와 실외 온도변화를 측정하였다. 실험 데 이터는 1초 간격으로 측정하였으며, 1분간 데이터의 평 균값을 이용하여 그래프를 작성하고 각 다겹보온커튼별 차이를 분석하였다. 실험실 환경조건은 온도 23 ± 0.5°C, 상대습도 75 ± 3%의 조건에서 외부 변수를 차단하기 위하여 밀폐된 공간에서 시험을 실시하였다. 시험은 장 치를 20~30분간 가열하여 60°C가 되는 시점에 열원의 전원을 차단한 뒤 장치 내부온도가 상온으로 복귀되는 과정의 열유속과 온도를 측정하여 각 다겹보온커튼별 보 온성을 비교분석하였다.
결과 및 고찰
1. 보온커튼별 물리적 특성 비교
Table 2는 보온커튼의 두께, 무게 그리고 겉보기 두께 를 나타낸 것이다. 두께 측정은 KS K 0506 섬유 두께 측정법에 의거하여 측정을 실시하였으며, 겉보기 두께는 버니어 캘리퍼스를 사용하여 보온커튼이 압축되지 않을 때의 두께를 측정한 값이다. 보온커튼별 단위면적당 무게 는 No.4 > No.6 > No.5 > No.2 > No.3 > No.1 순으로 낮게 나타났다. 두께는 No.4 > No.6 > No.2 > No.5 > No.3 > No.1 순으로 낮게 측정되었으며, 겉보기 두께는 No.4 > No.6 > No.2 > No.5 > No.3 > No.1 순으로 낮게 측정되었다. 두께와 겉보기 두께는 동일한 결과로 나왔으며, 중공사 부직포(Ⓑ)가 포함된 보온커튼이 다른 조합의 보온커튼에 비해 상대적으로 높은 두께를 나타냈다. 무게는 두께와 거의 유사한 결과가 도출되었으며, 중공사 부직포(Ⓑ)가 포함된 보온커튼이 다른 조합의 보온커튼에 비해 상대적 으로 높은 무게를 나타냈다.
2. 보온커튼별 보온효과 비교 분석
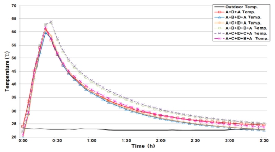
시험 장치내의 온도변화는 Fig. 3과 같다. 시험 장치 내 온도는 전열히터를 가동 후 20분 뒤 작동을 중지시 켰으며, 최고 온도는 No.5(63.9°C) > No.4(63.5°C) > No.6(61.8°C) > No.3(61.3°C) > No.1(61.1°C) > No.2(59.8°C) 순으로 낮게 나타났다. 시험 후 3시간이 경과한 시점에 서 No.2, No.3는 외기 온도와 같은 수준으로 온도가 하 강하였으나, 그 외 조합은 외부기온보다 평균 2°C가량 높게 온도를 유지하였다. 이는 내부 단열재의 매수 차이 를 통해 나타난 결과로 판단되며, 단열재의 매수가 많을 수록 보온성이 우수하여 열손실이 적게 나타난 것으로 사료된다.
Fig. 4는 다겹보온커튼별 표면온도를 나타낸 것이다. 표면 온도의 경우 최고온도를 기준으로 No.1(39.9°C) > No.2(34.4°C) > No.3(32.5°C) > No.4(32.3°C) > No.6(31. 4°C) > No.5(30.4°C) 순으로 낮게 나타났다. 표면온도는 시험 장치 내부의 열이 보온커튼을 투과하여 발생하는 것이기 때문에 표면온도가 낮을수록 보온성이 우수하다 고 판단할 수 있다(Yang, 2005). 표면온도는 내부온도와 달리 시험경과 3시간 뒤에도 뚜렷한 차이를 나타냈다. 실험 결과 내부 단열재 매수가 많아짐에 따라 보온성이 우수한 것을 확인 할 수 있었으며, 단열재 Ⓑ와 Ⓒ에 따 라서도 보온성의 차이를 나타냈다. Ⓑ를 두 개 조합한 No.4와 비교하여 Ⓒ를 두 개 조합한 No.5의 보온성이 상대적으로 좋았으며, Ⓑ와 Ⓒ를 혼합하여 조합한 No.6 는 No.4와 No.5의 중간 값으로 나타났다.
3. 보온커튼별 열유속 비교 분석
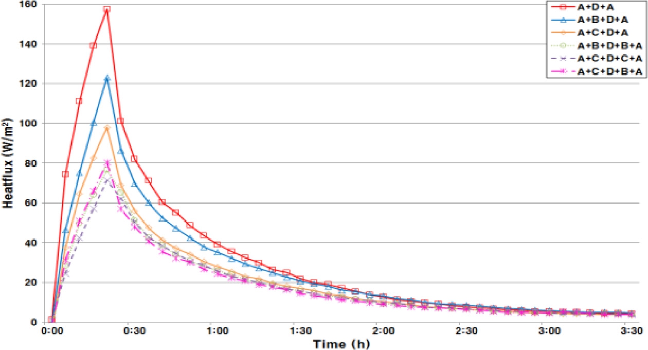
Fig. 5는 시간경과에 따른 열유속을 나타낸 것으로 시 험 장치 내부온도가 최고 온도 일 때 조합별 보온커튼 의 열유속은 No.1(157.5W/m2) > No.2(123.12W/m2) > No.3(98W/m2) > No.6(80.3W/m2) > No.4(76.6W/m2) > No.5(71.4W/m2) 순으로 낮게 나타났다. 열유속은 시험장 치를 가열하는 25분간 급격하게 상승한 뒤 열원을 차단 시킨 후 3시간에 걸쳐 서서히 초기값으로 복귀 하였다. 보온커튼별 초기값으로 원상 복귀하는 시간에는 크게 차 이가 없었고, Fig. 5와 같이 최고 열유속에서 뚜렷한 차 이를 나타냈으며, 이후 차이를 유지하며 초기값으로 복 귀하였다.
열유속은 단위면적당 단위시간에 통과하는 열량을 뜻 하며 수치가 높을수록 다겹보온커튼을 통과하는 열량이 많다는 것을 의미하여 보온성이 낮다고 판단할 수 있다. 이에 따른 실험 결과로는 No.5 조합의 다겹보온커튼이 가장 우수한 보온성을 나타내며, 그 다음으로 큰 차이 없이 No.6, No.4 순으로 보온성이 우수한 것으로 나타 났다.
Table 3은 보온커튼별 실내외 온도차에 따른 열관류율 을 나타낸 것이다. 실내외 온도차는 10°C, 20°C, 30°C 3 가지로 구분하여 열관류율을 계산하였다. 열관류율은 단 위 면적당 열이 이동하는 양으로 낮을수록 단열이 잘되 어 보온성이 높은 것으로 판단된다. 내외부 온도차와 상 관없이 모든 경우에서 No.1 > No.2 > No.3 > No.6 > No.4 > No.5의 순으로 낮게 나타났다. 이는 Fig. 5의 결 과와 일치하게 나타났으며, 내부단열재의 사용매수가 3 겹보다는 4겹, 4겹보다는 5겹으로 증가함에 따라 보온성 이 우수하게 나타났다.
Table 3. Overall heat transfer coefficient according to the temperature difference between indoor and outdoor. (Unit : W/ m2K)
![]() |
실험 결과 다겹보온커튼의 보온성은 내부단열재의 사 용매수와 무게 및 두께가 증가함에 따라 높아지는 것을 확인할 수 있었다. 조합별 보온커튼의 무게와 두께는 No.5와 No.2를 제외하고 같은 경향을 나타냈다. 무게와 두께가 가장 가볍고 얇은 조합은 No.1이며 보온성은 조 합별 보온커튼 중 가장 낮은 수치로 분석되었다. 또한 No.4조합은 가장 무겁고 두꺼웠으나, 보온성은 보온커튼 중 상대적으로 비교적 높은 수치로 분석되어 무게와 두 께는 보온성과 상관성이 높은 것으로 판단된다. 또한 조 합된 단열재의 매수가 증가함에 따라 보온성이 높아지는 것을 확인 할 수 있었다.
하지만 에어로겔 멜트블로운 부직포(Ⓒ)가 조합된 보 온커튼은 같은 매수의 단열재가 조합된 보온커튼에 비해 보온성이 상대적으로 높게 나타났다. 특히 No.5의 조합 의 경우 에어로겔 멜트블로운 부직포(Ⓒ)가 2중으로 조 합된 보온커튼으로 무게와 두께는 상대적으로 낮게 측정 되었으나 보온성은 가장 높은 것으로 분석되었다. 그러 나 에어로겔 멜트블로운 부직포는 개별적으로 사용시 내 구성과 내광성이 약해 장시간 태양광과 외부에 노출되는 보온커튼의 특성상 문제점이 발생할 수 있다. 또한 보온 재의 제작 공정상 에어로겔 멜트블로운 부직포(Ⓒ)는 까 다로운 편으로 에어로겔이 비산하는 문제가 있었다. 하 지만 에어로겔 발포 부직포(Ⓓ)의 경우 에어로겔을 발포 제와 혼합하여 페이스트 형태로 만들고 여기에 중공사 부직포를 담갔다 꺼내서 건조하는 공정으로 비교적 제작 공정이 단순한 장점이 있었다. 그리고 중공사 부직포 (Ⓑ)와 에어로겔 발포 부직포(Ⓓ)가 조합된 No.4의 보온 성은 No.5에 비해 상대적으로 낮게 측정되었으나 그 차 이는 미미하고 다른 조합의 다겹보온커튼에 비해 높은 보온성을 나타내어 추후 양산을 고려한다면 No.4 다겹 보온커튼이 실제 농가에서 사용하기에 가장 적합하다고 판단된다.










