서 론
국내에서는 1992년 공정육묘장 설치지원사업을 기점 으로 공정묘의 연중 및 대량 생산이 가능하게 되었다 (Lee 등, 2013). 국내 육묘 시장은 1997년 20ha에서 2014년에는 195ha로 급격히 증가하였고, 2013년 시장 규모가 2,420억 원으로 정도로 보고되었다(MAFRA, 2014). 특히, 채소 묘를 중심으로 발전되어 왔는데 채소 류 묘 중 20% 정도가 공정묘로 알려져 있고(KREI, 2011) 향후 지속적으로 증가할 것으로 예상되고 있다. 하지만 이러한 공정묘의 사용량이 급격히 증가하는 추세 에 비해 묘의 규격이 표준화되어 있지 않고 육묘장마다 투여되는 기술, 환경 및 시설 수준이 달라 묘의 품질에 서 차이를 나타내고 있다(Kim, 2015). 채소류에서는 우 량한 묘를 생산하기 위해 다양한 연구가 진행되었지만 현장에서는 주로 육묘 일수(Kim 등, 1999; Shin 등, 2000)와 생장 조절을 위한 미등록 triazole계 농약(Yun 등, 2007; Zhang 등, 2003)을 다용하고 있다. 특히, 박과 채소에서는 묘의 도장 억제를 위한 생장억제제 활용에 대한 연구가 많이 진행되었다(Bae, 1999; Kim 등, 1998; Park 등, 2006; Sun 등, 2010). 육묘 일수에 대한 연구는 토마토, 오이, 고추에서 연구가 다수 된 반면에 수박에서는 다른 과채류와 착화 생리, 재배방법이 달라 연구가 매우 미흡하다. 육묘일수에 따른 묘 소질 차이는 정식 후 생육에 영향을 주는 데 긴 육묘 기간보다는 다 소 짧은 육묘 기간 동안 자란 묘가 우수하다고 보고되 었다(Choi 등, 2002; Huang 등, 1999; Lee 등, 2015; Weston과 Zandra, 1989). 토마토나 오이 재배에서는 육 묘 일수에 따라 양성된 묘는 정식 후 뿌리 활착, 생육과 수량에 영향을 주는 것으로 보고되었다(Leskovar 등, 1991; Yu 등, 2002). 이와 같이 공정묘의 적정 육묘일수 를 설정하는 것은 정식 후의 생육 안정과 수량 확보 면 에서 중요한 요인으로 작용한다(Lee와 Kim, 1999).
따라서 본 연구에서는 정식 후 수박의 생육과 생산성 에 육묘 일수에 따른 묘의 소질이 미치는 영향을 구명 하고자 수행하였다.
재료 및 방법
1. 육묘 일수에 따른 접목묘 양성
2015년 1월에 전북 정읍시에 소재한 공정육묘장에서 접목묘를 양성하였다. 접목묘 품종은 대목용으로는 ‘동 장군(Koregon, Anseong, Korea)’, 접수용으로는 ‘삼복꿀 (Hunnong, Pyeongteak, Korea)’을 이용하였다. 육묘 일 수는 파종일부터 각 처리별 생산까지의 일수로 하였다. 육묘 일수 설정은 표준 육묘 일수인 50일묘를 기준으로 ±5일 간격으로 하였고, 동일한 날짜에 정식하기 위해서 설정된 정식일에서 역산하여 1월 20일(65일 묘), 1월 25 일(60일 묘), 1월 30일(55일 묘), 2월 4일(50일 묘), 2월 9일(45일 묘), 2월 14일(40일 묘)로 총 6 시기로 하였다. 접목묘를 생산하기 위해 상토가 충진된 40구 셀트레이 에 대목 및 접수 품종을 기계 파종하였다. 파종 후 발아 를 위해 주간온도는 24°C±1°C, 야간온도는 18°C±1°C, 상대습도는 80%±5%로 관리하였다. 대목과 접수가 발아 하여 본엽이 1-2매 일 때 합접을 실시한 후 활착을 위 해 주간온도를 26°C±1°C, 야간온도를 23°C±1°C, 상대습 도 90% 이상으로 제어한 활착실에 5일 동안 두었다. 이 후 육묘 기간 중 양분은 공급하지 않았으며, 상토가 마 르지 않도록 관수하였다.
2. 육묘 일수에 따라 양성된 묘의 정식 및 관리
2015년 3월 21일에 전라북도 익산시 용안면의 단동 비닐하우스(폭×높이=7m×3m) 내에 육묘 일수에 따라 양 성된 접목묘를 재식하였다. 재식 전 토양에는 기비로 퇴 비 2,300kg/10a와 N:P:K=6:5:5kg/10a를 투여하여 경운하 였다. 재식 이랑은 폭 2.5m로 하고 재식 간격은 35cm로 하였다. 시험구 배치는 난괴법 5반복으로 하였고, 파괴 조사를 위하여 집구당 처리별 5주를 재식하였다. 정식 후 본엽 5매 이상이 되었을 때 4매 정도를 남기고 원줄 기를 적심하였고, 이후 발생한 아들줄기 중 2개만 남기 고 제거하였다. 인공수정은 오전 10시 이전에 수꽃을 따 꽃잎을 제거하여 아들줄기 15-20마디에 착생된 암꽃에 꽃가루를 직접 묻혀주었다. 병충해 관리, 유인, 적과, 관 수 등은 농가의 관행적 방법으로 실시하였다.
3. 육묘 일수에 따른 묘와 정식 후 식물체 조사
육묘 일수에 따라 양성된 접목묘를 트레이에서 처리당 10주씩을 무작위로 선발하여 초장, 대목 및 접수의 경경, 마디수, 엽면적, 지상부와 지하부의 생체중 및 건물중, S/R율을 조사하였다. 초장은 줄자를 이용하여 접수 상부 의 생장점까지 길이를 측정하였고, 대목과 접수의 경경 은 각각 접목부위에서 1cm 아래와 위를 캘리퍼스(500- 182, 20mm × 200mm, Mitutoyo Co., Kawasaki, Japan) 로 측정하였다. 엽수는 육안으로 세었고, 엽면적은 엽면 적기(LI-3100, LI-COR Co., Lincoln, USA)로 측정하였 다. 생체중 및 건물중은 묘를 지상부(Shoot)와 지하부 (Root)로 분리한 후 생체중을 측정하고, 72°C 건조기에 2일간 건조시킨 후 건물중을 측정하였다. S/R율은 지상 부와 지하부의 건물중을 이용하였다.
정식 후 식물체 특성 조사는 2주 간격으로 집구당 1 주(처리별 5주)를 선택하여 묘의 조사 항목과 동일하게 파괴조사를 실시하였다. 정식 후 생장반응을 알아보기 위해 파괴 조사된 자료들을 이용하여 상대생장율, 엽면 적률, 순동화율을 농촌진흥청 농업과학기술 연구조사 분 석기준(RDA, 2012)에 따라 산출하였다. 정식 후 수박의 비대량은 정식 후 5주째인 유과기의 과실 무게와 11주 째인 성숙과의 무게를 측정하여 그 차이로 하였다. 수박 묘의 엽면적, S/R율, 육묘 일수와 정식 후 과실의 비대 량 및 성숙과 무게 간 관계성을 알아보고자 회귀모형을 작성하였다. 그리고 본 모형은 실제 측정된 성숙과 무게 결과와 비교되어 적정 육묘 일수 범위를 선발하는데 활 용하였다.
결과 및 고찰
1. 육묘 일수에 따른 수박 묘의 소질
육묘 일수에 따른 양성된 수박 묘의 소질을 살펴보면, 초장은 40일묘에서 8.5cm, 45일묘에서 8.9cm, 50일묘에 서 7.8cm, 55일묘에서 8.6cm, 60일묘에서 8.2cm, 65일 묘에서 22.6cm를 나타내었다(Table 1). 초장은 40일-60 일 묘간에는 유의한 차이를 나타내지 않았으나 65일 묘 에서는 유의하게 길었다. 대목의 경경은 6.0-6.3mm 범 위로 유의한 차이를 나타내지 않았지만 접수의 경경은 50일 묘와 65일 묘에서 각각 4.4mm와 4.5mm로 다른 처리구의 4.7-5.0mm보다 얇았다. 마디수는 65일 묘에서 평균 5.6개로 다른 처리구의 3.4-4.4개보다 유의하게 많 았다. 엽면적은 40일 묘에서 81.5cm2/plant, 45일 묘에서 79.9cm2/plant, 50일 묘에서 120.8cm2/plant, 55일 묘에서 94.0cm2/plant, 60일 묘에서 95.8cm2/plant 65일묘에서 174.5cm2/plant로 65일 묘, 50일 묘, 나머지 처리구들 간 유의한 차이를 나타내었다.
Table 1. Growth characteristics of watermelon seedlings as affected by raising seedling period.
| Raising seedling period (days) | Plant height (cm) | Stem diameter (mm) | Node number (No.) | Leaf area (cm2/plant) | |
|---|---|---|---|---|---|
| Stock | Scion | ||||
| 40 | 8.5 bz | 6.3 a | 4.8 a | 3.4 b | 81.5 b |
| 45 | 8.9 b | 6.1 a | 4.8 a | 4.0 b | 79.9 b |
| 50 | 7.8 b | 6.1 a | 4.4 b | 4.0 b | 120.8 ab |
| 55 | 8.6 b | 6.2 a | 5.0 a | 3.6 b | 94.0 b |
| 60 | 8.2 b | 6.0 a | 4.7 a | 4.4 ab | 95.8 b |
| 65 | 22.6 a | 6.3 a | 4.5 b | 5.6 a | 174.5 a |
65일 묘의 초장이 월등히 길었던 것은 생육 단계에 따 라 60일 이후에 상배축 신장, 마디 발달, 절간장 신장, 엽의 생성 및 확장이 일어났기 때문으로 생각된다. 따라 서 본 연구의 조건에서 수박 육묘 시 60일 이상 재배를 고려할 시 주의가 필요하다. 이는 Choi 등(2002)의 연구 에서 토마토 묘는 육묘 일수에 따라 생장량 차이가 크 지 않은 반면 오이 묘의 경우 상당한 차이를 나타낸 것 과 유사한 것으로 판단되어 동일 육묘장 내에서 다양한 작물의 묘를 생산할 시 작물별 발육 특성 차이를 고려 해야할 것으로 생각된다.
또한 접수의 직경이 얇은 65일 묘와 더불어 50일 묘에 서 엽면적이 넓었던 것은 육묘기간 동안 동화산물 분배를 줄기보다는 잎 기관 형성 및 확장에 많이 이용한 것으로 생각된다. 하지만 55일과 60일 묘에서 이러한 결과가 나 타나지 않은 것을 고려하면 50일 묘의 엽면적 특성은 육 묘 일수보다는 관리 과정에서 나타난 것으로 보인다.
육묘 일수에 따른 수박 묘의 생체중과 건물중을 살펴 보면, 지상부 생체중은 40-45일 묘, 50-60일 묘, 65일 묘 간 유의한 차이를 나타내었다(Table 2). 하지만 지하 부 생체중은 65일 묘와 함께 지상부 생체중이 가벼웠던 40-45일 묘에서도 유의하게 무거웠다. 지상부 및 지하부 건물중은 생체중과 거의 동일한 경향이었다. S/R율은 육 묘 일수가 적은 40일과 45일 묘에서 낮았고 육묘 일수 가 긴 묘들에서 길었다. 이러한 경향으로 볼 때 접목 후 묘의 생육 단계는 육묘 초기에 뿌리 발달이 활발히 일 어나고 50일 이상이 지나면 초기에 비해 지상부 생육이 활발히 일어나며, 60일 이후에는 지상부 생육이 더욱 뚜 렷해지는 것으로 생각된다.
Table 2. Fresh and dry weight of watermelon seedlings as affected by raising seedling period.
| Raising seedling period (days) | Fresh weight (g/plant) | Dry weight (g/plant) | S/R ratio (C/D) | ||||
|---|---|---|---|---|---|---|---|
| Shoot (A) | Root (B) | Total (A+B) | Shoot (C) | Root (D) | Total (C+D) | ||
| 40 | 7.10 cz | 1.50 a | 8.60 bc | 1.25 c | 0.37 a | 1.62 c | 3.42 c |
| 45 | 6.87 c | 1.32 ab | 8.19 c | 1.30 c | 0.35 ab | 1.65 c | 3.76 c |
| 50 | 8.89 b | 1.14 b | 10.03 b | 1.78 b | 0.32 b | 2.10 b | 5.66 b |
| 55 | 8.22 b | 1.59 a | 9.81 b | 1.68 b | 0.34 ab | 2.02 b | 4.90 bc |
| 60 | 8.39 b | 0.93 b | 9.32 b | 1.92 b | 0.28 b | 2.20 b | 6.80 ab |
| 65 | 16.07 a | 1.85 a | 17.92 a | 3.38 a | 0.40 a | 3.78 a | 8.47 a |
육묘 일수에 따라 묘의 엽면적와 S/R율은 모두 정의 상관성을 나타내었다(Fig. 1). 엽면적은 묘의 잎수(또는 마디수) 증가량(Table 1)에 큰 영향을 받았고, S/R율은 지상부의 증가량의 영향(Table 2)을 크게 받은 것으로 생각된다.
2. 육묘 일수에 따라 양성된 수박 묘의 정식 후 생육 특성
육묘 일수에 따라 양성된 수박 묘의 정식 11주 후 초장, 마디수, 엽면적 특성을 살펴보면, 초장과 마디수는 45일 묘를 정식한 식물체에서 각각 454.5cm와 48.2개로 가장 낮았던 것을 제외하고 나머지 처리구에서는 차이를 나타 내지 않았다(Table 3). 하지만 엽면적은 60일과 65일 묘를 정식한 식물체에서 각각 8749.9cm2/plant와 8643.3cm2/ plant로 40-55일 묘를 정식한 식물체의 10,659.3 - 12,720.3cm2/plant에 비해 유의하게 낮았다. 특히, 짧은 육묘 일수에 따라 엽면적이 적었던 묘(Table 1)가 정식 후 더 넓어진 경향이었다. 이는 Ibrahim 등(2013)이 착 색 단고추(sweet pepper)에서 짧은 육묘 일수의 묘를 정 식하였을 때 엽면적이 더 넓었다는 연구결과와 상당히 일치하였다.
Table 3. After planting watermelon seedlings affected by raising seedling period, height, node number, leaf area of plant grown under greenhouse for 11 weeks.
| Raising seedling period (days) | Plant height (cm) | Node number (No.) | Leaf area (cm2/plant) |
|---|---|---|---|
| 40 | 529.7 abz | 57.0 a | 10,659.3 ab |
| 45 | 454.5 b | 48.2 b | 11,539.9 a |
| 50 | 537.7 ab | 52.8 ab | 11,466.8 a |
| 55 | 562.5 a | 55.5 ab | 12,720.3 a |
| 60 | 566.6 a | 58.5 a | 8,749.9 b |
| 65 | 529.6 ab | 51.3 ab | 8,643.3 b |
또한 식물체의 생체중과 건물중을 살펴본 결과, 지상 부 생체중은 60일과 65일 묘를, 지하부 생체중은 45일 과 65일 묘를 정식한 식물체에서 가장 낮았다(Table 4). 그리고 총 생체중도 65일 묘를 정식한 식물체에서 월등 히 낮은 경향이었다. 지상부 건물중은 60일과 65일 묘를, 지하부 건물중은 40일과 45일, 60일과 65일 묘를 정식 한 식물체에서 유의하게 낮았다. 그리고 총 건물중은 60 일과 65일 묘를 정식한 식물체에서 가장 낮은 경향이었 다. S/R율은 50일 묘, 65일 묘를 정식한 식물체에서 낮 은 경향이었다. 특히, 65일 묘는 다른 처리구들의 묘보 다 초장, 마디수, 엽면적, S/R율이 높았는데(Table 1과 2), 정식 11주 후 조사에서는 초장과 마디수는 다른 처 리구와 차이를 나타내지 않았고 엽면적은 유의하게 적었 고 또한 S/R율이 낮았다. 이러한 결과로 볼 때 65일 묘 는 다른 처리구들보다 한 단계 앞선 생육 단계에 있었 고, 동일 환경에 정식하였을 때 묘의 지상부 생장량에 필요한 양·수분 흡수량을 확보하기 위해 뿌리부 생장에 집중한 것으로 생각된다.
Table 4. After planting watermelon seedlings affected by raising seedling period, fresh and dry weight, S/R ratio of plant grown under greenhouse for 11 weeks.
| Raising seedling period (days) | Fresh weight (g/plant) | Dry weight (g/plant) | S/R ratio (C/D) | ||||
|---|---|---|---|---|---|---|---|
| Shoot (A) | Root (B) | Total (A+B) | Shoot (C) | Root (D) | Total (C+D) | ||
| 40 | 1245.8 abz | 17.3 a | 1,263.1 b | 167.3 ab | 2.9 c | 170.2 ab | 57.7 ab |
| 45 | 1297.5 ab | 13.5 b | 1,311.0 ab | 185.9 a | 2.8 c | 188.7 a | 66.4 a |
| 50 | 1223.3 ab | 17.5 a | 1,240.8 b | 181.9 a | 4.4 a | 186.3 a | 41.3 b |
| 55 | 1484.5 a | 16.5 ab | 1,501.0 a | 195.3 a | 3.5 b | 198.8 a | 55.8 ab |
| 60 | 1153.0 b | 15.3 ab | 1,168.3 b | 148.5 b | 2.6 c | 151.1 b | 57.1 ab |
| 65 | 1084.5 b | 13.3 b | 1,097.8 b | 142.2 b | 2.9 c | 145.1 b | 49.0 b |
수박은 토마토, 오이 등과 같이 재배 시 수직으로 유 인하여 재배하지 않고 재배 토양 표면에서 덩굴로 재배 하는 과종이다. 65일 묘를 정식한 식물체의 엽면적이 급 격히 적어지고 노화된 원인으로는 앞선 생육 단계에 도 달하였기 때문으로 생각되기도 하나, 온도 제어가 이루 어지지 않는 하우스 재배에서 높은 토양 표면의 온도에 일찍 노출되었기 때문으로도 생각된다. 65일 묘를 정식 한 후 나타난 변화를 노화묘에 따른 변화, 또는 앞에서 논한 원인에서 오는 것인지는 더욱 세밀한 연구가 필요 해 보인다.
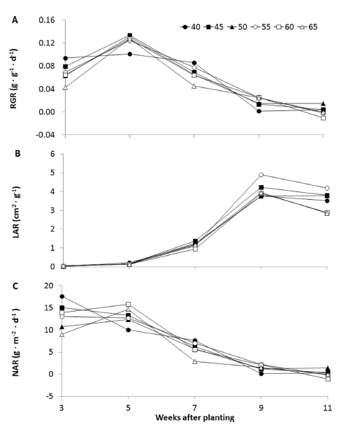
육묘 일수에 따라 양성된 수박 묘의 정식 후 11주 동 안의 건물중과 S/R율 변화를 살펴보면(Fig. 2), 건물중은 정식 5주 후부터 육묘 일수 간 차이를 나타내기 시작하 였다. 7주째 조사부터 60일과 65일 묘를 정식한 식물체 에서 다른 처리구들에 비해 낮은 경향을 보였다. 7주째 에 높았던 40일 묘를 정식한 식물체는 이후 증가하지 않는 경향을 보였고, 45-55일 묘를 정식한 식물체에서는 다른 처리구들에 비해 지속적으로 높은 경향을 나타내었 다(Fig. 2A). S/R율도 정식 후 5주째부터 처리 간 차이 를 뚜렷하게 나타내었다. 7주째 조사에서는 40일, 45일, 55일 묘를 정식한 식물체에서 다른 처리구들에 비해 높 은 경향을 나타내었다. 하지만 이후 40일 묘를 정식한 식물체에서는 급격히 낮아지다 다시 상승하였고, 45일과 55일 묘를 정식한 식물체에서는 지속적으로 상승하다 후 반기에는 55일 묘에서 급격히 낮아지는 경향을 나타내 었다(Fig. 2B).
육묘 일수에 따라 양성된 수박 묘의 정식 후 식물체의 상대생장률, 엽면적률, 순동화률의 변화를 살펴보았다 (Fig. 3). 상대생장률은 모든 처리구들에서 정식 후 낮아 지는 경향을 나타내었다. 40일 묘를 정식한 식물체에서 는 7주째 조사까지 거의 변화를 나타내지 않았지만 다 른 처리구들은 정식 후 초기에 급격하게 상승하는 경향 을 보였다. 특히, 3주째 조사에서는 40일 묘를 정식한 식물체에서 0.094g·g-1·d-1으로 가장 높았고 65일 묘를 정 식한 식물체에서 0.042g·g-1·d-1으로 가장 낮았다. 그리고 다른 처리구들에서는 0.063-0.079g·g-1·d-1으로 뚜렷한 차 이를 나타내지 않았다. 5주째 조사에서는 40일 묘를 정 식한 식물체에서 0.101g·g-1·d-1으로 가장 낮았고, 다른 처리구들에서는 0.124-0.134g·g-1·d-1으로 뚜렷한 차이를 나타내지 않았다. 7주째 조사에서는 3주째 조사와 유사 한 경향을 나타내었고, 9주째 조사에서는 40일 묘를 정 식한 식물체에서 0.002g·g-1·d-1으로 가장 낮았고, 55일- 65일 묘를 정식한 식물체들에서 0.025g·g-1·d-1으로 높은 경향을 나타내었다(Fig. 3A).
엽면적률은 모든 처리구에서 7주째 조사부터 상승하다 가 9주째 조사에서 가장 높은 경향을 나타내었고 다시 11주째 조사에서 낮아지는 경향이었다. 11주째의 엽면적 률에서 3주째의 엽면적률을 뺀 상승분을 보면, 40일, 60 일, 65일 묘를 정식한 식물체들에서는 2.49-2.86cm2·g-1 증가한 반면, 45일과 50일 묘를 정식한 식물체들에서는 3.74-3.78cm2·g-1 증가하였다. 그리고 55일 묘를 정식한 식물체에서는 4.17cm2·g-1 으로 가장 많이 증가하였다 (Fig. 3B).
순동화율은 모든 처리구에서 정식 후 낮아지는 경향을 나타내었다. 정식 후 초기 3주째 조사에서는 40일 묘를 정식한 식물체에서 17.7g·m-2·d-1으로 가장 높았고, 65일 묘 를 정식한 식물체에서 9.0g·m-2·d-1으로 가장 낮았다. 5주째 조사에서는 40일 묘를 정식한 식물체에서 10.1g·m-2·d-1으 로 크게 낮아졌으나 다른 처리구들은 12.4-15.8g·m-2·d-1 으로 유지되거나 다소 높아졌는데 60일과 65일 묘를 정 식한 식물체에서 높은 경향이었다. 7주째에는 5주째 가 장 높은 상승 경향을 보였던 65일 묘를 정식한 식물체 에서 2.9g·m-2·d-1으로 다른 처리구들에 비해 급격히 낮아 졌다. 9주째에는 40일-45일, 65일 묘를 정식한 식물체들 에서 낮은 경향을 나타내었다. 11주째에는 40일-50일과 55일-65일 묘를 정식한 식물체들 간 뚜렷한 차이를 나타 내었는데, 55일-65일 묘를 정식한 식물체들에서는 순동 화율이 음(-)의 값을 나타내었다(Fig. 3C).
특히, 정식 후 후반기에 엽면적률이 가장 높았던 55일 묘를 정식한 식물체에서도 순동화율이 음(-)의 값을 나 타내었다. 이를 고려하면 육묘 일수가 긴 묘들을 정식하 였을 때 엽면적 확보도 중요하지만 단위 엽면적당 광합 성능력이 순동화율에 큰 영향을 미치는 것으로 생각된다.
3. 육묘 일수에 따라 양성된 수박 묘의 정식 후 과실 비대 및 품질
육묘 일수에 따라 양성된 수박 묘를 정식하여 생산된 성숙과 특성을 조사하였다. 과중은 40일과 65일 묘에서 생산된 과실에서 9.7-9.9kg으로 가벼웠고, 50일과 55일 묘에서 생산된 과실에서 모두 11.0kg으로 가장 무거웠다 (Table 5). 그리고 과실 길이는 60일 묘에서 생산된 과실 에서 32.60cm로 가장 길었고 65일 묘에서 29.25cm로 가장 짧았다. 과실 너비는 과실 무게와 유사한 경향을 나타내어 무게가 가벼운 과실은 횡경 비대가 적었던 것 으로 생각된다. 과형지수는 60일 묘에서 생산된 과실에 서 1.29로 가장 높았고, 45일 묘에서 생산된 과실에서는 1.22로 가장 낮았다. 과피 두께는 45일 묘에서 생산된 과실에서 13.92mm로 가장 두꺼웠고, 40일, 50일 및 65 일 묘에서 생산된 과실에서 12.35-12.54mm로 얇은 경향 이었다. 과실 품질 평가 요소 중 가장 중요한 과실 당도 는 45일 묘에서 생산된 과실에서 12.08Brix로 가장 높았 고, 50일과 60일 묘에서 생산된 과실들에서 11.18Brix로 낮았다.
Table 5. Fruit characteristics of matured watermelon affected by raising seedling period.
육묘 일수에 따른 정식 후 과실 비대량과 성숙과 무게 간 관계성을 알아보기 위해 회귀분석하였다(Fig. 4). 과 실 비대량은 정식 후 5주째 착과된 과실 무게를 11주째 수확한 성숙 과실 무게에서 뺀 값이다. 과실 비대량은 육묘 일수별 각각 5.0kg, 5.6kg, 6.5kg, 5.7kg, 5.9kg, 4.9kg으로 50일 묘를 정식한 식물체의 과실에서 가장 많 았고, 40일과 65일 묘를 정식한 식물체의 과실에서 적었 다. 특히, 50일 묘를 정식한 식물체의 과실에서 5주째에 는 4.5kg으로 가장 가벼웠고, 40일, 65일 묘를 정식한 식물체의 과실에서 각각 4.8kg, 4.9kg으로 55일 묘의 식 물체를 제외하고는 무거웠다(자료 미제시). 이러한 결과 를 고려하면 40일 및 65일 묘는 정식 후 착과를 위한 암꽃 발생이 다른 처리에 비해 늦었거나 빨랐을 것으로 생각된다. 특히, 65일 묘를 정식한 식물체는 수정이 빨 라 착생된 과실의 초기 비대가 빨랐지만 과실 비대기에 엽면적이 적고, 이에 따라 낮은 광합성 능력으로 동화산 물 생성량이 낮았고(Fig. 2A) 과실로의 동화산물 분배량 도 적어 비대량이 적었을 것으로 생각된다.

Fig. 4
Regression equation between raising seedling period and increment of watermelon weight (A) and the matured fruit weight (B). A values are fruit weight measured at 11th week minus the fruit weight measured at 5th weeks after planting. Vertical bars represent the standard error of the mean (n = 5).
이에 따라 육묘 일수, 묘의 소질과 정식 후 식물체의 과 실 비대량 및 성숙 과실 무게 간 회귀분석한 결과, 묘의 엽 면적과 S/R율은 과실 비대량 또는 성숙과 무게와 유의한 관 계성을 나타내지 않았다(자료미제시). 하지만 육묘일수는 과 실 비대량과 y = -0.008x2 + 0.812x – 15.128 (R2=0.765*), 성숙한 과실 무게와 y = -0.008x2 + 0.823x – 10.903 (R2= 0.966**)의 다항 회귀 관계를 나타내었다(Fig. 4A와 B). 본 두 회귀식에 따라 육묘 일수가 51일인 묘에서 비대 량과 성숙과 과실 무게가 가장 높게 나타났는데 이는 50일과 55일 묘에서 가장 무거운 과실이 생산된 결과 (Table 5)와 일치하였다. 그러나 Lee와 Kim(1999)의 연 구 결과인 짧은 육묘 일수의 토마토 묘에서 수확량이 높다는 결과와 Kim 등(1999)의 연구에서 육묘 일수 45 일 묘와 60일 묘 간 토마토 상품 수량의 차이가 없었다 는 결과와는 다소 상의한 결과를 나타내었다. 하지만 이 는 작물 종류, 생리적 발육 차이에 따른 착과 방법 및 패턴의 차이 등 다양한 요인이 있을 수 있고, Leskovar 등(1991)의 연구에서 동일 작물이라도 연구 및 재배 현장 의 다양한 요인에 의해 생장 및 수량이 변할 수 있다는 결과를 고려하면 향후 육묘 소질에 따른 정식 후 재배 환 경, 투여 기술 등 복합적인 면밀한 연구가 필요할 것으로 생각된다.





