서 론
재료 및 방법
1. 실험 재료 및 재배 조건
2. 파프리카의 광합성 특성 기공개도 조사
3. 파프리카의 생육 및 수량 조사
4. 통계분석
결과 및 고찰
1. 온실 재배 환경 분석
2. 광합성 특성 및 기공개도
3. 생육 및 수량 특성
서 론
파프리카(Capsicum annuum L.)는 한해살이 가지과 식물이다. 일반 피망과 분류학적으로 동일한 작물에 속해있다. 영양학적으로 채소류 중 비타민 C가 많이 함유되어 있고, 100g의 생체 내 수분 약 92%, 단백질 3.1%, 조섬유 1.3%, 비타민 100mg, 칼슘 18mg 외 카로틴, 철분 등이 함유되어 있다. 우리나라에서는 주로 촉성으로 파프리카를 재배하고 있으며, 7-8월 파종 후 8-9월 정식하여 11-7월에 수확하고 있다. 촉성재배 시 생육 적온은 22-25℃이다(Lee 등, 2013).
기상시나리오에서는 100년 후 전 지구적인 대기 온도상승은 2.8℃에 비해(IPCC, 2007) 한반도는 4.0℃ 상승(NIMR, 2007)할 것으로 예측하여 한반도의 온난화가 전 지구적 온난화에 비하여 심할 것으로 예상하였다(Lee 등, 2012). 기후변화에 의한 이상 현상의 증가로 농작물 생육에 피해가 발생하는 중이고, 이러한 현상은 미래에 더욱 심해질 것으로 예상하였다(Shim 등, 2013). 작물에 적합하지 못한 환경 관리는 농가 소득에 불이익을 끼칠 수 있다. 여름철 육묘 시 고온 장해로 생리장해, 도장 등이 발생한다(Bae, 2018; Cho 등, 2009).
내부와 외부 온도차에 의한 자연대류 방식과 공조시스템을 활용한 강제 대류 방식으로 냉방시스템(Chung 등, 2009)이 구비되어 있는 온실에서는 고온기에 생육 적온을 맞춰 재배가 가능하지만, 냉방시스템이 구비되어 있지 않은 농가는 온실 내 온도가 40℃ 이상 올라가 파프리카 재배가 불가능해진다. 반밀폐형온실은 유입되는 외부 공기와 밀폐된 공간에 존재하는 내부 공기를 조합하여 작물에 적합한 재배 환경을 조성하는 고온기 냉방이 가능한 온실이다. 반밀폐형온실은 완전밀폐형온실보다 냉방을 효율적으로 하기 위해 지열히트펌프와 공조기(Air Handling Unit, AHU)를 이용한 냉방 효율이 더 높은 온실이다(Qian 등, 2011). 또한, 온실의 환기율이 낮아 미량의 CO₂로 광합성 효율을 극대화할 수 있어 효율적인 작물관리와 병해충 관리가 가능하다(Bot, 1992). 수확물의 품질 및 수량 향상을 위해서는 재배관리 기술도 중요하지만 작물 생육에 적합한 온실 내부의 최적 환경 제어 기술도 매우 중요한 요인으로 보고되고 있다(Dorais, 2003; Heuvelink 등, 2004; Heuvelink와 Challa, 1989; Marcelis 등, 2004). 따라서 고온기의 온실 내부의 환경 제어 기술과 그에 따른 생육의 차이에 대한 정확한 정보 제공은 시설 원예 재배 농가에 매우 필요한 상황이다.
본 실험은 냉방이 가능한 반밀폐형유리온실과 냉방시스템이 갖춰져 있지 않은 플라스틱 하우스에서 고온기 정식한 파프리카의 환경요인에 따른 생육 차이와 광합성 효율을 비교하기 위하여 실험을 수행하였다.
재료 및 방법
1. 실험 재료 및 재배 조건
본 실험은 전라남도 강진군 도암면에 소재한 지열과 팬앤패드를 활용하여 냉방이 가능한 산란광 강화 유리로 피복된 반밀폐형온실(semi-closed greenhouse)인 영농조합법인 써니너스 농장(길이 253m, 폭 121m, 동고 7.9m)과 목포대학교 부속농장에 소재한 냉방이 되지 않는 3중 PE 필름으로 피복된 플라스틱온실(plastic greenhouse, 길이 19.5m 폭 8.2m, 동고 5m)에서 비교 실험을 하였다(Fig. 1). 사용된 공시 품종은 시로코이다. 2021년 5월 21일 파종하여 39일간 육묘 후 코코피트 슬라브(100 × 150 × 1,000mm, 대영GS, Korea)에 2021년 6월 28일 정식하였다. 코코피트 슬라브에 정식한 식물체는 반밀폐형온실 고설배드(30 × 112 × 10cm)에 옮겨 재배하였다. 재식밀도는 2.53주/m²이고 세 줄기 유인으로 양액재배하였다. 정식 36일 경과 후 2021년 8월 2일 목포대학교 부속농장 플라스틱온실에 있는 고설배드(30 × 300 × 50cm)에 옮긴 후(이후 이식으로 표현) 2021년 8월 3월 초기 생육 조사를 하였다. 배양액조성은 아래 표(Table 1)와 같으며, 양액 급액은 EC 3.5dS·m-1, pH 5.5 조건으로 광량 90J·cm-2일 때 주당 50cc를 급액하였다.
Table 1.
Nutrient solution for paprika (the PBG nutrient solution of Netherlands).
| Component | Macro element (mM) | Micro element (mM) | ||||||||||||
| NH4 | K | Ca | Mg | NO3 | SO4 | H2PO4 | B | Fe | Mn | Zn | Cu | Mo | ||
| 1.0 | 7.5 | 4.3 | 1.5 | 15.3 | 1.8 | 1.3 | 30.0 | 15.0 | 10.0 | 5.0 | 0.75 | 0.5 | ||
반밀폐형온실의 내부는 공조시스템(Ultra-Clima, KUBO, Netherlands)을 이용하여 주간 28℃, 야간 20℃로 환기와 냉각기를 이용하여 온도 설정하여 관리하였다. 내부 온도는 온실을 4개 구역으로 분할하여 매주 작물의 정단부에 맞춰 MTV active(Ridder, Netherland)를 이용하여 측정하였으며, 광량은 센서(SR05-D2A2, Hukseflux, Netherland)를 이용하여 온실 중앙부에서 바닥으로부터 6.5m 높이에서 측정하였다. 목포대 부속농장의 플라스틱온실은 공조시스템을 활용한 냉방시스템이 없어 기존 관행온실에서 사용하는 측창과 천장의 개폐만을 이용하여 온도 조절을 시도하였다. 온실 내부는 26℃를 기준으로 측창이 개폐되도록 설정하였으며. 스크린은 9시부터 15시까지 내부 온도가 30℃ 이상이면 작동하도록 설정하였다. 온실 내부 온도 센서는 써미스터(111N, Agronet, Korea)를 사용하여 지상으로부터 2m 지점에서 측정하였고, 온실 내부 광량은 광합성유효광량자속밀도 센서(SQ-212, Apogee instruments, USA)를 이용하여 데이터 로거(CR-1000X, CampbellSci, USA)로 측정하였다.
2. 파프리카의 광합성 특성 기공개도 조사
재배 환경 차이에 따른 광합성 반응은 2021년 8월 24일 휴대용 광합성 측정기(Li-6800, Li-Cor Inc., Lincoln, NE, USA)를 이용하여 정단부로부터 5번째 마디에 위치한 상위엽과 정단부로부터 10번째 위치한 중위엽에 대한 CO₂농도에 따른 광합성 속도를 측정하였다. 광합성 측정 설정은 잎 온도 25℃, 상대습도 60%, 유동량 600µmol·s-1, 챔버 내 광합성유효광량자속 밀도는 1,000µmol·m-2·s-1로 고정하였고 CO₂농도는 100, 200, 400, 800, 1,600µmol·mol-1으로 설정하여 측정하였다. 파프리카의 증산량과 기공전도도는 광합성 측정기를 측정한 값을 활용하여 분석하였다. 기공개도는 현미경(Dimis-ME, Siwon Optical Tchnology, Korea)을 이용하여 배율 1200X로 설정해 상위엽과 중위엽을 조사하였다.
3. 파프리카의 생육 및 수량 조사
파프리카 생육조사는 이식 후 7일 간격으로 초장, 엽면적을 파괴 조사하였다. 초장은 지표면으로부터 가장 높이 있는 생장점까지의 길이를 측정하였다. 엽면적은 한 식물체의 줄기에서 엽을 분리하여 엽면적 측정기(Li-3100C Area meter, Li-cor, USA)를 이용하여 측정하였다. 착과 수 조사는 실험 종료 시점에 1회 조사하였다.
4. 통계분석
온실 환경 및 파프리카 생육에 관한 그래프는 시그마플롯 프로그램(Sigmaplot v.14)을 이용해 작성하였고, 각 CO2 농도에 따른 광합성 반응 곡선은 점근선을 가진 자연지수 방정식인 (1) 식을 활용하여 시그마플롯 프로그램(Sigmaplot v.14)을 이용해 회귀 분석하였다(Kim과 Lee, 2001).
[A: 광합성 속도, φ: 초기기울기, I: CO2 농도, Amax: 최대광합성 속도, R: 호흡속도]
결과 및 고찰
1. 온실 재배 환경 분석
반밀폐형온실과 3중 플라스틱온실의 내부 광합성량 유효광량자속밀도(Photosynthetic Photon Flux Density, PPFD)의 일변화(2021년 8월 11일)를 살펴보면 반밀폐형온실의 평균 PPFD는 261.4µmol·m-2·s-1, 플라스틱온실의 평균 PPFD는 112.9µmol·m-2·s-1로 측정되었다. 지열과 팬앤패드를 활용하여 냉방이 가능한 반밀폐형온실의 평균·최대·최소 온도는 24.7, 29.5, 20.8℃로 측정되었고 냉방이 되지 않는 플라스틱온실은 30.4, 39.1, 25.0℃로 측정되었다(Fig. 2). 파프리카 재배 가이드는 착과 후 주간 22-25℃ 야간 18-20℃가 유지되도록 권장하는데, 여름철에 냉방이 가능한 반밀폐형온실의 경우 파프리카 온도 조건을 맞추고 있지만, 냉방이 되지 않는 플라스틱온실의 경우 평균 온도가 30℃를 넘어 고온 스트레스 조건에 노출되는 것을 확인하였다(Lee 등, 2013).
2. 광합성 특성 및 기공개도
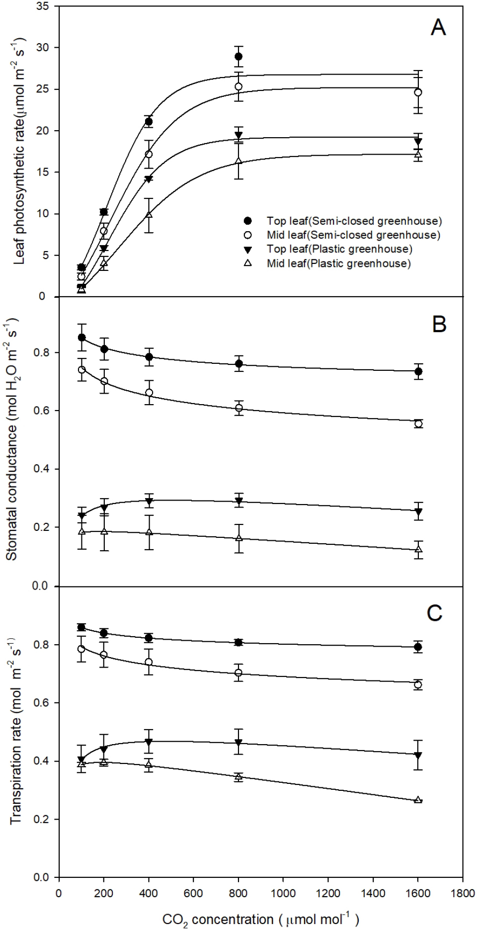
광합성측정기를 이용하여 CO₂농도에 따른 광합성 속도를 측정한 결과 반밀폐형온실의 파프리카는 플라스틱온실의 파프리카보다 유의적으로 높은 광합성 속도를 보여 주었다. 플라스틱온실의 파프리카가 고온 스트레스에 의해 광합성 속도가 느려지는 것을 제시하고 있다. CO2 농도 증가에 따른 기공전도도와 증산량의 차이는 유의적으로 나타나지 않지만, 고온 스트레스에 노출된 파프리카의 경우 기공전도도가 감소하고, 증산량이 유의적으로 줄어드는 것을 확인할 수 있었다(Fig. 3, 4). 냉방이 되는 반밀폐형온실의 파프리카와 고온 스트레스를 받은 파프리카의 광합성 속도 차이는 온실 내 높은 온도로 인해 기공이 닫혀 낮은 기공전도도에 의해 CO2 공급이 늦어져 광합성 속도가 늦어지는 결과로 나타났다(Wong 등, 1979). 두 온실 모두 파프리카 상위엽에서 하위엽으로 갈수록 감소하는 양상을 보였다. 이는 토마토의 엽위별 광합성 특성과 유사함을 보였다(Kim 등, 2013).

Fig. 3
Photochemical efficiency in the semi-closed greenhouse and plastic greenhouse after 17 days of transplanting. A, Photosynthetic rate; B, Stomatal conductance; C, Transpiration rate. ●, the leaf located at the 5th node from the apical part of semi-closed greenhouse plant; ▼, the leaf located at the 5th node from the apical part of plastic greenhouse plant; ○, the leaf located at the 10th node from the apical part of semi-closed greenhouse plant; ▽, the leaf located at the 10th node from the apical part of plastic greenhouse plant. The error bars represent the standard deviation of the mean (n=5).
광합성 속도는 상위엽이 중위엽보다 높은 최대 광합성 속도와 호흡속도를 가지고 플라스틱온실보다 반밀폐형온실이 높은 수치를 가져 작물 생육 적정온도에서의 광합성 효율이 더 좋은 것을 알 수 있다(Table 2).
Table 2.
Photosynthetic rates as per the leaf position after 17 days of transplanting.
| Model | Rx | Amaxw | φv | Ru | |
| Semi-closed | Top leafz | 0.96 | 38.3 | 0.176 | 11.3 |
| Mid leafy | 0.98 | 33.9 | 0.119 | 8.1 | |
| Plastic | Top leaf | 0.98 | 28.2 | 0.113 | 8.6 |
| Mid leaf | 0.99 | 22.9 | 0.062 | 5.0 | |
3. 생육 및 수량 특성
반밀폐형온실과 플라스틱온실의 환경이 파프리카 생육에 미치는 영향을 알아보기 위하여 실험을 수행한 결과, 이식 3주 경과 후 플라스틱온실에서의 초장은 124.4cm, 반밀폐형온실은 137.4cm로 반밀폐형온실이 플라스틱온실보다 11.8% 더 높게 증가하였다(Fig. 5, 6). 이식 후 1주차에는 두 처리구 모두 차이를 보이지 않았으나, 2주 경과 시 반밀폐형온실이 127.8cm로 급격히 증가하였으며, 플라스틱온실은 112.6cm로 15cm 차이가 발생하였다. 환경요인 중 온도는 식물의 생존과 생산량의 중요한 요인으로, 일정 수준보다 높거나 낮으면 저온 또는 고온 스트레스를 받는다고 하였다(Oh 등, 2014). 반밀폐형온실은 지열과 팬앤패드를 활용하여 최고 30℃가 넘지 않도록 관리되었으며, 플라스틱온실은 냉방시스템이 구비되어 있지 않아 플라스틱 온실 내부의 온도가 40℃ 가까이 증가하여 식물체에 스트레스 영향을 받아 생육이 저조한 것으로 판단된다.
엽면적은 이식 후 2주까지는 두 처리구간 차이를 보이지 않다가 3주 경과 시 급격한 차이를 보이기 시작하였다(Fig. 7). 8월 24일 플라스틱온실과 반밀폐형온실의 엽면적은 각각 6,866cm³, 10,125cm³였다. 8월 24일 반밀폐형온실의 엽면적은 플라스틱온실에 비교하여 47% 증가하였다. 엽면적 결정요인은 새로운 잎 발생, 확장기간 및 확장률로 보지만, 엽면적에 일차적으로 영향을 미치는 요인은 온도(Reddy 등, 1993)라는 보고에 맞게 플라스틱 온실 내부의 온도가 높게 유지되어 엽면적이 증가가 둔화된 것으로 사료된다.
여름철 고온기 생육 환경이 파프리카 생산량에 미치는 영향을 구명하기 위해서 실험을 수행한 결과, 이식 3주 후 각 반밀폐형온실의 파프리카 착과 수는 플라스틱온실 4.6개/주, 반밀폐형온실 10.6개/주의 조사 결과가 나왔다(Fig. 8A). 반밀폐형온실이 플라스틱온실에 비하여 130% 높은 착과율을 보였다. 착과는 외부환경의 영향을 크게 받아 적온보다 평균온도를 0.5-1℃ 낮추면 착과에 효과가 있다고 보고된 바 있다(Lee 등, 2013). 생육온도가 한계온도에 가까울수록 생장이 감소하고, 그 한계를 넘으면 고사한다고 하였다(Kratsch와 Wise, 2000). 또한, 엽면적이 증가하면 파프리카 착과가 촉진한다는 보고(Lee 등, 2012)와 본 연구 결과가 유사하여 엽면적 증가에 의한 광합성 효율 증가는 착과에 영향을 미칠 것으로 사료된다. 고추의 경우 생육한계온도까지 온도 증가에 따라 생육이 촉진될 수 있다고 하였으나, 생육한계온도 이상의 고온에서 재배하게 되면 화분발아율이 낮아져 낙과율이 증가할 것이며, 수량감소로 이어진다고 보고하였다(Heo 등, 2013). 실험이 수행된 플라스틱온실은 생육한계온도(35℃)보다 높은 온실에서 재배되어 낙화, 낙과가 진행되어 착과 수가 감소되었을것으로 판단된다.
과중은 반밀폐형온실 566.7g/plant, 플라스틱온실 387g/ plant으로 179.7g/plant의 차이를 보였다. 반밀폐형온실이 플라스틱온실과 비교하여 46% 높은 결과를 나타냈다(Fig. 8B). Son 등, 2015은 온도가 증가했을 때 과실비대가 잘 이루어지지 않아 과폭과 과장이 짧아져 과중의 감소가 나타났을 것으로 판단하였다.









