서 론
농가 현장에서는 기존 온실 대비 폭과 높이가 더 넓고 높은 시설을 요구하는 추세다(Yu 등, 2012, 2013). 즉 5~6m 폭이 주로 사용되었으나 최근 8m 이상의 폭을 원하 는 경우가 많으며 광폭 온실의 경우는 20m를 초과한다.
폭이 넓고 높이가 높은 온실은 긴 강관이 필요하기 때 문에 운반할 때 어려움이 있다. 강관 길이가 11m 이하 인 경우는 25t 이하의 트럭(적재길이 10.2m)으로 운반이 가능하나 15m 이상일 경우 트레일러 차량을 이용해야만 운반이 가능하다. 이와 같이 대형 차량은 농로 폭이 좁 기 때문에 현장까지 강관 운반이 어렵다. 따라서 폭이 넓고 높이가 높은 단동 또는 연동 온실의 지붕을 시공 하려 할 때에는 긴 강관을 절단하여 운반한 후 현장에 서 연결핀 또는 인발한 강관을 사용하여 연결한 강관으 로 온실을 시공하고 있다.
이러한 형태의 강관 이음부는 구조적 취약부로서 온실 의 구조성능에 영향을 미칠 수 있으므로 설계과정에서 안전율 또는 강관이음의 구조적 특성 등을 적용하여 온 실의 성능을 산정할 수 있다. 국내 온실구조설계기준 (MAFRA and RDA, 2014)에 적용된 온실의 구조성능에 대한 연구(Ryu 등, 2009;Yu 등, 2013)에서는 강관의 이 음을 강결(Rigid connection) 조건으로 가정하여 구조적 거동을 해석하고 그 과정에서 안전율을 적용하고 있다. 강관 이음을 강결 조건으로 가정하는 것은 실제의 구조 적 거동을 정밀하게 분석하는데 한계가 있다. 따라서 정 밀한 구조성능 산정을 위해서는 강관 이음 및 이를 적 용한 온실의 구조적 특성 분석이 필요하다.
강관 이음을 비롯하여 온실의 구조성능에 영향을 미칠 수 있는 구조적 요인에 대한 연구는 지속적으로 진행되 고 있다. Ogawa 등(1990)은 강관을 서로 끼워서 연결할 때 이음 길이를 얼마나 해야 하는지를 휨 실험과 이론적 해석을 통해 평가하였고, Nam(2000)은 온실 시공에 많이 사용하는 연결 및 결합부(죔쇠, 연결 핀, 지주 파이프, 연 동 꽂이, T클팸프)에 대한 내력을 평가하였다. 또한 죔쇠 (clamp) 결합부의 세부적인 구조적 성능 평가의 필요성을 제시하고 그 성능이 온실의 구조성능에 미치는 영향을 분석하기 위한 실험적, 해석적 연구가 진행되었다(Choi 등, 2016a, 2016b, 2016c, 2017;Ryu 등, 2012, 2017). 그 러나 현장에서 사용되고 있는 다양한 강관 이음 방법에 대한 구조적 성능 평가 자료는 부족한 실정이다.
본 연구에서는 온실의 구조재인 서까래 및 도리용 강 관을 절단한 후 연결핀을 삽입한 후 직결나사와 펀치 방법으로 고정한 이음부에 대해 4점 굽힘시험 방법으로 휨성능을 평가하였다. 이 결과를 바탕으로 고정방법에 따른 이음부의 역학적 특성을 파악하고 현장 이음 방법 이 절단하지 않은 강관과 동등한 휨성능을 발휘할 수 있는지를 알아보았다. 그리고 최종적으로 가장 휨성능이 좋은 이음 방법을 제안하였다.
재료 및 방법
1. 재료의 특성
실험용 강관의 기계적 성질을 알아보기 위해서 인장시 험을 실시하였다. 인장시험용 강관은 비닐하우스용 도금 강관으로 KS D 3760 규격 인증을 받은 제품이다. 인장 시편(Fig. 1)은 성형에 의한 손상을 최대한 줄이면서 실 험체 중앙 부분을 잘라 냈다. 인장시험은 KS규격에 규 정된 방법 (KS B 0802)을 따라 진행했으며, 항복강도는 0.2% 오프셋 방법으로 구하였다.
측정된 탄성계수(E), 항복강도(Fy), 항복변형률(δy), 인장 강도(Fu), 파단연신율(Re)은 Table 1과 같다. 항복강도 및 인장강도는 비닐하우스 도금 강관(KS D 3760, SPVHS)의 공칭강도 295 MPa, 400 MPa 보다 큰 값을 나타냈으며, 파단연신율도 평균 30%로 기준값 18% 이상을 나타냈다. 3반복 시험한 응력-변형률 선도는 Fig. 2와 같다.
2. 실험체
실험체는 이음이 없는 강관을 포함하여 현장에서 많이 사용되고 있는 방법으로 총 8 종류를 제작하였다. 강관을 절단하지 않은 이음이 없는 실험체(1개), 연결핀을 사용한 실험체(4개), 강관을 인발하여 제작한 실험체(3개)이다. Fig. 3은 실험체 치수 및 모식도를 나타낸 것이다. Fig. 3에서 Fig. 3(a)는 대조구 실험체로 이음이 없는 실험체 (SPJ), Fig. 3(b) ~ (e)은 연결핀 사용 실험체(SPJ-A ~ D), Fig. 3(f) ~ (h)는 인발하여 제작한 실험체이다(SPJE ~ G).
연결핀 및 인발 실험체의 이음새 고정은 직결나사와 펀치 방법으로 하였다. Fig. 4는 직결나사와 펀치를 시 공한 실험체 사진 예를 보여준다. Fig. 4(a)는 연결핀 실 험체 이고, Fig. 4(b)는 인발 실험체이다. 각 실험체의 직결나사 설치와 펀치 작업은 드릴로 직접 설치하였다. 설치간격의 경우, 삽입 길이를 3 등분하는 지점으로 연 결핀 실험체의 직결나사 및 펀치 시공은 21mm, 인발 실험체는 30mm 간격으로 설치하였다.
Table 2는 각 실험체의 치수를 정리한 것이다. 각 실 험체의 길이는 600mm 이며, 직경은 31.8mm, 두께는 1.5mm이다.
3. 실험장치 및 방법
실험체의 휨성능 평가는 4점 굽힘시험 방법으로 실험 을 하였다. 굽힘시험은 양 끝단이 단순 지지되며 2점으 로 하중이 가력되는 방법이다. 실험체에 접하는 가력 지 그와 양단을 지지하는 지그는 국부좌굴 발생을 방지하기 위해 우레탄으로 코팅하였다. 하중을 가력하는 두 가력 지점 간 거리는 258mm이다.
굽힘시험은 총 8종류의 실험체에 대해 2 반복 실험을 하였다. 하중가력은 변위제어 방식이며 가력속도는 10mm·min-1 이다. Fig. 5는 실험장치에 실험체를 설치한 모식도이다.
Fig. 6은 각 실험체별 센서 설치 위치를 나타낸 것이 다. 변위계(DE-500E, TML, JAPAN)는 실험체 처짐을 측정하기 위해 3개소, 액츄에이터 변위를 측정하기 위해 1개소를 설치하였다. 변형률계(FLA-5-11-1L(1-Gauge 4- Wire), TML, JAPAN)는 실험체의 인장 측에 6개소, 압 축 측에 6개소 총 12개소를 설치하였다. 변형률계 부착 위치는 직결나사 설치 위치 및 강관 연결 방법에 따라 다르다. 모든 변위, 변형률 데이터는 수집장치(TMR-720, TML, JAPAN)를 사용해 컴퓨터에 기록하였다.
4. 응력 계산
변형률계는 접합부 부근의 응력 분포를 알아보기 위해 사용했다. 변형률계로부터 측정된 변형률은 식 (1)을 사 용하여 응력으로 변환했다.
| $$\mathrm\sigma=\mathrm E\;\cdot\;\mathrm\varepsilon\;$$ | (1) |
여기서, σ는 응력 (MPa), E는 탄성계수, ε는 변형률계로 부터 얻은 변형률이다. 탄성계수는 인장시험 결과를 참 고하여 200 GPa를 적용했다.
결과 및 고찰
1. 모멘트-회전각
Fig. 7에 실험체의 모멘트-회전각 곡선을 보였다. 그리 고 점선은 이음이 없는 실험체 단면의 소성모멘트(Mp= 공칭항복응력×소성단면계수)를 표시한 것이다. Fig. 7에 서 세로축은 실험체 중앙에서 작용하는 모멘트이고, 가 로축은 단부 회전각으로써 D3 지점에서 측정한 변위를 지지점과 변위 측정 지점 사이의 길이로 나눈 값이다.
모든 실험체는 이음이 없는 실험체 보다 휨성능이 작 게 나타났다. 연결핀 실험체와 인발 실험체를 비교하여 보면, 인발 실험체가 연결핀 실험체보다 휨성능이 컸다. 또한 모든 실험체의 최대 휨모멘트는 이음이 없는 실험 체의 소성모멘트 이상의 내력을 보였다.
거동을 살펴보면, 모든 실험체는 실험설정 변위까지 항복모멘트 점을 특정할 수 없었지만, 인발 실험체는 최 대 휨모멘트에 도달한 후 연성 거동을 보였다.
Table 3은 각 실험체의 굽힘시험 결과를 요약한 것이 다. L1은 실험체를 지지하는 지점 사이의 거리, L2는 하 중을 가력하는 지그(jig) 사이의 거리, Pmax는 실험 최대 변위 40mm내에서 최대 하중, Dmax는 최대하중 일 때의 변위, Mmax는 Pmax로부터 계산된 휨 모멘트, Mmax-ave는 2 반복한 결과의 평균값을 나타낸 것이다.
총 8개의 실험체 굽힘시험 결과, 최대 휨모멘트는 이 음이 없는 실험체가 0.63 kN·m로 가장 컸다. 연결핀 및 인발 실험체 중에서는 SPJ-C가 0.51kN·m, SPJ-G가 0.54kN·m로 가장 큰 값을 보였다. 최대 휨모멘트와 소 성모멘트 값의 비를 보면 인발 실험체가 연결핀 보다 약간 높았으며, 이음이 없는 실험체 1.53kN·m 보다 모 두 작았다.
이음부 연결방법 뿐만 아니라 이음부를 고정하는 펀치 와 직결나사 위치에 따라 휨성능의 차이가 있었다. 연결 핀 및 인발 실험체는 펀치보다 직결나사의 경우가 휨성 능이 컸다. 이러한 실험 결과를 근거하여 강관을 고정하 는 펀치 및 직결나사 연결 방법이 이음부의 휨성능에 영향을 미치는 것으로 보인다.
모든 실험체의 휨성능이 이음이 없는 경우보다는 떨어 지지만 소성모멘트 보다 높은 휨성능을 보이므로 이음부 의 휨성능을 발휘하는데 문제가 없을 것으로 판단된다. 그러나 연결핀과 인발 실험체의 단면이 증가한 만큼 휨 성능이 증가하지 않았다. 그 이유는 이음부의 결속이 느 슨하여 강관에 작용하는 축력이 이음새 접촉면에 골고루 분포되지 않기 때문인 것으로 판단된다. 그러므로 이음 부에 작용하는 축력 평가가 향후 연구로 필요하다.
2. 변형형상
이음이 없는 실험체, 연결핀, 인발 실험체의 실험 후 변형 형상을 Fig. 8에 나타냈다. 이음이 없는 실험체 (SPJ)는 전형적인 휨변형을 보였다. 연결핀 실험체(SPJA ~ C)는 중앙 이음부 연결핀에서 국부좌굴 양상을 보 였으며, 인발 실험체(SPJ-D ~ G)는 인발 하여 삽입한 쪽의 강관에서 국부좌굴이 발생하였다.
3. 응력분포
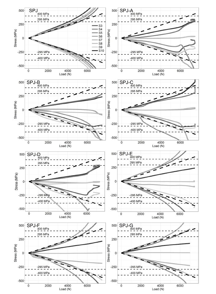
Fig. 9는 각 변형률계 설치 위치에 따른 응력-하중 그 래프를 나타낸 것이다. 홀수는 압축 측(S3, S5, S7, S9), 짝수는 인장 측(S4, S6, S8, S10)이다. 그래프 안에 비 닐하우스 구조용 도금 강관(SPVHS)의 공칭 항복강도와 인장강도를 점선으로 표시하였고, 굵은 점선은 이음이 없는 실험체의 선형 해석 결과를 나타낸 것이다. 가로축 의 하중은 7,500 N 까지만 나타냈다.
이음이 없는 실험체가 항복응력에 도달할 때 까지는 측정한 모든 위치에서 선형적인 거동을 보이며 해석 값 과 유사하게 나타났다. 연결핀과 인발 실험체는 이음이 없는 실험체와 다른 경향을 보였다. 그 이유는 직결나사 설치 위치와 강관 단부에서 하중을 전달하지 못했기 때 문인 것으로 판단된다.
연결핀 실험체에서 이음이 없는 실험체와 비교해 가장 큰 변화가 있는 변형률계 위치는 S6과 S8이다. 이 위치 는 강관의 끝부분으로 응력을 전달하지 못해 거의 ‘0’ 이었다. 그러나 압축 측의 S7과 S9는 연결핀과 강관 단 부가 접촉해 국부 좌굴이 발생하는 지점으로 응력이 상 대적으로 다른 지점보다 컸다.
인발 실험체는 연결핀과 유사하게 인장 측 S8지점의 응력이 거의 ‘0’ 이었다. 또한 응력집중에 의한 국부좌 굴이 발생하는 압축 측의 S5, 인장 측의 S6에서 인발 가공 작업에서 단면의 크기가 변경되어 상대적으로 응력 이 컸다. 이 결과는 Ogawa 등(1990)이 연구한 결과와 유사하였다.














