서 론
사과나무는 대표적인 타가수정작물로, 결실을 시키기 위해서는 주품종과 교배친화성이 높은 수분수를 혼식해야 한다(Dennis, 2003). 그러나 개화기의 이상기온과 농약의 남용에 의해 화분 매개곤충이 감소하거나, 기상 및 재배조건에 의해 수분수의 개화기가 주품종과 서로 일치하지 못하는 경우에는 안정된 결실을 위하여 인공수분을 실시해야 한다(Yim 등, 2015).
인공수분에 의해 화분이 꽃의 주두에 안정적으로 수분되더라도 화분 발아 및 화분관 신장이 순조로워야 결실이 가능한데, 수분된 후에 저온이 닥치면 수분된 화분이 발아되지 않거나 화분관 신장이 불량하여 수정이 되지 않는다(Shin과 Kim, 2004). 사과나무의 경우, 화분관이 자방에 도달할 때까지 소요되는 일수는 15oC에서 2일, 13oC에서 4일, 9oC에서는 8일 정도(Palmer 등, 2003)로, 품종 및 생리조건에 따라 다르지만 평균기온이 낮을수록 화분 발아율이 불량해진다(Dennis, 2003; Wertheim과 Schmidt, 2005).
일반적으로 사과의 화분 발아율은 28~30oC에서 최고점에 도달하며(Petropoulou와 Alston, 1998; Yoder 등, 2009), 40oC에서 48시간 동안 사과의 화분은 생존할 수 있지만(Marcucci 등, 1982), 30oC 이상의 고온이 실제로 과수원에서 개화기에 발생하는 일은 없다(Wertheim과 Schmidt, 2005). 그러나 Kweon 등(2013)은 기상환경 조절이 가능한 라이조트론에 ‘후지’/M.9 사과나무를 재식한 후 만개기에 인공수분을 실시했음에도 불구하고, 만개기 기온이 32oC까지 상승한 시험구들에서 착과가 전혀 되지 않았다고 하였다. 즉, 예전에는 고려하지 않았던 개화기 30oC 이상 고온에 의한 사과나무의 수분, 수정 불량이 최근 지구온난화에 의해 문제가 될 수 있다.
한편, 우리나라에서는 병해충 방제 및 과실품질 향상을 목적으로 만개기 전후로 살균제, 적과제, 과실 비대제인 gibberellic acid4+7+benzyladenine(GA4+7+BA)과 수세조절용으로 지베렐린 생합성 억제제인 prohexadionecalcium(Pro-Ca)을 살포하고 있는데(Byun 등, 1999; Paek과 Cheong, 1977; Sagong 등, 2014; Yoo 등, 2016), 이러한 약제들의 효과는 품종의 감수성 및 살포 전후의 기상조건에 따라 큰 차이를 보인다(Yoder 등, 2009). 그러나 국내에서는 아직까지 국내 육성 사과품종들의 온도별 화분 발아율에 대한 연구가 없을 뿐 아니라 이러한 약제처리가 기온별로 사과의 화분 발아에 어떠한 영향을 미치는 지에 대해 연구한 바가 없다.
따라서 본 시험은 개화기 고온에 의한 사과나무의 수분, 수정 불량 문제를 극복할 수 있는 기초자료를 마련하고자, 국내 육성 사과품종들을 대상으로 기온 및 생장조절제가 화분 발아율 및 화분관 신장에 미치는 영향을 조사하였다.
재료 및 방법
1. 시험재료 및 장소
본 시험은 경북 군위군 소보면 소재 국립원예특작과학원 사과연구소에서 M.26을 대목으로 한 ‘후지’, ‘쓰가루’ 및 국내에서 육성된 9품종(‘추광’, ‘감홍’, ‘홍안’, ‘홍금’, ‘홍로’, ‘홍소’, ‘화홍’, ‘섬머드림’, ‘선홍’)의 성목을 조사대상으로 하여 2년(2009~2010년) 동안 실시하였다.
시험용 화분은 매년 품종별로 풍선기에 도달한 액화를 채집하여, 꽃봉오리로부터 약을 이탈시킨 뒤, 대형 petridish에 유산지를 깔고 약을 올려놓은 후 뚜껑을 반쯤 연 상태로 25oC의 생장상(VS-3DM, Vision, Korea)에서 24시간 동안 개약시켰다. 개약된 화분들은 270mesh의 체에 올려 아세톤을 부어주면서 정제한 후, 실리카겔을 넣은 유산지와 함께 화분병에 담아 -20oC 저온냉장고에 보관하였다.
화분 배양용 배지는 증류수에 sucrose 10%와 75mg/L boric acid를 완전히 용해시키고 pH를 7.0로 조정한 뒤, 여기에 1%의 agar를 첨가하여 1.06kg/cm2의 고압과 121oC의 고온으로 조절된 가압멸균기에서 15분 가열시켜 만든 배양액을 지름 5cm petri-dish에 15mL씩 분주한 후 상온에서 2시간 동안 응고시켜 만들었다.
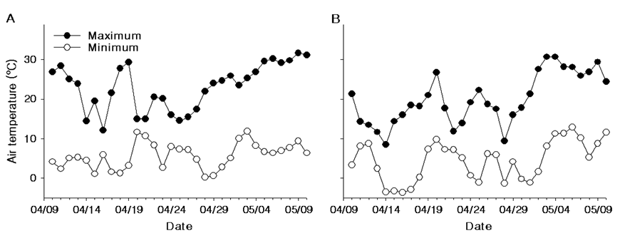
화분 채취 전후 군위지역 기상자료는 기상청에서 사과 연구소 시험포장 안에 설치한 자동 기상관측기(경상북도 군위군 소보면 위성리 소재)에서 수집된 자료들을 이용하였으며, 그 결과는 Fig. 1과 같다.
2. 온도에 따른 국내 사과 육성 품종별 화분 발아율 및 화분관 신장
본 조사는 2년 모두 당해 채취한 화분을 이용하여 실시하였다. 저온 저장된 품종별 화분을 이쑤시개 끝에 묻혀 각각의 petri-dish 배지 위에서 고르게 이쑤시개를 튕기면서 화분을 치상한 후, 생장상에 배치하였다. 생장상의 온도는 6수준(15, 20, 25, 30, 35, 40oC)으로 구분하였고, 온도별 처리시간은 12시간, 상대습도는 60%로 조절하였다. 온도별 품종의 반복수는 petri-dish 1개를 1반복으로 한 3반복으로, 품종별로 총 18반복이었다.
화분의 발아율과 화분관 신장 길이는 멀티미디어 영상 현미경(Aramo-MS, aram HUVIS, Korea)을 이용하여 petri-dish 개별로 3부분을 관찰한 후, 발아된 화분 수가 가장 많은 부분을 촬영하였다. 화분 발아율은 petri-dish별 촬영된 디지털 이미지 상 전체 화분수에 대한 발아한 화분수로, 화분 발아 판정은 화분 직경보다 화분관의 길이가 1.0~1.5배 이상 신장하였을 때 발아한 것으로 간주하였다. 화분관의 신장 길이는 멀티미디어 영상현미경 내 내장된 digital micro image 측정 프로그램으로 디지털 이미지 상 발아된 화분들의 길이를 모두 측정하여 평균하였다.
3. 온도 및 생장조절제에 따른 품종별 화분 발아율 및 화분관 신장
본 조사는 2010년에 채취한 품종 중 ‘후지’, ‘홍로’, ‘쓰가루’ 화분을 대상으로 실시하였다. 처리방법은 앞선 국내 품종별 화분 발아율 조사와 동일한 방법으로 품종별 화분을 petri-dish에 치상한 뒤, 핸드 스프레이를 이용하여 GA4+7+BA와 Pro-Ca을 제조사 및 판매회사에서 지침 하는 권장농도(GA4+7+BA: 18mg·L-1, Pro-Ca: 125mg·L-1) 로 살포하였다(Byun 등, 1999; Sagong 등, 2014). 생장조절제를 살포한 petri-dish들의 반복수, 처리 및 조사 방법은 앞선 국내 품종별 화분 발아율 조사와 동일하게 하였고, 대조구로는 앞서 조사된 2010년 ‘후지’, ‘홍로’, ‘쓰가루’의 온도별 화분 발아율 및 화분관 신장 길이를 두었다.
결과 및 고찰
1. 온도에 따른 국내 사과 육성 품종별 화분 발아율 및 화분관 신장
2009년의 품종별 화분 발아율은 ‘선홍’과 ‘쓰가루’가 가장 높았고, ‘추광’이 가장 낮았다. 온도별로는 ‘선홍’ 및 ‘쓰가루’의 경우 20oC, 나머지 품종은 25oC까지 높아지다가 30oC부터 낮아지기 시작하였는데, 40oC에서는 화분이 발아하지 않았다(Table 1 and Fig. 2). 2009년 품종별 화분관 신장 길이는 ‘후지'가 가장 길었고, ‘쓰가루'가 가장 짧았다. 온도별로는 모든 품종이 25oC에서 가장 길었으며, 30oC부터 짧아지기 시작하였는데, 30oC의 화분관 신장 길이는 25oC의 절반 수준이었고, 35oC는 25oC의 1/10 수준이었다(Table 2 and Fig. 2).
Table 1.
Pollen germination at various temperature of some apple cultivars bred in Korea in 2009.
Table 2.
Pollen tube growth at various temperature of some apple cultivars bred in Korea in 2009.
2010년의 품종별 화분 발아율은 ‘후지’가 가장 높았고, 온도별 화분 발아율은 모든 품종이 25oC에서 최고점에 도달한 후 낮아지기 시작하였다(Table 3). 2010년 품종별 화분관 신장 길이는 ‘홍소’와 ‘선홍’이 가장 길었고, ‘홍금’이 가장 짧았다. 온도별 화분관 신장 길이는 ‘감홍’과 ‘홍소’의 경우 20oC, ‘홍안’은 30oC에서 가장 높았고, 나머지 품종은 25oC에서 최고점에 도달한 후 30oC부터 낮아지기 시작하였다(Table 4).
Table 3.
Pollen germination at various temperature of some apple cultivars bred in Korea in 2010.
Table 4.
Pollen tube growth at various temperature of some apple cultivars bred in Korea in 2010.
인공배지 상태에서 30%의 화분 발아율을 보인 화분은 포장에서 20~40%의 결실률을 보이므로, 일반적으로 인공 배지 상에서 30% 이상의 발아율을 보이는 화분이라면 정상적인 결실률을 확보할 수 있을 것이라고 한다(Cheon 등, 1999). 본 시험에서 시험품종들의 평균 화분 발아율은 19~40% 정도였고, 25oC에서 40~60% 정도(Tables 1 and 3)로 비교적 높은 화분 발아율을 보였으나, 2010년의 품종별 평균 화분 발아율 및 화분관 신장 길이가 2009년의 절반 수준이었다(Tables 1, 2, 3 and 4). 이는 2009년의 경우 화분 채취(4월 20일부터 4월 22일까지) 전 최저기온이 0oC 이하로 내려간 적이 없지만(Fig. 1a), 2010년에는 화분 채취(4월 28일부터 4월 30일까지) 1~2일 전에 최저기온이 -1.3oC까지 떨어졌기 때문으로 추정되었는데(Fig. 1B), Palmer 등(2003) 및 Seo와 Noh(2010)는 사과나무의 화기발육 초기단계에 -2 ~-5oC의 저온이 발생하면 암술과 수술의 발육이 저해되거나 혹은 갈변되어, 수분, 수정이 저하된다고 하였다.
사과의 화분 발아율 및 화분관 신장률(pollen tube growth rate)의 최적온도는 품종에 따라 다르지만 29oC까지 기온이 올라갈수록 증가하는 것으로 알려져 있다(Petropoulou와 Alston, 1998; Yoder 등, 2009). 본 시험품종의 화분 발아율 및 화분관 신장 길이는 대부분 25oC에 최고치에 도달한 후 30oC부터 감소하기 시작하였고, 40oC에서는 화분들이 발아하지 못하였는데(Tables 1, 2, 3 and 4), 이는 40oC에서 48시간 동안 사과의 화분은 생존하여 발아한다는 보고(Marcucci 등, 1982)와 달랐다. 본 시험에서 앞선 보고(Marcucci 등, 1982)와 달리 40oC에서 화분들이 발아를 하지 못하였던 것(Tables 1 and 3)은 저온에 저장한 화분을 22~25oC 조건에서 젖은 filter paper에 치상하거나 혹은 상대습도가 95% 정도로 높은 곳에서 2시간 정도 수화(hydration)시킨 후 인공배지에 치상하면 화분 발아율이 높아지지만, 수화된 화분을 다시 온도 및 상대습도가 각각 25oC, 60% 정도인 곳에서 1시간 건조시키면 화분 발아율이 크게 감소된다는 보고(Hopping과 Jerram, 1980; Hopping 과 Simpson, 1982) 및 글루타티온(glutathione) 효소는 화분발아에 긍정적인 영향을 미치는데(Zechmann 등, 2011), 사과 잎을 40oC 조건에서 2시간 이상 경과시키면 잎 내 글루타티온 함량이 28oC의 잎보다 감소되었다는 보고(Ma 등, 2008)를 미루어 보아, 본 시험은 수화과정 없이 화분이 치상된 petri-dish를 바로 온도 및 상대습도가 각각 40oC, 60%인 생장상에 배치하였기 때문이거나 혹은 40oC의 고온에 의해 화분 발아에 관여하는 효소의 발생이 억제되었기 때문으로 추정되었다.
한편, 국내 ‘후지’, ‘홍로’, ‘쓰가루’ 품종의 재배면적은 전체 사과 재배면적의 81%를 점유하고 있다(Shin과 Kim, 2010). 본 시험품종 중 ‘후지’와 교배친화성이 없는 품종은 ‘감홍’ 밖에 없고, ‘홍로’에서는 ‘홍안’과 ‘홍소’가, ‘쓰가루’는 ‘홍금’이 교배친화성이 없는 것으로 알려져 있는데(Heo 등, 2011; Lee 등, 2013), 본 시험에서 30~35oC에서 화분 발아율이 높았던 품종은 ‘후지’, ‘선홍’ 및 ‘쓰가루’였다(Tables 1 and 3). 즉, 만개기에 30~35oC의 고온이 발생할 경우 ‘후지’를 안정되게 결실시킬 수 있는 인공수분용 화분은 ‘선홍’과 ‘쓰가루’였고, ‘홍로’의 경우 ‘후지’, ‘선홍’ 및 ‘쓰가루’였으며, ‘쓰가루’는 ‘후지’ 와 ‘선홍’으로, 현재 국내 사과재배면적 여건상 만개기에 30~35oC의 고온이 발생할 경우, ‘선홍’을 인공수분용 화분으로 사용하는 것이 적합한 것으로 판단되었다.
2. 온도별 생장조절제 처리에 따른 국내 사과 주요품종의 화분 발아율 및 화분관 신장
‘후지’에서 생장조절제(GA4+7+BA, Pro-Ca) 처리구들의 온도별 화분 발아율은 무처리구와 차이가 없었지만, ‘홍로’에서는 20oC와 35oC에서 GA4+7+BA 처리구가 무처리구보다 유의하게 높았고, Pro-Ca 처리구는 35oC에서만 무처리구보다 유의하게 높았다. ‘쓰가루’에서는 30oC에서만 GA4+7+BA 처리구가 무처리구보다 높았고, Pro-Ca 처리구는 무처리구와 차이가 없었다(Table 5 and Fig. 3).
Table 5.
germination of different apple cultivar according to various temperature and bio-regulator in 2010.
‘후지’에서 생장조절제 처리구들의 온도별 화분관 신장길이는 무처리구와 차이가 없었지만, ‘홍로’에서는 30oC에서 GA4+7+BA 처리구가 무처리구보다 유의하게 길었으며, Pro-Ca 처리구는 무처리구와 차이가 없었다. ‘쓰가루’에서는 20oC에서만 GA4+7+BA 처리구가 무처리구보다 길었고, Pro-Ca 처리구는 35oC에서만 무처리구보다 짧았다(Table 6).
Table 6.
Pollen tube growth of different apple cultivar according to various temperature and bio-regulator in 2010.
일반적으로 지베렐린과 사이토키닌은 화분의 발아율 및 화분관 신장을 증진시켜 결실률을 증진시키는 것으로 알려져 있다(Maita와 Sotomayor, 2015). 본 시험에서는 품종 및 처리온도에 따라 경향이 일정하지 않았지만 GA4+7+BA 처리구의 화분 발아율 및 화분관 신장 길이는 무처리구보다 높았고, Pro-Ca 처리구는 무처리구와 차이가 거의 없었다(Tables 5 and 6). 이는 인공수분 후 GA4+7+BA를 사과나무에 살포하면 과실 내 종자수가 증진된다는 보고(Park 등, 1998)와 비슷하였으나, Pro-Ca 처리구의 사과 착과율이 무처리구보다 높았다는 보고 (Greene, 1999) 및 지베렐린 함량이 높을수록 화분의 발아율 및 화분관 신장률이 증가된다는 보고(Maita와 Sotomayor, 2015)와 달랐다. 본 시험에서 Pro-Ca 처리구의 화분 발아율 및 화분관 신장 길이가 무처리구와 차이가 거의 없었던 것(Tables 5 and 6)은 본 시험에서 유의차는 인정되지 않았으나 35oC에서 Pro-Ca 처리구들의 발아율이 무처리구보다 2배 이상 높았던 결과(Table 5 and Fig. 3) 및 화분을 발아시키기 전 화분을 수화(hydration)시키면 발아율이 증진된다는 보고(Hopping과 Jerram, 1980; Hopping과 Simpson, 1982)를 미루어 보아, Pro-Ca에 의한 화분 내 GA 함량 감소 효과가 온도처리 전 Pro-Ca 수용액 미세살포에 의한 수화(hydration) 작용에 의해 없어졌기 때문으로 추정되었으므로, 향후 화분발아 전 화분의 증류수 수화처리(미세살포)가 화분발아 및 착과에 긍정적인 영향을 주는지에 대해 연구할 필요가 있다고 판단되었다.
이상의 결과를 종합해보면, 화창한 날에 채취한 국내 사과 품종들의 화분들은 30oC까지 30% 이상의 화분 발아율을 보였으나, 기온이 35oC 이상이 되면 화분 발아율이 10% 미만으로 떨어지기 때문에 30oC 이상으로 온도가 높아지는 날에는 인공수분을 하지 않는 것이 좋을 것으로 판단되었다(Table 1). 그러나 부득이 하게 30oC 이상의 고온기에 인공수분을 하게 될 경우에는 30~35oC에서 비교적 높은 화분 발아율을 보이면서(Tables 1 and 3), 국내 주요품종과 교배친화성이 높은 ‘선홍’으로 인공수분을 한 후(Heo 등, 2011), GA4+7+BA를 표준농도로 살포하는 것이 좋을 것으로 판단되었다(Tables 5 and 6). 한편, 본 시험의 모든 사과품종들이 40oC 조건에서 화분발아를 하지 않았던 것(Tables 1 and 3)은 수화(hydration) 과정이 있었던 생장조절제 처리구들의 화분이 40oC에서 발아하지 못했던 결과(Table 5)를 미루어 보아, 40oC의 고온이 화분 발아에 관여하는 효소의 발생을 억제하였기 때문으로 생각되었다(Ma 등, 2008; Zechmann 등, 2011).





