서 론
물냉이(Nasturtium officinale R. Br.)는 십자화과에 속 하는 다년생 수생 초본식물로 맑고 차가운 물가에서 자 라며 유럽, 미국 그리고 아시아에 걸쳐 널리 분포한다 (Cruz 등, 2008). 우리나라의 물냉이는 유럽 원산의 귀화 식물로 ‘워터크레스(watercress)’로 불리지만 유럽에서는 프랑스명인 ‘크레숑(cresson)’으로 더 잘 알려진 향신 채 소이다. 2014년 미국 질병예방통제센터(Centers for disease control and prevent, CDC)에서 칼로리당 영양밀도가 가 장 높은 작물로 물냉이가 선정(Di Noia, 2014)되면서 사 람들의 관심이 높아지게 되었다. 물냉이는 자연하천이나 온실수경재배로 생산되며 일반적으로 샐러드용 채소로 섭취하며(Manion 등, 2014), 물냉이는 비타민 C, B, E 뿐만 아니라 Ca, P, K, Fe, Mg, Zn, Se, β-carotene같은 많은 미네랄과 glucosinolates를 포함한다(Zahradníková 와 Petříková, 2013). 식물에 함유된 glucosinolates는 풍 미에 기여하고 항암제로서의 기능을 가지고 있으며 (Mithen, 2001), 특히 배추과 작물은 섬유질, 비타민 또 는 미네랄이 풍부하지만, 많은 연구들은 glucosinolates를 포함하는 2차 대사산물의 함량에 집중되어 있다 (Björkman 등, 2011). 인체 역학 연구에 의하면 glucosionlates를 함유한 채소 섭취는 일부 암발병율 감 소와 연관이 있다는 사실이 밝혀졌으며(Cohen 등, 2000;Steinbrecher와 Linseisen, 2009;Traka와 Mithen, 2009;Verkerk 등, 2009), Steinbrecher 등(2009)은 유방암진단- 하이델베르그 코호트 연구의 일환으로 glucosinolates의 섭취량과 전립선 암 위험 사이의 역 상관 관계를 보고 하였다. 특히 물냉이는 유익한 산화방지제인 2-phenethyl isothiocyanate (PEITC)를 많이 함유하는 것으로 알려져 있으며, PEITC는 특정 발암물질에 대한 신체의 저항능 력을 증가시키는 것으로 보고되었다(Palaniswamy 등, 1997;Syed Alwi 등, 2010).
식물은 양수분과 대기환경에 지배되어 생장한다. 식물 의 영양분은 그 농도의 낮고 높음에 따라서 영양생장 및 생식생장으로 발달 및 전환 등에 관여하고 임계농도 이하가 되었을 경우 결핍증상을 보이기도 한다. 양액내 의 무기이온을 직접 제어하는 것이 가장 이상적이지만 현실적으로 양액의 이온농도 전체를 측정하여 이용하고 있다(Ahn과 Son, 2011). 작물의 무기이온 흡수는 기상조 건, 생육단계, 양액의 pH 등에 의해서 이온간 흡수비율 이 달라지므로(Choi 등, 2008), 주기적인 양액의 교체, 배액율 조절, 원수의 희석비율(Ann과 Son, 2011) 등을 통한 이온 불균형 완화 연구가 수행되었으나 근본적인 문제는 해결할 수 없다. 이러한 이유 등으로 수경재배 또는 식물공장에서 재배하기 위해서 새롭게 도입하려는 작물의 경우, 생육의 안정적인 유지를 위해서 배양액의 선정 및 공급은 필수적이라고 할 수 있다.
최근 10년 동안, 식물의 광합성, 형태형성, 이차대사산 물의 축적에 대한 광질의 연구는 다양한 식물을 대상으 로 이루어져 왔다. 발광다이오드는 가격대비 우수한 성 능, 상대적으로 높은 에너지 환산 계수, 다양한 스펙트 럼, 비교적 낮은 표면 온도, 긴 수명 등 많은 장점을 가 지고 있으며(Kozai 등, 2006), 특히, LEDs 광원은 방사 파장의 선택과 조절을 통하여 조사 광에 대한 식물의 반응 연구를 가능하게 하였다(Gerke 등, 2014). 식물에 조사되는 광질은 다른 광수용체의 선택적인 활성화를 통 해 식물의 생장과 발달에 영향을 미치는 것으로 알려져 있다(Schuerger 등, 1997). 특히 잎 세포의 엽록소 a와 b 는 적색(600-700nm)과 청색(400-500nm) 파장의 빛을 효 과적으로 흡수하기 때문에 적색과 청색광은 식물의 생장 및 발달에 필수적인 역할을 한다(Hopkins와 Huner, 2004). 적색 LED는 생체중, 건물중, 초장, 엽면적과 같 은 식물 생물체량 증가를 촉진시키는데 효과적이며 (Johkan 등, 2010), 청색 LED는 식물 생장에 직접적인 영향 보다 엽록소 형성과 발달을 유도하는 것으로 보고 되었다(Senger, 1982). 녹색광은 적색과 청색 혼합광에 보광으로 이용할 경우 상추의 생육을 촉진시켰다는 보고 (Kim 등, 2004), 또는 식물 생장, 특히 광 형태 형성 및 광합성에 유용하지 않다고 보고 되기도 하였다 (Johkan 등, 2010). 이와 같이, 식물은 조사된 광환경에 따라서 생장과 발달을 촉진 시키거나, 이차대사산물의 증감에 직접적인 영향을 받는 것으로 알려져 있다. 본 연구는 수경재배에 이용되는 배양액의 종류와 LED를 이용한 혼 합광 조건이 물냉이의 생장과 glucosinolates 함량에 미치 는 영향에 대해서 살펴보고자 본 연구를 수행하였다.
재료 및 방법
1. 식물 재료
물냉이 종자(Nasturtium officinale)는 아시아 종묘사 (Asia seed Co. Ltd. Korea) 로부터 구매하여 포수된 240공 암면파종판(Kiemplug standard tray, Grodan, Denmark)에 파종하였다. 파종된 종자는 광발아 후 자엽 이 전개되었을 때, Hoagland 배양액(Arnon과 Hoagland, 1952) 조성의 양액(5L, EC 0.6dS·m-1)을 컨테이너에 채 우고 10초 씩 침지하는 저면관수 방식으로 1일 1회 관 수하여 2주간 육묘하였다. 육묘실은 주간온도 22±1°C 야간온도 18±1°C, 습도는 50-70%, 형광등(T5-14W FHF14ST EX-D, Sigmalamp Co. Ltd., Korea)을 이용하여 170±5μmol· m-2· s-1 광합성 광량자속밀도(Photosynthetic Photon Flux Density: PPFD)로 설정하여 관리되었다. 파 종 후 2주 된 유묘들은 스티로폼 정식판에서 분리하여 스펀지를 이용하여 근권을 감싼 후, 직경 50mm 검정색 포트에 넣고 semi-DFT 시스템의 폴리카보네이트 정식판 에 120mm의 주간간격으로 처리당 20주씩 정식하였다.
2. 재배 시스템
환경조절룸[6m(길이) × 2.5m(폭) × 4.5m(높이)]은 semi-DFT (Deep Flow Technique; 양액높이 50mm) 방 식, 재배베드[1,200mm(길이) × 800mm(폭) × 100mm(높 이)]를 3단, 각 단의 높이는 600mm로 구성한 재배모듈 2개는 LED 모듈로, 1개는 형광등 모듈로 설정하여 총 9 개의 독립재배베드 시스템에서 실험을 수행하였다. 환경 조절룸의 온도는 히트펌프(CSV-Q115UI, CLK Co. Ltd., Korea)와 냉동기(Unit Cooler BSU-030E, Sungjin Industrial Co, Ltd., Korea)를 이용하여 제어되었으며 주 간온도 20±1°C, 야간온도 16±1°C범위로 조절되었다. 상 대습도는 낮 동안에 가습기(HU-4200C, Ohsungsa Co. Ltd., Korea)를 이용하여 65±10%, 야간에는 가습을 중지 하여 75±10% 범위로 조절되었다. 실내에 설치된 배기팬 을 이용하여 낮동안 외부와 공기를 교환하여 CO2 농도 를 유지하였으며 광주기는 16/8h(주간/야간)로 설정하였 다. 광도는 유묘의 군락 높이에서 광 균일도를 유지하기 위해서 0.3mm의 종이테이프를 형광등 반사판에 부착시 켜 재배배드의 중앙을 중심으로 180±10μmol· m-2· s-1 PPFD 조건으로 조절하였다. 휴대용 온습도 센서(testo- 174H, Testo Co. Ltd., Germany) 3개를 이용하여 각 재 배 모듈의 중간 재배베드의 온습도를 모니터링 하였다. 각 모듈은 독립적인 양액탱크를 두어 양액을 공급할 수 있도록 구성되었으며 재배 모듈 하단에 100L 크기의 양 액탱크를 설치하였으며 수중펌프(PD-G050M, WILO Co. Ltd., Germany)를 24시간 순환시켰다. 배양액의 EC 는 각 조성의 표준배양액으로 1.0~1.3±0.1dS·m-1, pH는 6.2±0.1으로 조정하여 공급하였고 초기에 처리된 양액은 3주동안 교체하지 않았으며 양액의 EC와 pH를 2일 간 격으로 재배기간인 3주 동안 측정하였다.
3. 배양액 종류 및 LED 광원
배양액의 종류에 따른 물냉이 생육과 glucosinolates 함량 변화를 살펴보기 위하여 오오츠카 하우스 1A액 (OTS: Otsuka House 1A), 한국원시(HES: Horticultural Experiment Station in Korea), 화란 온실작물연구소 (PBG: Netherland’s Proefstaion voor Bloemisterij en Gasgroente) 배양액을 이용하였다(Table 1). 광질 처리에 따른 물냉이 생육 및 glucosinolates 함량 변화를 보기 위해 LED를 이용하여 6가지 광질 처리를 설계하였다. 첨두 파장이 각각 적색 (R : 660nm), 청색 (B: 450nm), 녹색 (G: 540nm), 백색 (W: 연속광) (SungGwang LED Co. Ltd., Korea)인 발광 다이오드를 사용하였으며 각 광원의 비율 조합은 파장별 PPFD를 기준으로 W10(white 10), R10 (R:B:G = 10:0:0), R5B1 (R:B:G = 5:1:0), R3B1 (R:B:G = 3:1:0), R2B1G1 (R:B:G = 2:1:1), W2B1G1 (W:B:G = 2:1:1)을 설정하였다. 각 LED 광원은 Dimming 스위치를 이용하여 각 파장별 광 도를 조절하였다. 모든 처리는 광량자 센서(LI-190, LICOR, Lincolin, NE, USA)를 이용하여 재배바닥 30mm 위에서 광강도 180±10μmol· m-2· s-1 로 맞추었으며 각각의 광처리에 대한 스펙트럼 분포는 분광측정기(LI-1800; Li- Cor, Lincoln, NE, USA)를 사용하여 측정하였다. 광주기 16/8 h로 설정하여 3주간 재배하였다.
4. Glucosinolate 분석
물냉이의 glucosinolates 함량은 HPLC (High Performance Liquid Chromatogram)를 이용하여 분석하 였다. 정식 3주 후 물냉이 지상부를 Freeze-drying (TFD5503, IlSinBioBase, Korea)를 이용하여 동결 건조 후 막자사발로 분말화 하였다. 2.0mL eppendort-tube에 분말시 료 100mg 씩 평량하여 70% (v/v) boiling menthanol (1.5mL)을 넣었다. 진동혼합(vortex) 처리 후 항온수조 (water bath) 70°C에서 5분 동안 넣어 조(crude) GSLs를 추 출한다. 원심분리(12,000 rpm, 10 min, 4°C)한 후에 상층액 을 추출하였다. 동일한 과정을 2회 반복 추출 후, 각 상층 액을 합쳤다. Mini-column 충진용 DEAE-Sephadex A- 25(30g)는 초순수에 녹여 분액여두에 넣은 후 약 1.5배(v/ v)의 초순수를 넣고 빠져나가면 0.5M sodium acetate (68g·L-1)를 넣어 H+형태로 활성화 시켰다. Mini-column은 1mL pipette tip 끝을 탈지면으로 막고 DEAE-Sephadex A- 25 (50mg dry wt.)를 기포가 발생하지 않게 주의하면서 pasteur pipette으로 조금씩 넣어 만들었다. GSL 조 추출물 (crude extract)을 pasteur pipette으로 mini-column에 로딩 한다. 추출물이 모두 빠져나가면, 초순수 2mL를 넣었다. 초순수가 다 빠져나가면, mini-column 아래 부분을 paraffin film으로 막은 후 aryl sulfatase solution (23mg·mL-1) 75μL 을 수평으로 로딩하였다. Paraffin film으로 mini-column 위 부분을 막고, 충분한 효소반응을 위하여 16시간 동안 상온 에서 정치하였다. 정치 후, 2.0mL eppendorf-tube에 초순수 를 0.5mL씩 3회 흘려서 desulfo-GSLs를 용출하였다. 용출 시킨 시료는 0.45μm hydrophilic PTFE millipore filter (직 경 13mm)로 여과한 후, HPLC용 vial병에 넣어 냉장 보관 하였다. HPLC에 의한 glucosinolates 분석은 inertsil ODS-3 column (150 × 3.0mm i.d., particle size 3μm)을 장착한 Agilent Technologies 1200 series HPLC systems으로 분석 하였다(Rapeseed I, 1992).
5. 생육측정 및 통계분석
수확 후 물냉이의 초장, 엽장, 엽폭, 근장, 지상부와 지하부의 생체중을 디지털 버니어캘리퍼스(SD500- 300PRO, ShinCon Co. Ltd., Korea)와 전자저울(MW- 2N, CAS Co. Ltd., Korea)을 이용하여 측정하였으며 생 육 측정 후 물냉이는 70°C로 설정한 건조기(HB-501M, Hanbaek Scientific Co. Ltd., Korea)에 1주일간 보관 후 건물중을 측정하였다. glucosinolate 성분 분석을 위해서 각처리당 3주를 분석하였다. 본 실험은 완전임의 배치법 으로 2반복 수행되었다. 식물 생육분석을 위한 모든 처 리구는 반복 당 5개체를 측정하였으며, 통계분석은 SPSS 통계분석 프로그램(ver. 21)을 이용하였다. 평균간 의 유의성 검증을 위하여 Tukey’s 다중 분산분석을 P≤0.05 조건으로 분석하였다.
결과 및 고찰
1. 배양액에 따른 물냉이의 생육 및 glucosinolates 함량
재배기간 동안 배양액의 EC는 초기 설정농도값에서 크게 변하지 않았으나 pH는 6.2~7.2의 범위내에서 시간 의 경과에 따라 서서히 증가하는 경향을 나타내었으며 (Fig. 1), 실험 기간동안 환경조절실의 온도와 습도는 설 정값에 근사하게 유지 관리되었다(Fig. 2). 재배기간이 끝난 후 수확한 물냉이와 LED 재배장치, 광 처리별 스 펙트럼은 Fig. 3과 같다.
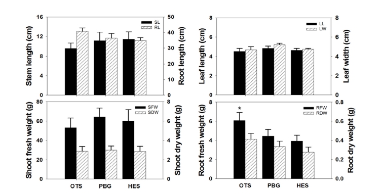
배양액의 조건을 달리하여 3주간 수경재배한 물냉이의 초장과 근장, 엽장과 엽폭은 양액종류에 관계없이 유의 적인 차이를 보이지 않았다(Fig. 4). PBG와 HES 배양액 처리조건에서 지상부 생체중은 OTS 배양액 조건과 비 교하여 20.7%와 13.0% 증가하였으나 유의적인 차이는 보이지 않았으며, 건물중의 경우 PBG 배양액은 OTS 배 양액 처리보다 4% 증가하는 것으로 나타났다(Fig. 4). 그러나 PBG와 OTS 배양액 처리에서 뿌리의 생체중은 HES 배양액 처리와 비교하여 13.7%와 55.1% 증가하였 으며, 뿌리 건물중의 경우 21.4%와 49.3% 증가하였으며, OTS 처리의 뿌리 생체중은 다른 두 처리구와 비교하여 유의적으로 높은 값을 나타내었다(Fig. 4). 이러한 결과 는 꿀풀과 식물인 배초향을 여러가지 배양액으로 수경재 배할 경우, 배양액의 EC값이 약간 높았던 오오츠카하우 스 1A액 처리가 유럽채소연구소 배양액과 한국원시 배 양액 보다 유의적으로 높은 뿌리의 생체중과 건물중 증 가를 유도한 결과와 유사하였다(Kim 등, 2017). 재배기 간 중의 EC 농도는 크게 변화하지 않았으나, 각 이온간 의 균형은 변화될 것으로 예측된다. 이에, Ahn과 Son(2011)은 배양액의 지속적 사용에 따른 이온의 불균 형을 파악하기 위해 양이온과 음이온들의 비율 변화를 파악한 결과 양이온의 경우는 Ca2+와 K+ 이온을 중심으 로 분포하고, 음이온의 경우 SO42-와 PO4 3-의 비율 변화 를 중심으로 분포한다고 보고하였다. 또한 각 이온의 EC에 가장 큰 영향을 미치는 1가 이온인 K+과 NO3- 이 온은 이온 활동도 계수가 0.8-0.9정도 이며, 다음으로 영 향을 미치는 2가 이온인 Ca2+, SO42-, Mg2+ 이온은 이온 활동도 계수가 0.5-0.6 수준으로 보고하였다(Son, 1998). 배양액 종류에 따른 물냉이 지상부 생육은 유의적 차이 가 없었지만, OTS 배양액 처리구에서 지하부의 생육이 유의적으로 증가한 것은 EC 농도가 0.1-0.3 dS·m-1 증가 한 조건이 지하부 생육의 증가에 유의적인 영향을 준것 으로 판단된다.

Fig. 4
Stem length, root length, leaf length and width, shoot and root fresh weights, and shoot and root dry weights of Nasturtium officinale grown under the different nutrient solution, Otsuka House 1A (OTS), Netherland’s Proefstaion voor Bloemisterij en Gasgroente (PBG), Horticultural Experimental station in Korea (HES) with 180 mmol·m-2· s-1 PPFD irradiated by fluorescents lamps for 3 weeks. Data represent means and standard deviation (n=5). For mean separation Turkey’s multiple range test at P≤0.05 has been done and * means significant differences.
각각의 배양액을 이용하여 3주간 재배된 물냉이의 건 물중 1g당 gluconasturtin 함량은 유의적인 차이를 보이며 OTS 처리가 PBG와 HES보다 96%와 65% 높았으며, glucobrassicin의 경우 68%와 -3%의 차이를 보였으며 glucosiberin의 경우 191%와 117% 증가하였고, glucohirsutin의 경우 157%와 125%의 증가를 보였으며 4-methoxyglucobrassicin의 경우 85%와 19%의 함량 증 가를 나타내었다(Fig. 5). 또한 물냉이 지상부 전체 건중 에 대한 총 glucosinolates 함량은 유의적인 차이를 보이 며 OTS 처리구에서 가장 높았다(Fig. 5). 황이온과 질소 이온 또는 두 이온간의 균형이 배추과 작물의 glucosinolates 함량에 큰 영향을 미치는데, 높은 황이온 농도는 총 glucosinoaltes의 함량을 증가시켰으며(Li 등, 2007), 총 glucosinolates 종류에 속하는 각각의 glucoraphanin과 glucoraphasatin (Krumbein 등, 2001), sinigrin, glucobrassicanapin, gluconapin and progoitrin (Kaur et al., 1990)의 함량을 증가시킨다고 보고하였다. Schonhof 등(2007)의 보고에 의하면, 황이온 농도와 관 계없이 낮은 농도의 질소조건에서 자란 브로콜리는 총 glucosinolates 함량이 증가한 반면, 적정 질소농도 조건 에서 낮은 황이온 농도 처리는 총 glucosinolates 함량을 감소시켰다. 이러한 이유는 glucosinolates는 질소와 황을 포함하고 주로 포도당과 결합된 유기화합물이기 때문이 다. OTS 처리조건에서 적정 수준의 질소와 황 이온 농도 가 직접적으로 총 glucosinolates 함량이 증가에 영향을 미친다고 보고되었으나, OTS 양액의 질소와 황이온 농도 는 3개의 양액처방 중에서 모두 중간농도를 나타내고 있 다. 그러나, OTS의 인산 농도는 HES와 PBG 보다 1.7배, 2.55배 높았으며, 이러한 인산의 농도가 glucosinolates 함 량에 영향을 미친것으로 볼 수도 있다. 또한 OTS의 증가 된 EC농도에 의한 영향이 glucosinolates 함량 증가에 영 향을 준 것으로 보인다.

Fig. 5
Total glucosinolate contents of Nasturtium officinale grown under the different nutrient solution, Otsuka House 1A (OTS), Netherland’s Proefstaion voor Bloemisterij en Gasgroente (PBG), Horticultural Experimental station in Korea (HES) with 180 mmol·m-2· s-1 PPFD irradiated by fluorescents lamps for 3 weeks. Data represent means and standard error (n=3). Means with different letters are significantly differences by Turkey’s multiple range test (P≤0.05).
2. 광질 종류에 따른 물냉이 생육
광질의 조건을 달리하여 3주간 수경재배한 물냉이의 초장은 W10 처리조건과 비교하여 R10 조건에서 유의적 인 차이를 보이며 306mm, 101.3% 증가하였으나, 근장, 엽장과 엽폭은 광질종류에 관계없이 유의적인 차이를 보 이지 않았다(Fig. 6). 근장은 W10 처리구와 비교하여 R3B1 처리구에서 292mm, 4.3% 증가하였으나 유의적인 차이를 보이지 않았다(Fig. 6). 엽장은 R2B1G1 처리구 와 비교하여 W2B1G1 처리구에서 580mm, 24.2% 증가 하였고 엽폭은 R2B1G1 처리구와 비교하여 R3B1 처리 구에서 650mm, 16.9% 증가하였으나 엽장과 엽폭 모두 에서 유의적인 차이를 보이지 않았다(Fig. 6). 지상부 생 체중과 건물중은 R3B1 처리구에서 각각 127.8g과 6.2g 으로 평균값은 높았으나 유의적인 차이를 보이지 않았으 며, 지하부의 생체중과 건물중은 R10 처리구에서 각각 2.0g, 0.3g 으로 유의적으로 낮았다(Fig. 6).

Fig. 6
Stem length, root length, leaf length and width, shoot fresh and dry weights, and root fresh and dry weights of Nasturtium officinale grown under the combinations of different light qualities, W10 (white 10), R10 (R:B:G = 10:0:0), R5B1 (R:B:G = 5:1:0), R3B1 (R:B:G = 3:1:0), R2B1G1 (R:B:G = 2:1:1), W2B1G1 (W:B:G = 2:1:1) with 180 mmol m-2 s-1 PPFD irradiated by different LEDs for 3 weeks. Data represent means and standard error (n=5). Means with different letters are significantly differences by Turkey’s multiple range test (P≤0.05).
꿀풀과인 배초향(Agastache rugosa)의 초장은 100% 적색광 처리구에서 유의적으로 R2B1B1 처리구보다 유 의적으로 높았으며 엽장은 모든 광처리(R10, W10, R3B1, R2B1G1, W2B1G1, 형광등: PPFD 비율 기준)에 서 유의적인 차이가 없었으나, 엽폭의 경우 R3B1 처리 구에서 W10, W2B1G1 처리구에서 유의적으로 높다고 보고하였으며, 지상부 생체중과 건물중의 경우에도 R10 처리구에서 다른 혼합광 처리와 비교하여 유의적으로 낮 은 값을 보였다(Kim 등, 2018). 엽폭의 유의적 차이는 본 실험결과와 상이한 결과였으나, 본 실험에서 지상부 생체중과 건물중은 R10 처리구에서 가장 낮았으며(유의 적인 차이는 나타나지 않았음), 각 광원의 처리에 대한 생육의 결과는 혼합광 간에는 유의적 차이를 보이지 않 은 반면에 R10 처리구가 가장 낮은 생육결과는 매우 유 사하였다. 또한 R3B1 처리구에서 생육이 가장 좋았던 것은 배초향의 경우 약 80cm 높이까지 생장하는 반면 물냉이는 포복 생장을 하는데서 오는 광의 차단에서 기 인 된 것으로 작물 군락내의 광질의 분포는 광의 투과 율과 반사율 등에 따라서 매우 다른 환경이 조성된다. 적색광 처리에서 감자(Solanum tuberosum)는 엽이 매우 얇고 길게 자라며 엽형지수가 낮은 값을 보이는 반면 청색광 처리시 엽이 짧고 두꺼운 특성을 보였다 (Aksenova 등, 1994). 상추(Lactuca sativa L.) 의 경우 에도 적색광을 처리할 경우 엽이 얇아지면서 엽면적을 증가시키지만 청색광을 처리시, 엽폭의 증가가 억제된다 고 보고하였다(Cha 등, 2013;Lee와 Kim, 2014). 물냉 이의 경우도 적색광을 처리한 경우, 초장은 매우 길며, 지상부 생체중이 가장 낮은 것은 그 만큼 식물체의 충 실도(건물중/초장)에서 위의 경우와 매우 유사한 결과를 얻었다. 또한 R10, R5B1, R3B1의 결과를 보면 청색광 의 비율이 증가할수록 지상부 및 지하부 생육이 증가되 는 경향이 나타났다(Fig. 6). 그러나, 적청 혼합광 LED 를 비율별로 처리 했을 경우, 청색광의 비율이 증가할수 록 적축면 상추(Lactuca sativa L. ‘Sunmang’)와 잎상추 (Lactuca sativa L. ‘Grand Rapid TBR’)에서 생체중과 건물중이 감소하였다고 보고되었으며(Son과 Oh, 2014), 적색 및 청색 파장이 식물에 미치는 영향을 평가 한 이 전의 연구에 따르면 적색 LED가 생체중과 건물중, 초장 및 엽면적을 증가시키는데 더 효과적으로 작용하며 식물 생장을 유도한다고 보고하였다(Heo 등, 2012;Johkan 등, 2010;Wang 등, 2009;Wu 등, 2007). 물냉이는 수 생식물에 속하고, 음지에서도 매우 잘 자라는 특성이 있 어 적색광과 청색광에 대한 많은 사전 연구결과와 다른 경향을 나타내는 것으로 사료된다. 폐쇄된 공간에서 식 물을 생산하는 식물공장에서 식물의 생장을 고려할 경우 적색광이 많이 포함된 광원이 유리하지만, 기능성 물질 의 축적은 청색광 조사가 더 효과적이라는 보고를 고려 해 볼 때(Son and Oh, 2014), 물냉이의 경우에는 청색 광 비율이 높은 조건에서 생장을 증가시키는 결과는 매 우 효과적이라 할수 있다.
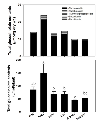
물냉이의 건물중 0.1g당 glucosinolates의 함량은 W10 처리구에서 14.09μmol·g-1, R3B1처리구에서 24.06μmol·g-1, R5B1 처리구에서 13.23μmol·g-1, R10 처리구에서 14.79μmol·g-1, R2B1G1 처리구에서 9.84μmol·g-1, W2B1G1 처리구에서 10.17μmol·g-1 이었다. 따라서 각 처리구 물냉이의 건물중 당 glucosinolates 함량은 R2B1G1 처리구와 비교하여 R3B1 처리구에서 생육된 물냉이는 144.5% 증가하였다. 각 처리구 물냉이의 식물 체당 glucosinolates 함량은 R3B1에서 149.96μmol/plant 로 가장 높게 나타났다(Fig. 7). R3B1을 컨트롤구인 W10과 비교 하였을 때 glucosinolate의 농도는 약 70% 증가 되었다.

Fig. 7
Total glucosinolate contents of Nasturtium officinale grown under the combinations of different light qualities, W10 (white 10), R10 (R:B:G = 10:0:0), R5B1 (R:B:G = 5:1:0), R3B1 (R:B:G = 3:1:0), R2B1G1 (R:B:G = 2:1:1), W2B1G1 (W:B:G = 2:1:1) with 180 mmol·m-2· s-1 PPFD irradiated by different LEDs for 3 weeks. Data represent means and standard error (n=3). Means with different letters are significantly differences by Turkey’s multiple range test (P≤0.05).
광강도, 광주기 및 광질은 식물의 생리적 반응에 영향 을 미치지만 glucosinolate 농도에 대한 영향은 매우 다 양하다고 보고 하였으며 여름철 고위도지방의 긴 광주기 는 전형적으로 glucosinolate 함량 증가에 긍정적인 영향 을 준다고 하였다(Björkman 등, 2011). 총 glucosinolate 함량은 Brassica oleracea 줄기와 뿌리에서 12h 일장조 건보다 18h 또는 24h 일장처리에서 높게 나타났으며 (Charron과 Sams, 2004), 흰 겨자의 종자에서도 14h 일 장조건보다 22h 일장에서 증가하였다(Keskitalo, 2001). 브로콜리의 꽃눈이 유도된 후 저온 7-13°C 조건과 함께 116-150μmol· m-2· s-1 PPFD 조건이 23-69μmol· m-2· s-1 PPFD 낮은 수준의 광조사와 비교하여 적당한 방사선 조 사가 브로콜리 꽃눈에서 alkyl glucosinolate 함량을 증가 시켰으며, 낮은 수준의 광조건에서는 indole glucosinolate glucobrassicin의 함량이 증가되었다 (Schonhof 등, 2007). Brassica oleracea 품종의 잎에서 glucosinolate와 지방성 glucosinolate의 함량은 광강도 200-400μmol· m-2· s-1 수준에서 음의 선형반응을 보인 반 면, indole glucosinolate는 조사된 광에 대해서 비선형적 반응을 나타내었고 300μmol· m-2· s-1에서 가장 높은 값을 보였다(Charron과 Sams, 2004).
광질에 대한 연구결과로 Engelen-Eigles 등(2006)은 근 적색광 조사와 비교하여 적색광이 풍부한 장일조건에서 물냉이의 gluconasturtiin 함량이 증가하였다고 보고하였 으나, Lefsrud 등(2008)은 케일의 총 glucosinolate 함량 에 대해 LED를 이용한 400, 440, 525, 640 및 730nm 의 파장에서 실질적 차이를 발견하지 못했으며, 단지 지 방족 glucosinolate sinigrin만이 파장 처리에 반응하는 것으로 나타났으며, 특히 640nm 적색광에서 피크를 보였 다고 보고하였다. 그러나, 적청 혼합광에서 청색이 비율 이 증가할수록 적축면 상추와 청치마 상추에서 엽록소, 총 페놀, 플라보노이드, 항산화물질 등과 같은 이차대사 산물이 증가하는 것으로 보고되었으며(Son과 Oh, 2014) 이는 R3B1 처리구에서 glucosinolate 함량이 증가한 결 과와 유사하였다. 배초향의 건물중 당 tilianin의 함량 또 한 형광등에 처리와 비교하여 LEDs 처리(W10, R2B1G1, W2B1G1, R10, R3B1) 에서 유의적으로 높은 값을 나타내었으며, 형광등 처리구 대비 각각 68.4%, 15.7%, 59.1%, 27.3%, 110.3% 높았으며 R3B1은 유의 적으로 가장 높은 함량을 나타내어 본 실험결과와 유사 하였다(Kim 등, 2018).
배추과속의 여러 작물들은 주로 하우스 또는 노지에서 재배되는 것이 현실이지만, 물냉이의 경우 하우스 수경 재배 또는 식물공장에서 재배가 가능한 대표적인 배추과 속의 작물이다. 식물공장에서 생산되는 채소는 신선함과 청결함을 추구하는 동시에 기능성 물질을 증가시키기 위 한 다양한 노력을 시도하고 있다. 본 실험의 결과 광질 에 따른 물냉이의 생육을 관찰하였으며, 특히 적색과 청 색의 비율을 3:1의 조건으로 광조사할 경우, 물냉이의 지상부 생육과 glucosionlate 함량을 최고로 높여 생산할 수 있는 결과를 얻었다. 향후, 광량과 광주기 및 좀더 세밀한 광질에 대한 연구가 수행되어야 할 것으로 사료 된다.






