© The Korean Society for Bio-Environment Control. All rights reserved.
ABSTRACT
서 론
국내 시설채소 분야에서 수경재배 면적 및 생산량이 차지하는 비중은 크게 증가하고 있으나(Lee, 2014) 국내 수경재배 농가의 대부분은 비순환식 수경재배를 하고 있 고, 약 5% 만이 순환식 수경재배를 실시하고 있는 것으 로 나타났다(Lee 등, 2014).
환경보전에 대한 관심이 높아지면서 수경재배에서 발 생하는 배액과 폐배지의 방출을 규제하는 것이 국제적 흐름이다. 비순환식 수경재배는 토양 및 수질에 대한 환경 부담이 크고, 해마다 낭비되는 수자원은 ha당 연간 2700 톤, 과잉 소비되어 버려지는 질소배출량도 ha당 400kg에 이르고 있다. 이와 같이 버려지는 수자원과 비료는 순환 식 수경재배를 선택할 경우 약 30% 이상 절감이 가능 할 것으로 예상된다(Lee, 2014).
순환식 수경재배를 실시하기 위해서는 지속적으로 배 액 내 병원균을 모니터링하고, 재순환하는 배액의 살균 문제를 완벽하게 해소해야 한다. 현재 농업에 사용하고 있는 살균소독기술은 오존, 자외선(UV), 바이오필터, 약 품 소독 등이 있는데, 그 중에서 가장 상용화되어 있는 기술은 약제소독(염소 또는 이산화염소), 자외선(UV) 소 독이다. 자외선(UV) 살균법은 미생물 살균에 유효한 파 장인 200~280nm인 UVc에서 가장 살균력이 뛰어나며 260nm 근처에서 최고의 살균력을 보인다(Schlegal, 1992). 자외선(UV)소독은 박테리아와 바이러스의 사멸효 과, 유량과 수질변동에 대한 적응력 등 많은 장점으로 현재 상용화되어 있으나 살균하고자 하는 용액 내 유기 물 함량이 높을 경우나 용액의 탁도가 높을 경우에는 소독능력이 현격히 저하되며, 색도를 제거하여도 소독능 력이 회복되지 않는다(Lens 등, 2005;Metcalf와 Eddy, 2004; Pontius, 1990; Shin과 Lee, 2005). 따라서 국내 수경재배에서 가장많이 사용되고 있는 코이어 배지의 경 우, 배액의 탁도가 높아서 자외선 살균법을 적용하기는 매우 어려운 실정이다.
약제처리는 소독하고자 하는 물에 염소 또는 이산화염 소를 주입시켜 가수분해 된 HOCl 또는 OCl-의 산화작 용에 의해 병원균을 사멸시키는 것으로 색도나 탁도가 있는 수질에서도 사용이 용이하다. 그러나 인체에 치명 적인 잔류독성물질이 발생하고, 취급이 어려우며, 사용을 위한 여러 가지 시설물이 구축되어야 한다(Jin 등, 2004;Kim 등, 2005;Meinel 등, 2006;Noah 등, 2002;Sofia 등, 2001). 오존소독은 물에 오존가스를 혼입하여 오존 의 강력한 산화작용에 의해 병원균을 사멸시키는 방법으 로 강력한 살균력과 함께 색도제거와 수질개선효과가 있 다. 그러나 물속에 유기물이 있을 경우에 살균력이 현격 히 저하되며 강독성의 오존가스의 취급에 어려움이 있다 (Akahori 등 2000;Cho 등, 2001;Hanasak 등, 2000;Katoh 등, 2012;Lippman, 1989;Sakai 등, 2014). 다양 한 입자크기의 필터를 이용하여 병원균을 걸러내는 막여 과법은 필터비용 및 운영비용이 매우 고가여서 음용수 등 고품질, 소량의 물 살균 및 소독에 사용되며 농업용 으로 사용하기에는 경제성에서 불리하다(Barak와 van Rihin, 2000;Grguric 등, 2000;Menasveta 등, 2001;Shnel 등, 2002;van Rijin 등, 2006).
의료용으로 사용되고 있는 전기충격살균법은 인체의 특정부위에 있는 균을 죽이는 의료용으로 제한적으로 사 용하고 있다. 특히 순도가 높은 백금전극을 이용하여 1~450uA 정도의 전류와 0.01~12.5V 정도의 전압 범위로 인체의 특정부위에 흘려보내어 병원균을 살균하고 있으나 농업에서의 사용은 현재 없다(Bishay와 Leonard, 2003;Fakhri와 Amin, 1987;Lee 등, 2004;Patterson, 1976).
전기충격살균법을 순환식 수경재배에서 경제성 있게 배액 살균기술로 활용하기 위해서는 살균에 영향을 미치 는 전극, 전압, 전류, 배액체류시간 등의 인자들에 대한 최적 조건 구명이 필요하다. 전극의 경우, 재순환할 배 양액에 전류를 흐르게 하기 위해 여러 전도체 금속 중 에서 전기전도율이 높고, 살균 시 배액의 pH와 EC의 변화가 없으며, 침전물이 발생하지 않는 금속을 선택하 여야 한다. 또한 주요 식물병을 살균할 수 있는 최적 전 압, 전압, 전류, 배액 체류시간 등을 연구가 필요하다. 본 실험은 순환식 수경재배에서 전기살균소독시스템 구 축 시 사용될 전극, 전압, 전류, 배액의 체류시간 등의 최적 조건과 수경재배에서 가장 문제되는 대표적인 곰팡 이 및 세균 병원균인 Fusarium oxysporum(시들음병)과 Ralstonia solaacarum(풋마름병)에 대한 살균 가능성을 구명하여 효과적인 순환식 수경재배의 전기살소독법을 개발하기 위하여 수행 되었다.
재료 및 방법
1. 전기살균소독시스템 구축시 적정 전극소재 구명
다양한 금속전도체 중에서 전극으로 가장 적합한 소재 를 구명하기 위해 본 실험은 2단계로 진행되었다. 첫 번 째로 여러 선행연구들에 의해 알려져 있는 금속전도체의 특성을 조사하여, 전기살균소독시스템 구축시 가장 적합 한 조건을 갖춘 소재를 선택하였다. 금속전도체의 특성 조사는 살균소독기술 및 의료용 살균치료기술 조사와 동 일한 방법으로 조사하였다. 둘째로 선택된 금속소재를 구입하여 실제로 수경재배에서 발생된 배액에 설치하고 직류전기(24V, 10.5A)를 일정시간(300초) 동안 공급하여 배액의 pH와 EC변화 √ 유무와 침전물 발생여부를 조사 하였다. 실험에 사용된 금속소재는 은, 구리, 금, 알루미 늄, 망간, 아연, 니켈, 철, 스테인리스 스틸 등이었으며 막대 형태로 실험재료를 취급하는 (주)덕산이화학에서 구입하였다. 또한 전기살균처리 후 배액의 원소변화를 구명하기 위해 실험기구를 제작하였다. 본 실험을 위해 제작한 실험기구는 상부가 열려있는 아크릴상자(내부 부 피 337.5mL)를 제작한 후, 스테인리스 스틸 강판(SUS 23, 두께 2mm)을 가로 15cm, 세로 15cm 크기로 잘라 전극으로 사용하기 위해 아크릴 상자의 옆면에 각각 부 착하여 실험에 사용하였다. 스테인리스 스틸을 전극으로 사용하여 제작한 실험기구에(Fig. 1), 실제 토마토 수경 재배에서 나온 배액(EC 2.0)을 채우고, 직류전원공급기 (OPE-3010D, Daekwang T&M Co., Korea)를 이용하여 7종류의 전압을 각각 300초간 흘렸다. 전기를 공급한 후 각각의 배액을 50mL씩 취하여 분석을 실시하였다(Fig. 1). 전기 처리한 배액의 원소분석은 유도결합플라즈마 발광광도기(ICP-9000, Shimadzu, 일본)를 사용하였으며, 분석한 원소는 주요 금속원소인 칼륨(K), 칼슘(Ca), 마그 네슘(Mg), 황(S), 나트륨(Na) 등이었다. Table 1

Fig. 1
The experimental system with Power supply and electrode plates.
Table 1.
Comparison of various sterilization methods used for nutrient solution recirculation.
2. 스테인레스 스틸 전극의 적정 활용 방법 구명
스테인리스 스틸을 전극으로 적용할 때, 전극의 두께, 크기, 전극간 거리, 동일한 전압 하에서 전류량, 최대 전 류량에 도달하는 시간, 용액의 처리량 등을 비교하여 가 장 효과적이고, 경제적인 조건을 구명하기 위하여 본 실 험을 실시하였으며 전도체의 종류는 평판 stainless steel(SUS 316)을 사용하였다. 야마자키 토마토 전용배양 액 EC 2.0의 조건에서 시험을 실시하였으며 최대 전압 및 전류는 DC24V, 10.5A이었다. 직류전원공급기(OPE- 3010D, Daekwang T&M Co., Korea)를 이용하여 전류를 공급하였으며 전극의 두께는 0.1, 0.2, 0.4, 0.8mm (15×15cm)이었다. 전극의 크기는(가로×세로) 150×150, 300×300, 450×450mm(0.2mm)이었으며 전극간 거리는 25, 50, 75, 100mm(15×15cm, 0.2mm)에서 시험을 실시 하였다.
Fusarium wilt와 Bacterial wilt에 전기살균법 적용
전기살균소독시스템의 개발을 위해 토마토수경 재배 시 가 장 문제가 되는 세균병인 풋마름병균(Ralstonia solanacearum)과 곰팡이병인 시들음병균(Fusarium oxysporum)에 대해 살 균실험을 수행하였다. 사용한 균주는 2014년 충남 부여 지역에서 채집한 균주를 사용하였으며 전극은 stainless steel (SUS 316)을 이용하여 멸균까지의 전압, 전류량, 소요시간을 조사하였다. 병원균을 접종한 배양액은 야마 자키 토마토 전용배양액으로 EC 2.0이었으며 직류전원 공급기(OPE-3010D, Daekwang T&M Co., Korea)를 이 용하여 전류를 공급하였다. 시험하고자 하는 전류(A)에 도 달한 순간부터 시간을 측정하였으며 30초마다 혼탁액을 1mL씩 취하여 배지에 옮겨 일주일간 배양하였다. 시들음 병균(Fusarium oxysporum)은 살균처리 전·후 colony수를 측정하였으며 (처리전 colony수 - 처리후 colony 수/ 처리전 colony 수 ×100=생존률), 풋마름병균(Ralstonia solanacearum) 은 살균처리 전·후의 CFU수를 측정하여 시들음병균과 동일한 방법으로 생존률을 조사하였다. 배양에 사용한 배 지는 풋마름병균(Ralstonia solanacearum)의 경우 SMSA배 지, 시들음병균(Fusarium oxysporum)은 PDA배지였다. 풋마 름병균(Ralstonia solanacearum) 살균에 사용된 전류와 전압 은 각각10V-1.79A, 15V-3A이었으며 시들음병균(Fusarium oxysporum) 살균에 사용된 전류와 전압은 15V-3A, 24V- 10A에서 시험을 실시하였다. 전기를 공급하고 목표치의 전압과 전류량 까지 도달한 시간은 3~10초 였으며 멸균 시간은 목표치의 전압과 전류량이 도달한 시간부터 측정 하였다.
결과 및 고찰
1. 전기살균소독시스템 개발을 위한 적정 전극소재 구명
전기살균소독시스템에 사용될 전극의 필요조건으로는 전기전도도가 높고, 저항이 적으며, 소재의 수급이 용이 하고, 가격이 저렴한 것으로 규정하였다. 다양한 금속전 도체 중에서 전기전도도와 저항값을 조사하고(Table 2), 소재의 수급 편이성을 고려하여 은, 구리, 금, 알루미늄, 망간, 아연, 니켈, 철, 스테인리스 스틸 총 9가지를 선택 하였다(Table 3).
Table 2.
Comparison of resistance and electrical conductivity for various metal materials.
Table 3.
Change in pH and EC of the nutrient solution of EC 3.0 and the occurrence of sediment by electric shock for 300 seconds for various metal materials.
선택된 전극소재 9종은 막대 형태로 구입하여 EC 3.0 인 배양액에 전압 24V, 전류 10.5A를 직류로 300초간 공급한 후, 배양액의 pH와 EC변화유무와 침전물 발생여 부를 조사한 결과는 다음과 같다(Table 3). 9종의 전극소 재에 전기를 통한 결과, pH와 EC의 변화가 없고, 침전 물의 발생이 없는 소재는 금과 스테인리스 스틸이었다 (Fig. 2). pH의 경우, 금과 스테인리스 스틸에서도 전기 를 통한 순간에는 전극 주변에 수소기체가 발생하며 낮 아지지만 약 10초 후에는 다시 원상복귀 하였다(data not show). 금은 스테인리스 스틸에 비해 전기전도도가 높고, 저항이 적으나, 소재의 수급이 어렵고, 매우 고가 인 점이 전극으로 사용하기에 큰 결격요인이 되므로 본 실험을 통해 전기살균소독 시스템 구축 시 적정 전극소 재로는 스테인리스 스틸을 선택하였다.

Fig. 2
Occurrence of sediment when the direct electricity passed through the nutrient solution of 300 seconds.
스테인리스 스틸을 전극으로 사용하여 제작한 실험기 구에(Fig. 1) 배액을 채우고 전기 처리를 한 후, 배액의 원소를 분석한 결과는 다음과 같다(Table 4). 배액을 3반 복으로 분석한 결과 전압에 상관없이 원소차이는 없었다. 따라서 스테인리스 스틸은 전기살균소독 시스템 구축 시 전극으로 매우 적합한 금속전도체 소재임을 확인하였다. 본 실험에서 24V까지 전압을 실험한 것은 인체에 안전 한 전압이 30V 이내이기 때문이며, 앞으로 개발될 시스 템은 안전성을 위해 24V 이내의 전압에서 최대의 전류 를 발생하여 효율과 안전을 담보하고자 한다.
Table 4.
Changes in the concentrations of the nutrients treated by electric shock for 30 seconds with various voltages, which contained in Yamazaki nutrient solution for tomato cultivation (EC 2.0, maximum current 10.5A).
2. 적정 스테인레스 스틸 전극 사양 구명
전극의 두께에 따른 전류(A)와 전압(v)의 차이는 나타 나지 않았고(Fig. 3), 전극의 크기에 따라 전류(A)는 증 가하였으며 전압은 낮았다. 특히 전류(A)는 전압(v)이 높고 전극이 크기가 클수록 높게 나타났다.(Fig. 4). 전 기살균에 영향을 미치는 인자에는 전류(A)와 배액내 전 기의 체류시간 등이 있으며, 이 중에서 살균소독력에 더 많은 영향을 미치는 인자는 전류(A)라고 보고되어 있다 (Patermarakis와 Fountoukidis, 1990).

Fig. 3
Relation between electrode diameter and electric current after electricity flowed through for 30 seconds(EC 2.0, voltage : DC 12V).

Fig. 4
The voltage and current according to the electrode size (EC 2.0, voltage: DC0~24V, treated time: 30 sec).
45×45mm 전극에서 전기공급 후 12초만에 본 시험에서 사용한 직류전원공급기(OPE-3010D, Daekwang T&M Co., Korea)의 최대 전류(A)인 10.5A까지 도달하였으며 15×15mm 전극에서는 전기공급 후 20초 후에도 전류(A) 가 2A로 낮았다. 전류(A)의 크기는 전극의 면적이 넓을 수록 빠른 시간에 커졌으며 면적과 전류(A) 크기는 매우 높은 상관관계를 보였다(Fig. 5, Fig. 6).

Fig. 5
Relation between electrode area and electric current after electricity flowed through for 30 seconds (EC 2.0, voltage: DC12V).

Fig. 6
Time needed to be raised to 10.5A according to electrode size(mm) (EC 2.0, voltage: DC15V).
높은 상관관계를 보였다(Fig. 5, Fig. 6).
이러한 결과들에 의하면 전극의 두께는 얇고 표면적은 넓게 하는 것이 가장 경제적이고 효과적인 전극의 형태 라고 판단되어진다.
전원 공급 30초 후 전극간 거리 15mm(337.5mL)에서 직류전류공급기(OPE-3010D, Daekwang T&M Co., Korea) 전류량 최대치인 10.5A 까지 올라갔으나 60mm(1,350mL)에서는 1.8A로 전극간 거리가 멀수록 전류량이 감소하였다(Fig. 7). 전극간의 거리와 전류량 사이에는 높은 상관성이 있었으며(Fig 8) EC 2.0, DC24V에서 전극간 거리가 70mm 이상 떨어지면 전류 가 흐르지 않는 것으로 나타났다.

Fig. 7
The electric current 30 seconds after the electricity was on and the time needed to be raised to 10.5A according to distance between electrodes (EC 2.0, electrode size 15×15cm, voltage DC24V). Values in () show the solution volume used.

Fig 8
The electric current 30 seconds after the electricity was on according to distance between electrodes (EC 2.0, electrode size 15×15cm, voltage DC 24V).
3. 전기살균법의 Bacterial wilt(풋마름병) 및 Fusarium wilt(시들음병균)에 대한 적용
풋마름병균(Ralstonia solanacearum) 및 시들음병균 (Fusarium oxysporum)에 대해 개발된 전기살균법을 적 용하여 전기살균법의 효과와 적정 방법을 도출하였다.
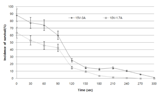
직류전원공급기(OPE-3010D, Daekwang T&M Co., Korea)를 이용하여 10V-1.79A, 15V-3A의 전원을 공급하 였으며 원하는 전류까지 도달시간은 3~5초 정도 소요되 었다. 10V-1.79A, 15V-3A에 도달한 후 공급 시간에 따 른 생존률 조사 결과 10V-1.79A, 15V-3A에 도달시점에 서 풋마름병균(Ralstonia solanacearum) 95, 94%였으며 170초에서 13, 3%의 생존률을 나타냈다(Fig. 9).

Fig. 9
Level of sterilization of Ralstonia solanacearum causing bacterial wilt by different voltages and currents; DC10V and 1.79A, DC15V and 3A (EC 2.0, electrode size 15×15cm).
시들음병균(Fusarium oxysporum)의 살균에는 10V-3A, 24V-10A의 전원을 공급하였으며 원하는 전류까지의 도달 시간은 7~10초 정도 소요되었다. 10V-3A, 24V-10A에 도 달한 후 공급 시간에 따른 생존률을 조사한 결과 10V-3A, 24V-10A에 도달시점에서 시들음병균(Fusarium oxysporum) 95, 76%였으며 170초에서 10, 2%의 생존률을 나타냈다 (Fig. 10). 곰팡이인 시들음병균(Fusarium oxysporum)이 세균인 풋마름병균(Ralstonia solanacearum)보다 살균에 더 높은 전류가 필요하였다. 이는 자외선(UVc)를 이용 하여 배액의 살균을 하였을 때 곰팡이가 세균보다 더 많은 에너지가 필요(Wohanka, 1992)하다는 결과와 유사 하였다. 본 연구에서는 대표적인 세균병과 곰팡이병에 대해서 살균력을 검토하였으며 상업적인 순환식 수경재 배 전기살균장치의 개발을 위해서는 ToMV 등 바이러스 에 대한 살균연구와 곰팡이, 세균에 대한 더 많은 추가 연구가 필요할 것으로 생각된다.

Fig. 10
Level of sterilization of Fusarium oxysporum causing Fusarium wilt by different voltages and currents; DC10V and 1.79A, DC15V and 3A (EC 2.0, electrode size 15×15cm).
사 사
본 연구는 농촌진흥청 공동연구사업(세부과제번호 PJ01047903)의 지원에 의해 이루어진 것임.
References
Akahori, Y., M. Murakami, and S. Hoshi. 2000. Sterilization effects and prevention of hospital-acquired infections by ozonated water. J. Jpn. Soc. Intensive Care Med 7: 3-10.
10.3918/jsicm.7.3Barak, Y. and J. van Rijn. 2000. Atypical polyphosphate accumulation by the denitrifying bacterium Paracoccus denitrificans. Appl. Environ. Microbiol. 66: 1209-1212.
10.1128/AEM.66.3.1209-1212.200010698794PMC91965Bishay, J. M., and P. Leonard. 2003. Percutaneous electrical therapy system for minimizing electrode insertion discomfort. U.S. Patent No. 6,516,226. Washington, DC: U.S. Patent and Trademark Office.
Bolton, J. R. 2000. Calculation of ultraviolet fluence rate distribution in an annular reactor: significance of refraction and reflection. Water Res. 34: 3315-3324.
10.1016/S0043-1354(00)00087-7Bukhari, Z., T. M. Hargy, J. R. Bolton, B. Dussert, and J. L. Clancy. 1999. Medium-pressure UV for oocyst inactivation. J. Am. Water Works Assoc. 91: 86-94.
10.1002/j.1551-8833.1999.tb08602.xCho, H.Y., L.Y. Zhang, and S.R. Kleeberger. 2001. Ozoneinduced lung inflammation and hyperreactivity are mediated via tumor necrosis factor-alpha receptors. Am. J. Physiol. 280: 537-546.
10.1152/ajplung.2001.280.3.L53711159038Clancy, J. L., Z. Bukhari, T. M. Hargy, J. R. Bolton, B. W. Dussert, and M. M. Marshall. 2000. Using UV to inactivate Cryptosporidium. J. Am. Water Works Assoc. 92: 97-104.
10.1002/j.1551-8833.2000.tb09008.xCraik, S.A., D. Weldon, G.R. Finch, J.R. Bolton, and M. Belosevic. 2001. Inactivation of Cryptosporidium oocysts using medium- and low-pressure ultraviolet radiation. Water Res. 35: 1387-1398.
10.1016/S0043-1354(00)00399-7Fakhri, O., and M.A. Amin. 1987. The effect of low-voltage electric therapy on the healing of resistant skin burns. J. Burn Care & Research 8: 15-18.
10.1097/00004630-198701000-000033494732Gehl, J. 2003. Electroporation: theory and methods, perspectives for drug delivery, gene therapy and research. Acta Physiologica Scandinavica 177:437-447.
10.1046/j.1365-201X.2003.01093.x12648161Giancoli, D.C. 1995. Physics: Principles with Applications (4th ed.). London: Prentice Hall.
Giancoli, D.C. 2009. "25. Electric Currents and Resistance". In Jocelyn Phillips. Physics for Scientists and Engineers with Modern Physics (4th ed.). Upper Saddle River, New Jersey: Prentice Hall. p. 658.
Grguric, G., S.S. Wetmore, and R.W. Fournier. 2000. Biological denitrification in a closed seawater system. Chemosphere 40: 549-555.
10.1016/S0045-6535(99)00311-2Griffiths, D. 1999. "7. Electrodynamics". In Alison Reeves. Introduction to electrodynamics (3rd ed.). Upper Saddle River, New Jersey: Prentice Hall. p. 286.
Hanasak, H. 2000. Clinical evaluation of cataract surgery using ozone water as an ocular surface disinfectant. Jpn. J. Ophthalmic Surg. 13: 456-458.
Hoyer, O. 1998. Testing performance and monitoring of UV systems for drinking water disinfection. Water Supply 16:424-429.
Jin, H.J., J. Chen, V. Karageorgiou, G.H. Altman, and D.L. Kaplan. 2004. Human bone marrow stromal cell responses on electrospun silk fibroin mats. Biomaterials 25: 1039-1047.
10.1016/S0142-9612(03)00609-4Kalisvaart, B.F. 2001. Photobiology effects of polychromatic medium pressure UV lamps. Water Sci. Technol. 43: 191-197.
10.2166/wst.2001.0219Katoh, Y., N. Horiba, T. Matsumoto, and H. Nakamura. 2012. Study on the use of an ozone gel for endodontic therapy : bactericidal and cytotoxic effects. J. Jpn. Endo. Assoc. 33:20-28.
Kim, K.H., L. Jeong, H.N. Park, S.Y. Shin, W.H. Park, and S.C. Lee. 2005. Biological efficacy of silk fibroin nanofiber membranes for guided bone regeneration. J. Biotechnol. 120: 327-339.
10.1016/j.jbiotec.2005.06.03316150508Lee, D.U., I.S. Lee, Y.D. Choi, and J.H. Bae. 2001. Effects of external carbon source and empty bed contact time on simultaneous heterotrophic and sulfur-utilizing autotrophic denitrification. Process Biochem. 36: 1215-1224.
10.1016/S0032-9592(01)00163-7Lee, H.C. 2014. Necessity and challenge project of closed-system in the hydroponics. Kor. J. Hort. Sci. Technol. 32 (Suppl II): 31-32.
Lee, P.Y., S. Chesnoy, and L. Huang. 2004. Electroporatic delivery of TGF-ß1 gene works synergistically with electric therapy to enhance diabetic wound healing in db/db mice. J. Investigative dermatology 123: 791-798.
10.1111/j.0022-202X.2004.23309.x15373787Lee, S.D. 2014. Recycling soilless systems. Kor. J. Hort. Sci. Technol. 32 (Suppl II): 32-33.
Lee, S.R., T.H. Kang, C.S. Han, M.M. Oh. 2014. Air anions improve growth and mineral concentration of kale in a plant factory. Kor. J. Hort. Sci. Technol. 32 (Suppl II): 41-42.
Lens, P., L.H. Pol, P. Wilderer, and T. Asano. 2005. Water recycling and resource recovery in industry. Water Intelligence Online, IWA Publishing e-Book, p. 661-664.
Lin, W.Z., S.S. Lee, and W.T. Cheung. 2009. Efficient expression of foreign genes in CHO DHFR cells by electroporation. Biologicals 37: 277-281.
10.1016/j.biologicals.2009.03.00319457681Linden, K. G., and J. L. Darby. 1997. Estimating effective germicidal dose form medium pressure UV lamps. J. Environ. Eng. 123: 1142-1149.
10.1061/(ASCE)0733-9372(1997)123:11(1142)Lippman, M. 1989. Health effects of ozone. J. Am. Air Pollut Control Assoc. 39: 672-695.
10.1080/08940630.1989.104665542659744Malley, J.O. 1992. Schaum's outline of theory and problems of basic circuit analysis. p. 19. McGraw-Hill Professional. Matsuki, N., T. Ishikawa, Y. Imai, and T. Yamaguchi. 2008. Low voltage pulses can induce apoptosis. Cancer letters 269: 93-100.
10.1016/j.canlet.2008.04.01918504072Meinel, L., S. Hofmann, O. Betz, R. Fajardo, H.P. Merkle, and R. Langer. 2006. Osteogenesis by human mesenchymal stem cells cultured on silk biomaterials: comparison of adenovirus mediated gene transfer and protein delivery of BMP-2. Biomaterials 27: 4993-5002.
10.1016/j.biomaterials.2006.05.02116765437Menasveta, P., T. Panritdam, P. Sihanonth, S. Powtongsook, B. Chuntapa, and P. Lee. 2001. Design and function of a closed, recirculating seawater system with denitrification for the culture of black tiger shrimp broodstock. Aquacult. Eng. 25: 35-39.
10.1016/S0144-8609(01)00069-3Metcalf, L., H.P. Eddy. 2004. Wastewater engineering : treatment, disposal, and reuse. 4th ed. McGraw-Hill, New York, USA. p. 182-220.
Mofidi, A. A., H. Baribeau, P. A. Rochelle, R. De Leon, B. M. Coffey, and J. F. Green. 2001. Disinfection of Cryptosporidium parvum with polychromatic UV light. J. Am. Water Works Assoc. 93: 95-109.
10.1002/j.1551-8833.2001.tb09229.xNoah, E.M., J. Chen, X. Jiao, I. Heschel, and N. Pallua. 2002. Impact of sterilization on the porous design and cell behavior in collagen sponges prepared for tissue engineering. Biomaterials 23: 2855-2861.
10.1016/S0142-9612(01)00412-4Patermarakis, G. and E. Fountoukidis. 1990. Disinfection of water by electrochemical treatment. Water Research 24:1491-1496.
10.1016/0043-1354(90)90083-IPatterson, M.A. 1976. Effects of neuro-electric therapy (NET) in drug addiction: interim report. UN Bull. Narc, 28: 55-62.
Sakai, D., Y. Makita, K. Masuno, S. Fujiwara, J. Okazaki, and P. Wang. 2014. Local hemostatic effect of aqueous ozone in cutting wound surface. J. Hard. Tissue Biol. 23: 245-248.
10.2485/jhtb.23.245Schlegal, H.G., 1992.Allegemine Mikrobiologie. Thieme-Verlag, Stuttgart, New York, USA : p. 634
Serway, R.A. 1998. Principles of physics (2nd ed). Fort Worth, Texas; London: Saunders College Pub. p. 602.
Shnel, N., Y. Barak, T.Y., Ezer, Z. Dafni, and J. van Rijn. 2002. Design and performance of a zero-discharge tilapia recirculating system. Aquacult. Eng. 26: 191-203.
10.1016/S0144-8609(02)00013-4Shin, D.H. and Y.T. Lee. 2005. Preparation and characterization of sewage sterilization for electrodeless UV lamp. J. Kor. Ind. Eng. Chem. 16: 570-575.
Sofia, S., M.B. McCarthy, G. Gronowicz, and D.L. Kaplan. 2001. Functionalized silk-based biomaterials for bone formation. J. Biomed Mater Res. 54: 139-148.
10.1002/1097-4636(200101)54:1<139::AID-JBM17>3.0.CO;2-7Sommer, R., M. Lhotsky, T. Haider, and A. Cabaj. 2000. UV inactivation, liquid-holding recovery, and photoreactivation of Escherichia coli O157 and other pathogenic Escherichia coli strains in water. J. Food Prot. 63: 1015-1020.
10.4315/0362-028X-63.8.101510945573van Rijn, J.V., Y. Tal, and H.J. Schreier. 2006. Denitrification in recirculating system: Theory and applications. Aquacult. Eng. 34: 364-376.
10.1016/j.aquaeng.2005.04.004Wohanka, W., 1992. Slow sand filtration and UV radiation; low-cost techniques for disinfection of recirculating nutrient solutions or surface water. In: Proc 8th Internat. Congr.
Soilless Culture. ISOSC, Wageningen, The Netherlands. pp. 497-511.