서 론
최근 기후온난화에 대응한 다양한 아열대 채소가 국내에서 재배되고 있으며(Ahn 등, 2012; Kim 등, 2014; Seong 등, 2008; Uhm 등, 2014) 앞으로도 재배면적과 소비는 증가할 것으로 전망되고 있다(Kim 등, 2013a). 특히 여주는 그 기능성이 알려지면서 전남지역에서만 2016년현재 약 43ha 정도가 재배되고 있으며 주된 재배 작형은 노지재배와 비가림 시설재배로 4~5월경에 정식하여 9~10월까지 수확하는 작형이다. 덩굴성 박과 채소에 속하는 여주는(Momordica charantia L.)는 인도, 중국, 아프리카, 남미 등 아열대 지역에서 주로 재배되고 채소로 일본에서는 니가우리, 고야 그리고 서양에서는 bitter melon, bitter squash, balsam pear 등 지역적으로 다양하게 불려지고 있으며 비타민, 미네랄이 풍부하고 독특한 쓴맛을 지니고 있는 것이 특징이다(Bohme와 Pinker, 2007). 이러한 여주는 우리나라에서 1년생의 채소로 고온과 건조에 강하고 생육적온은 25~28oC이며 병충해가 별로 없어 재배가 쉬운 작물로 알려지면서 열매, 잎, 뿌리 등 모든 부분의 이용이 가능하다. 인도의 Ayurveda에 의하면 오래전부터 여주는 위염, 변비, 구충, 류머티즘 등의 치료에 이용되어 왔고(Begum 등, 1997). 최근에는 열매가 당뇨병과 고혈압을 비롯하여 항바이러스, 항 에이즈 등의 치료에도 긍정적인 효과가 있는 것으로 알려지고 있다(Ali 등, 1993; Sitasawad 등, 2000; Fonseka 등, 2007; Yaniv와 Bachrach 2005; Tsang 등, 2008) 또한 여주 잎에는 상당한 양의 활성물질인 momordicine이 함유되어 있다고 보고되고 있다.(Puspawati, 2008). 여주에 대한 국내 연구로 기능성분분석(Park 등, 2007; Lee 등, 2012; Moon 등, 2014) 및 품종육성(Lee 등, 2013), 항 당뇨(Kim, 2013), 식품소재개발(An 2014. Moon과 Choi 2014) 등 이 이루어지고 있으나 여주의 생산성 및 품질 향상을 위한 재배기술은 미흡한 편이다. 따라서 본 시험에서는 우리나라 여주재배 주산지인 남부 해안지역을 중심으로 시설과 노지재배에 알맞은 재배방법별 적정 정식기를 구명하여 재배의 안정성을 확보하고 첫 수확시기를 단축하여 생산성과 소득을 향상시키고자 본 연구를 수행하였다.
재료 및 방법
본 시험은 전남 나주시 산포면 산제리(위도 35o 3 N, 경도 126o 54 E)에 위치한 전라남도농업기술원 원예연구소 시설 및 노지포장 시험포장에서 수행되었다. 재배품종은 ‘드레곤’(일본 야에農藝) 품종을 공시하여 원예용 상토를 충진한 50공 트레이에 35일간 육묘하여 3.0×1.0m 간격으로 시설재배는 3월 20일, 4월 5일, 4월 20일, 노지재배는 시설재배보다 1개월 늦은 4월 20일, 5월 5일, 5월 20일 등 3처리를 난괴법으로 정식하였다. 정식 전 이랑 중앙에 점적호스를 설치하고 이랑은 청색비닐로 이랑사이는 흑색 부직포(Weed stop)로 멀칭 하였다. 관수 방법은 점적호스를 이용하여 관수하였으며 관수량은 간이 pF 측정기(Spectrum, Oneset, USA)를 이용하여 관수 개시점을 생육초기에는 pF 1.8, 수확기에는 pF 2.0으로 하였다. 10a당 시비량은 N-P-K-퇴비를 각각 24-16-24-2,000kg를 표준시비량으로 하고 퇴비와 P는 전량 기비로 시용하고 N과 K는 60%를 기비로 나머지 40%는 추비로 4회 시용하였다. 기타 관리는 농촌진흥청 영농 길라잡이 오이 표준재배법에 준하였다. 유인시설은 이랑위에 파이프(∅25)를 2m 간격으로 아취형 터널을 만들고 그 위에 화훼용 그물망으로 네트를 설치하였다. 유인방법은 자만 4줄기 유인재배로 어미 줄기를 6~7마디에서 적심하고 각 마디에서 나오는 자만(아들 줄기) 중에서 충실한 자만을 좌우로 2개씩 총 4줄기를 유인하여 유인선 끝에서 적심을 하였고 손만은 초세를 보아가며 적절하게 제거하였다. 수분은 초기에는 인공수분을 하였는데 오전 10시 이전에 주 2~3회 정도로 수꽃 하나로 2~3개의 암꽃에 수분 시켰으며 암꽃 수가 많아지는 수확 성기에는 꿀벌을 인용하여 수분시켰다. 첫 수확은 2015년 5월 27일부터 시작하여 9월 30일까지 1주일에 평균 3회 정도 열매를 수확하였으며 상품과와 비상품과(곡과: 굽은 각도 20o 이상)로 구분하였다. 주요 조사항목으로는 정식 후 재배방법별로 재배기온, 생육, 과실과 수량특성 등을 조사하였으며 총 수량과 상품수량은 수확 종료 후 적산하였다. 특히 노지재배의 경우 정식 후 재배 안전성을 확보하기 위해 시설재배 첫 정식기인 3월 20일부터 재배기온을 조사하였다. 평균값의 비교는 SPSS(IBM SPSS Statistics, version18) 프로그램을 이용하여 일원배치 분산분석(One-way analysis of variance)을 실시하였다. 일원배치 분산분석 시 평균값에 대한 사후분석은 Duncan’s multiple range test 방법에 의거 0.05% 수준에서 각 처리의 평균값 간의 유의성을 검정하였다.
결과 및 고찰
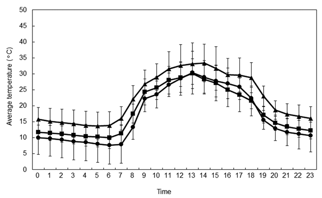
여주 재배의 안전성을 조사하기 위한 시설 및 노지재배의 재배방법에 따른 각 정식기별로 정식 후 15일간 평균기온을 조사한 결과는 Fig 1과 2와 같다. 시설 및 노지재배 모두 정식기가 빠를수록 1일 평균기온은 낮은 경향을 보였다. 특히 노지재배 4월 20일 정식기의 1일 평균기온은 16.7oC로 시설재배 3월 20일 정식기의 평균기온 17.0oC와 거의 같았는데 처리 외로 조사한 노지재배의 3월 20일과 4월 5일 정식의 1일 평균기온은 11.1~11.9oC로 여주재배 초기 활착 온도가 너무 낮아 재배하기에는 부적합한 환경이었다.
여주 재배방법과 정식기의 차이에 따른 최종 수확 종료 후 조사한 지상부 생육과 수확특성은 Table 1과 같다. 재배방법에서는 시설재배, 정식기간에는 정식시기가 빠를수록 생육이 양호한 경향을 보였는데 시설재배에서 만장은 정식기가 가장 빠른 3월 20일 정식이 620cm로 가장 길었고 그 다음이 4월 5일 592cm, 4월 20일 정식은 540cm로 가장 적었지만 노지재배의 같은 정식시기인 4월 20일의 524cm 보다는 16cm가 길었다. 정식시기가 가장 늦은 노지재배 5월 20일 정식은 496cm로 가장 적었는데 이는 정식시기가 늦어짐에 따라 생육기간의 단축에 기인한 것으로 사료된다. 경직경과 엽장은 대체로 만장과 비슷한 경향으로 노지재배보다는 시설재배, 늦은 정식시기 보다는 빠른 정식기에서 유의하게 양호한 경향을 보였다. 엽폭은 만장과 엽장 등과 같이 노지재배 보다는 시설재배가 5.5~4.4cm 정도 길었으나 정식기 간에는 큰 차이가 없었다. 이는 야콘에서 엽신장과 엽폭은 정식시기 간에 차이가 없다는 Kim 등(1995)의 연구결과와 대체로 비슷하였다. 재배방법의 차이에 따른 정식시기별 수확특성에서 첫 수확일은 노지재배 보다는 시설재배, 정식시기 간에는 정식기가 빠를수록 빠른 경향을 보여 시설재배 3월 20일 정식이 5월 27일, 4월 5일 정식은 4일 늦은 6월 1일, 4월 20일 정식은 6월 4일이었으며 노지재배의 4월 20일 정식은 7월 2일로 시설재배 보다 28일 늦었고 5월 5일 정식은 7월 6일, 5월 20일 정식은 정식일로부터 54일 만인 7월 13일에 첫 수확을 하였다. 정식부터 첫 수확까지 소요일수는 정식기가 늦으면 늦을수록 짧아지는 경향을 보여 시설재배 4월 20일 정식이 67일인데 반하여 정식기가 가장 늦은 노지재배 5월 20일 정식은 54일로 13일이 짧아졌는데 이는 5월 이후 6~7월 고온기로 갈수록 온도가 높아지면서 수확기까지 기간이 단축된 것으로 사료된다. 재배방법별 정식시기간의 총 수확 일수는 정식기가 가장 빨랐던 시설재배 3월 20일 정식이 127일로 가장 길고 수확 횟수도 36회로 가장 많았으며 정식기가 늦어질수록 수확 일수와 수확 횟수는 감소되어 정식기가 여섯 처리 중에 가장 늦은 노지재배 5월 20일 정식은 수확 일수가 78일, 수확 횟수가 23회로 정식기가 가장 빠른 시설재배 3월 20일 정식보다 수확 일수 49일, 수확 횟수 13회가 적었다.
Table 1.
The characteristics of growth after final harvest and harvest after final harvest by the method of cultivation and planting date of Momordica charantia. L.
여주 재배방법별 정식시기의 차이가 수확 과실의 특성에 미치는 영향은 Table 2와 같다. 과장은 23.4~25.7cm 정도로 재배방법별 간에는 큰 차이는 없었으나 정식시기별로는 조기에 정식할수록 과장이 약간 길어지는 경향을 보였다. 과경은 재배방법 간에는 시설재배가 노지재배보다 평균 3.3mm가 컸으나 정식기간에는 42.3~47.2mm로 처리 간에 일정한 경향을 보이지 않았다. 주당 총 수확 과수와 과중은 노지재배 보다는 시설재배가 많았지만 정식기 간에는 재배방법에 따라서 약간 달랐는데 시설재배는 정식기가 빠를수록 주당 총 수확 과수와 과중이 많았지만 노지재배는 5월 5일 정식이 주당 수확 과수가 92개, 과중이 14,630g으로 정식기가 가장 빠른 4월 20일 정식보다 과수는 2개, 과중은 261g이 많았으며 정식기가 가장 늦은 5월 20일 정식은 과수 77개, 과중 12,502g으로 정식기가 2개월 빠른 시설재배 3월 20일 정식의 41~40% 수준으로 이와 같은 결과는 재배기간 차이에 따른 제한된 sink source에 기인 한 것으로 생각된다(Peil과 López-Gálvez, 2001). 수확 과실의 1개당 과중은 재배조건이 좋은 시설재배가 171g으로 노지재배 160g보다 11g이 무거웠으며 정식기 간에는 시설재배 4월 5일, 4월 20일, 3월 20일 순으로 무거웠지만 노지재배는 5월 20일, 4월 20일, 5월 520일 순으로 무거웠다. 이와 같은 결과는 Akinci 등(2000)과 El-Hamed와 Elwan(2011)의 과채류에서 과수가 적을수록 상대적으로 과중이 무거워진다는 연구결과와 비슷한 경향을 보였다.
Table 2.
The characteristics of harvested fruits as affected by the method of cultivation and planting date of momordica charantia L.
여주 재배방법과 정식기의 차이에 따른 총 수량과 상품수량 조사 결과는 Table 3과 같다. 10a당 총수량은 재배방법 별로는 시설재배가 평균 10,228kg으로 노지재배의 4,607kg 보다 2.2배가 많았는데 이는 재배기간이 길고 생육 조건이 양호했던 것에 기인한 것으로 사료되며 정식기 간에는 시설재배의 경우 4월 20일 정식구의 9,629kg 대비 3월 20일과 4월 5일 정식이 각각 10,539kg와 10,517kg으로 9% 증수되었으며 노지재배에서는 5월 20일 정식구의 4,163㎏ 대비 4월 20일 4,785kg, 5월 5일 정식 4,872kg으로 각각 15%와 17%가 증수되었다. 10a당 상품수량은 총수량과 거의 유사한 경향을 보였는데 노지재배 정식기별 3처리의 평균 상품수량은 4,039kg으로 시설재배 정식기별 3처리의 평균 상품수량 9,183kg의 43.9% 수준이었다. 정식기간에서는 시설과 노지재배 모두 두 번째로 정식한 4월 5일과 5월 5일 정식이 각각 9,548kg과 4,265kg으로 만식한 4월 20일과 5월 20일 정식 대비 13%와 14%가 증수되었으며 조기 정식한 시설재배 3월 20일과 노지재배 4월 20일 정식은 각각 9,526kg과 4,112kg으로 만식한 4월 20일과 5월 20일 정식 대비 12%와 10%가 증수되었었는데 상품율의 차이에 기인한 것으로 시설재배는 4월 5일 정식이 90.8%로 가장 높고 그 다음이 3월 20일 정식 90.4%, 그리고 4월 20일 정식이 88%로 가장 낮았으며 노지재배는 5월 20일 정식 89.8%, 5월 5일 정식 87.5%, 4월 20일 정식 85.9% 순이었다.
Table 3.
Total yield and marketable yield according to the planting time by a method of cultivation in momordica charantia L.
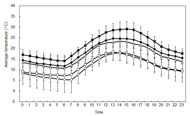
최근 여주가 고혈압, 당뇨 등에 효과(Ali 등, 1993; Sitasawad 등, 2000; Fonseka 등, 2007; Yaniv와 Bachrach 2005; Tsang 등, 2008) 가 있다고 알려져 농가의 새로운 소득작물로 부상하면서 급격하게 재배면적이 늘어나 전국적으로 출하가 가능한 7월 하순~8월 중하순 성출하기에는 가격이 kg당 1,000~1,500원 정도로 매우 낮은 실정이다. 그래서 남부지방의 따뜻한 기후적 특성을 살려 타 지역에서 생산하지 않은 5~6월과 9~11월에 여주를 생산하고 상품수량을 높이는 것이 농가 소득향상 측면에서 매우 중요하다. 따라서 타도에서 여주를 재배하지 않은 시기에 여주를 생산하기 위해 시설과 노지의 재배방법과 정식기별 생산성을 비교한 결과 수확과실의 월별 상품수량(Fig. 2.)은 시설재배의 경우 정식기가 가장 빠른 3월 20일 정식은 5~9월, 45일 4월 20일의 4월 정식 2처리에서는 6~9월까지 4개월을 수확하였다 특히 시설재배의 3~4월의 조기정식에서는 전국의 성출하기 이전에 전체 생산량의 54~59%를 생산 할 수 있어 농가소득에 크게 도움이 될 것으로 생각된다. 노지재배의 경우는 3처리 정식 모두 7~9월까지 3개월간 수확이 가능하였지만 5~6월의 조기 생산은 할 수가 없었다. 이상의 결과로 볼 때 조기 상품수량 향상과 농가 소득증대를 위해서는 시설재배를 통한 3월 20일~4월 5일의 조기 정식이 필요하며 일반 노지재배의 정식기는 늦서리의 위험이 없어진 4월 20일~5월 5일 사이가 적당할 것으로 판단된다.





