Protected Horticulture and Plant Factory
ABSTRACT
본 연구는 딸기 ‘매향’ 품종의 과실을 수확 한 후 LPE 용액에 침지처리 한 뒤 저장기간 동안 당도, 색도, 경도 및 생체중 변화를 조사하여 적정 LPE 처리 농도 및 적정 숙도를 구명하고자 실시하였다. 숙도 70%인 과실을 LPE 0(증류수, 대조구), 10, 50, 100mg·L-1 농도에 1분간 침지하거나, 딸기 꼭지에서부터 익은 비율로 숙도 0%, 50%, 70%, 100%로 등급화한 후에 LPE 0(증류수, 대조구), 2.5, 5, 10, 25mg·L-1 농도에 1분간 침지한 후 실온(20oC±1)에서 40분간 자연건조 한 뒤 4oC 저장고에 12일간 저장하였다. 저장 기간 동안 생체중, 종경도, 횡경도, 색도 및 당도 변화를 조사하였다.
숙도 70% 과실을 수확 후 LPE 0, 10, 50, 100mg·L-1 농도에 침지 후 저장하며 과실의 생체중을 측정하였을 때 처리 농도별 유의차가 없었다. 종경도는 저장 3일째에는 무처리구와 LPE 10mg·L-1 처리구에서 가장 높았다. 저장 6일째부터 12일까지는 10mg·L-1 처리구에서 가장 높았다. 횡경도는 저장 9일째 10과 50mg·L-1에서 가장 높게 측정되었으나 12일째에는 10mg·L-1 처리구는 무처리구와 차이가 없었고 50과 100mg·L-1에서 가장 낮았다. 색차계 L*과 b* 값은 LPE 처리 농도별 저장 기간 별 유의차가 없었고, a* 값은 저장 12일째에 LPE 10mg·L-1 처리를 포함한 모든 농도에서 무처리구에 비하여 높았다.
숙도 0%, 50%, 70%, 100%로 등급화한 후에 LPE 0(증류수, 대조구), 2.5, 5, 10, 25 mg·L-1 농도에 침지한 후 저장하였을 때 과실 생체중은 LPE 처리농도별 유의차가 없었다. 종경도와 횡경도는 LPE 처리농도와 상관 없이 숙도 0% >50%> 70%> 100% 순으로 높았다. LPE 농도 처리에 의한 영향은 종경도는 숙도 70% 과실의 경우 저장 3, 6, 12일째 모두 LPE 5mg·L-1에서 가장 높았고 12일째는 LPE 처리구 모두 무처리구에 비해 높았다. 숙도 100% 과실의 경우 저장 12일째에 LPE 10mg·L-1에서 종경도가 무처리구에 비해 높았지만 25mg·L-1에서는 종경도 및 횡경도 모두 가장 낮았다.
색차계 L, b 값은 LPE 처리와 관계없이 숙도 0% > 50% > 70% > 100% 순으로 높아 숙도에 따라 유의차가 있었다. 숙도100%에서 가장 낮은 L*과 b*값이 측정되었다. 숙도 50%와 70% 과실의 경우 저장기간 중 다른 처리구에 비해 5mg·L-1에서 L*, b* 값이 가장 높았다. 숙도 100%의 경우 25mg·L-1에서는 가장 낮은 값을 보여 과숙이 유발된 것으로 판단된다. 색차계 a* 값은 L*과 b*와는 반대로 그 값의 증가는 숙도가 높음을 의미하는 것으로 숙도 0, 50, 70, 100% 모두에서 LPE 처리 효과를 구분할 수 없었고, 당도는 처리별, 기간별 유의차가 없었다. 결론적으로, LPE는 저장 중인 딸기 과실의 생체중에 영향을 주지 않으면서 경도 및 색도 변화에는 영향을 주는 것을 알 수 있다. 숙도 70% 과실은 타 숙도에 비해 저장성 증대효과가 크며, 숙도 70%일 때 처리농도 LPE 5mg·L-1에서 저장성 증대에 효과적 이였다.
서 론
딸기(Fragaria spp.)는 페놀화합물, 카로티노이드, 안토시아닌 등 항산화 물질과 비타민C 등을 함유하고 있는 (Zheng 등, 2007; Azzini 등, 2010) 기능성 채소이다. 딸기의 국내 총 생산량은 2014년에 20.9만 톤이었고 (MAFRA, 2015) 같은 해 딸기 수출량은 3,063톤으로 신선과채류 수출 2위 품목이다(aT. 2015). 주요 수출품종인 매향의 주요특성은 화방 당 화수는 10-15개 정도이고 당도가 높고 산도는 낮으며, 경도가 우수하여 저장성이 좋은 특징을 가지고 있다(Kim 등, 2004). 수출 딸기는 원물 특성상 물러짐 현상이 매우 커서 70% 숙도에서 수확한 것을 대부분 항공으로 수출하고 있으며, 수출과정에서 물류비 비중이 커서 이를 절감하기 위한 선박수출에 필요한 저장기간 연장 및 품질유지는 매우 중요한 요인이다.
딸기는 비호흡급등형(non-climacteric) 과실로 수확 후 저장 및 유통 과정에서 오염, 손상, 연화, 변색 등이 일어나 외관품질이 저하 되어 수출 등 장거리 운송에 따른 비용과 품질유지의 문제가 있다. 이런 과실의 수확 후 저장유통 중에 발생하는 과실의 외적·내적문제를 억제하고자 예냉(Kim 등, 2013), 저온저장 및 1-MCP 처리(Bower 등, 2003), 고농도 CO2 처리(Roger 등, 2000), 열처리(Vicente 등, 2002), 열탕처리(García 등, 1996), 시트르산 처리(Magdy Abd-Elhady, 2014), 살리실산과 칼슘침지 처리(Shafiee 등, 2010) 및 그 외 감마선처리나 AP포장(Jouki와 Khazaei, 2014)등 많은 수확 후 처리방법이 개발되고 있다.
최근 LPE(Lysophosphatidylethanolamine), 즉 난황에서 추출한 천연 인지질(Sotirhos 등, 1986)을 처리한 과실의 저장기간, 색깔, 품질 및 수량이 증가되었다는 보고가 있다(Amaro와 Almeida, 2013; Cowan, 2009; Farag와 Palta, 1993a). LPE 처리방법에는 엽면살포법, 진공침투법, 침지법, 용액법 등의 방법이 있고 그 효과는 과실의 경도향상, 과실 성숙촉진, 색깔 균일화, 안토시아닌 함량 증가, 에틸렌 생성촉진, 내냉성 증가, 에틸렌생성 감소, 저장기간 연장, 생체중 감소지연, 노화지연, 착과수 증가, 칼슘부족장해 완화, 개화연장 및 촉진 등이 보고되었다(Amaro와 Almeida, 2013). 수확 전과 수확 후 원예작물에 대한 LPE 처리 사례로서 토마토, 바나나, 사과, 크랜베리, 오렌지, 메론 등에 대한 연구결과들은 보고되고 있으나(Cowan, 2009), 딸기에 관한 연구 자료는 미비한 실정이다.
따라서 본 실험은 딸기 저장기간 연장과 품질유지에 미치는 LPE 처리에 관한 기초 자료를 얻고자 수행하였다. 수출용 딸기 ‘매향’ 품종의 과실을 수확한 후 LPE 용액에 침지처리한 후 저장기간 동안 당도, 색도, 경도 및 생체중 변화를 조사하여 적정 LPE 처리 농도 및 적정 숙도를 구명하였다.
재료 및 방법
1. 식물 재배 및 환경
딸기 ‘매향(Fragaria×ananassa L. ‘Maehang’)’ 품종을 경남 진주시 수곡면의 고설수경재배 온실에서 2014년 10월 15일부터 2015년 3월 15일까지 재배하면서 실험을 실시하였다. 재배기간 동안 온실 일평균 누적광량은 670.0MJ·m-2·day, 일평균온도는 13.4oC, 주간/야간 평균온 도는 18.8oC/9.4oC로, 일평균 CO2 농도는 403.5mg·L-1로 유지되었다(자료 미제출).
2. LPE 침지처리
분석에 사용된 LPE(상품명 시그마프레쉬, ㈜두산)는 유기농업자재로 등록된 레시틴 7% 함유된 것으로 증류수로 희석하여 사용하였다. 수출용 딸기 숙도 70%의 LPE 효과를 알아보고자 LPE 0(증류수, 대조구), 10, 50, 100mg·L-1 농도에 처리 당 6개의 딸기 과실을 1분간 침지하였다. 분석용 시료는 2014년 2월 13일에 수확한 것으로 강원대학교 실험실로 운반되어 2월 14일에 처리시작하여 2월 26일까지 조사하였다.
딸기 숙도에 미치는 LPE 농도 영향을 알아보고자 딸기 꼭지에서부터 익은 비율로 숙도 0%, 50%, 70%, 100%로 등급화한 후에 LPE 0(증류수, 대조구), 2.5, 5, 10, 25mg·L-1 농도에 처리 당 12개의 딸기 과실을 1분간 침지하였다. 분석용 시료는 2014년 3월 9일 수확한 것을 강원대학교 실험실로 운반되어 3월 10일 처리 시작하여 3월 22일까지 조사하였다.
LPE 처리는 침지 후 실온(20oC±1)에서 40분간 자연건조한 뒤 4oC 저장고(IL-21, JEIO TECH, Korea)에서 12일간 저장하였다. 저장 기간 동안 생체중, 종경도, 횡경도, 색도 및 당도 변화를 3일 간격으로 조사하였다.
3. 조사항목
생체중 변화는 저울(Paga4102C, Ohaus, China)을 사용하여 무게를 측정하였다. 경도는 과실 위아래 0.5cm 절단한 후 중심부로부터 5~10mm 바깥 위치를 탐침 지름 ∅3mm가 장착된 경도계(Rheo meter compac-100Ⅱ, Sun Scientific Co., Tokyo, Japan)로 수직방향(종경도)과 수평방향(횡경도)을 측정하였다. 색도 변화는 색차계(Chroma meter, CR-400, Japan)를 이용하여 Hunter L*, a*, b* 값을 측정하였다. ‘L’값은 0(black)부터 100(white) 까지, ‘a’ 값은 양수인 redness 부터 음수인 greenness, 그리고 ‘b’값은 양수인 yellowness부터 음수인 blueness로 수치화하였다. 당도는 당도계(Refractometer PAL-1, Atago, Japan)로 측정하였다.
4. 통계분석
통계적 유의성 검정은 SAS(Statistical Analysis System) 프로그램을 이용하여 던컨의 다중범위검정 (Duncan’s multiple range test)을 사용하여 검증하였다.
결과 및 고찰
1. 딸기 매향 70% 숙도에 미치는 LPE 영향
숙도 70% 과실을 수확 후 LPE 0, 10, 50, 100mg·L-1 농도에 침지 후 저장하며 과실의 생체중을 측정하였을 때 처리 농도별 유의차가 없었다(Fig. 1). 딸기 과실 중심주 인접부의 종경도와 횡경도를 측정한 결과 모든 LPE 농도 처리에서 종경도가 높고, 횡경도가 낮았다. 종경도는 저장 3일째에는 무처리구와 LPE 10mg·L-1 처리구에서 가장 높았고 50과 100mg·L-1에서 가장 낮았다. 저장 6일째부터 12일까지 종경도는 10mg·L-1 처리구에서 가장 높았다(Table 1). 횡경도는 저장 9일째 10과 50mg·L-1에서 가장 높게 측정되었으나, 12일째에는 10mg·L-1 처리구는 무처리구와 차이가 없었고, 50과 100mg·L-1에서 가장 낮았다. 저장 후 3일째에서 6일째 되는 날의 종경도가 LPE 처리와 관계없이 모든 처리구에서 높아진 이유는 경도계로 과실의 수직방향을 측정할 때 측정위치에 따른 측정값의 차이인 것으로 보인다. 하지만 이 증가된 값이 처리별 통계적 유의차를 보였다(Table 1). 또한 횡경도의 경우도 6일째 되는 날 LPE 처리와 관계없이 모든 처리구에서 높아지나 LPE 10ppm에서 증가 정도가 다른 처리와 통계적 유의차를 보였다.

Fig. 1
Change of fruit fresh weight in the ripening of 70%. The fruits were stored at 4oC after dipped in the LPE at 0(Control), 10, 50, or 100mg·L-1 concentration. Bars indicate standard errors (±) of means for 6 fruits per treatment during storage periods, 3, 6, 9, and 12 days.
Table 1.
Change of vertical (VH) and horizontal (HH) hardness of fruit in the degree of ripening of 70% during storage periods, 3, 6, 9, and 12 days. The fruits were stored at 4oC after dipped in the LPE at 0 (Control), 10, 50, or 100mg·L-1 concentration. Data indicate means for 6 fruits per treatment.
| LPE (mg·L-1) | VH (g/ 3mm) | HH (g/ 3mm) |
|---|
| 3days | 6days | 9days | 12days | 3days | 6days | 9days | 12days |
|---|
| 0 | 665abcd | 727abc | 620abcd | 580bcd | 332bcd | 427abc | 393abcd | 373abcd |
| 10 | 583abcd | 787a | 763ab | 612abcd | 300cd | 433abc | 473a | 358abcd |
| 50 | 567bcd | 710abcd | 718abc | 533cd | 305cd | 378abcd | 448ab | 258d |
| 100 | 507d | 680abcd | 608abcd | 558bcd | 303cd | 348abcd | 283d | 279d |
| day×LPE | * | * |
색차계 L*과 b* 값은 LPE 처리 농도별 저장 기간 별 유의차가 없었고, a* 값은 저장 12일째에 LPE 10mg·L-1 처리를 포함한 모든 농도에서 무처리구에 비하여 높았다(Table 2). 딸기 과실이 성숙하면서 착색이 진행될수록 색차계 a* 값은 증가하는 반면 L*, b* 값은 감소하는 것으로 알려져 있다(Kim 등, 2013). 따라서 LPE 10mg·L-1 이상의 농도에서 과실의 성숙은 무처리구에 비해 더 많이 진행된 것으로 판단된다.
Table 2.
Change of color difference of L, b and a of fruit in the different degree of ripening of 70% during storage periods, 3, 6, 9, and 12 days. The fruits were stored at 4oC after dipped in the LPE at 0 (Control), 10, 50, or 100mg·L-1 concentration. Data indicate means for 6 fruits per treatment.
| LPE (mg·L-1) | L | a | b |
|---|
| 3days | 6days | 9days | 12days | 3days | 6days | 9days | 12days | 3days | 6days | 9days | 12days |
|---|
| 0 | 43.07a | 44.20a | 39.05a | 42.08a | 18.15b | 19.47b | 21.97b | 20.45b | 17.58a | 17.23ab | 14.15bc | 15.85abc |
| 10 | 40.50a | 41.73a | 40.00a | 39.63a | 21.12b | 19.15b | 22.97b | 39.63a | 16.82abc | 15.77abc | 14.78abc | 13.73c |
| 50 | 39.32a | 43.10a | 41.57a | 38.98a | 22.82b | 18.90b | 22.78b | 38.98a | 15.72abc | 17.12ab | 16.08abc | 14.47abc |
| 100 | 42.30a | 42.03a | 39.57a | 38.95a | 20.17b | 21.75b | 23.37b | 38.95a | 17.53a | 16.90abc | 15.13abc | 14.13bc |
| day×LPE | ns | ** | ns |
과실의 당도는 LPE 처리 농도별 저장 기간 별 유의차가 없었다(Fig. 2). 이 결과들로 LPE 10mg·L-1 농도가 숙도 70% 과실의 저장기간을 연장하는데 효과가 있는 것으로 보이고 LPE 50mg·L-1 이상의 농도에 침지하는 것은 오히려 역효과를 주는 것으로 생각된다. 일반적으로 과수의 경우 높은 LPE 농도에 침지하는 것으로 보고 되었는데 그 예로 열대 과일인 바나나의 경우 LPE 500mg·L-1 용액에 30분간 침지하였을 때 침지하지 않은 대조구에 비해 과피로부터 이온 누출액이 감소되어, 저장기간이 하루 더 길어졌다고 한다(Ahmed와 Palta, 2010, 2011). 사과 및 크랜베리를 수확 후 LPE 50-100mg·L-1 농도에 진공침투나 침지처리를 하였을 때 에틸렌 생산을 촉진했지만 대조구에 비해 호흡율 변화가 없었고 과일의 연화가 감소되었다고 한다(Farag와 Palta, 1991). 또한 오렌지에 LPE 480mg·L-1 뿌린 후 온도 20oC 상대습도 90%로 10일 동안 저장하면 과피의 피팅현상이 감소되나 대조구에 비해 과일 부패가 50% 정도 증가되었다고 보고(Alferez et al., 2008)되고 있고 멜론을 LPE 200mg·L-1 으로 처리한 후 5oC에 저장하였을 때, 색도, 경도, 당도 및 에틸렌생산에 영향을 미치지 않았다고 한다(Amaro 등, 2012).

Fig. 2
Change of sugar content(oBrix) fruit in the ripening of 70% during storage periods, 3, 6, 9, and 12 days. The fruits were stored at 4oC after dipped in the LPE at 0(Control), 10, 50, or 100mg·L-1 concentration. Bars indicate standard errors(±) of means for 6 fruits per treatment.
2. 과실 숙도에 따른 LPE 침지처리와 숙도 및 경도 변화
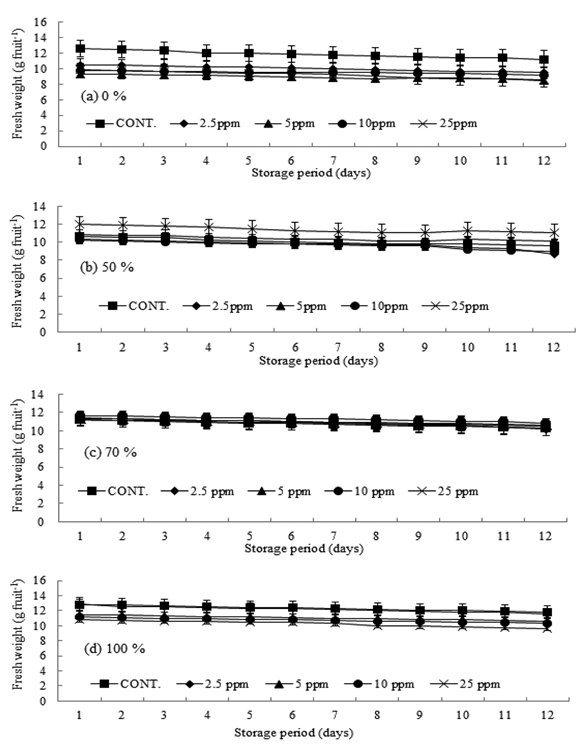
과실 생체중은 저장 기간 중 숙도 0, 50, 70, 100% 모두에서 LPE 처리농도별 유의차가 없었다(Fig. 3). 종경도와 횡경도는 LPE 처리농도와 상관없이 숙도 0% > 50% > 70% > 100% 순으로 높았다(Table 3). LPE 농도 처리에 의한 영향은 종경도의 경우 숙도 70% 과실에서만 나타났다. 숙도 70% 과실의 경우 저장 3, 6, 12일째 모두 LPE 5mg·L-1에서 가장 종경도가 높았고 12일째는 LPE 처리구 모두 무처리구에 비해 종경도와 횡경도가 높았다. 숙도 100% 과실의 경우 저장 12일째에 LPE 10mg·L-1에서 종경도가 무처리구에 비해 높지만 가장 높은 농도인 25mg·L-1에서는 종경도 및 횡경도 모두 가장 낮았다. 이 결과로 숙도가 LPE 침지 처리 효과에 중요한 요인이 되는 것을 알 수 있었다. 즉, 숙도 0%는 저장기간 중 LPE 효과가 나타나지 않았고 숙도 70%에서는 LPE 처리구에서 종경도와 횡경도 모두 증가하여 과숙지연 효과가 나타난 것으로 보인다. 하지만 100%일 때는 무처리구에 비해 10mg·L-1 처리구에서 종경도, 횡경도가 증가되어 과숙지연 효과가 있지만 가장 고농도인 25mg·L-1에서는 종경도와 횡경도 모두 무처리구 보다 낮아 오히려 과숙지연의 역효과가 나타난 것으로 판단된다. 앞서 발표된 다른 연구결과에서도 LPE는 과실의 숙성단계에 따라 그 효과가 다르게 나타난다고 보고하였다. 토마토 녹숙과의 과피를 LPE에 처리하였을 때 에틸렌 발생을 촉진시켰으나, 완숙과의 과피를 처리하였을 때는 에틸렌 발생이 저해되었다(Hong 등, 2002; Hong, 2006). 즉, LPE는 숙도를 촉진하여 이른 수확 후 품질 향상을 시키기도 하고(Farag와 Palta, 1993b; Ozgen와 Palta, 1999), 반대로 오히려 노화를 지연시켜 수명을 연장시키는 효과가 있다(Farag와 Palta, 1993a; Kaur와 Palta, 1997)는 결과와 일치된다.

Fig. 3
Change of fruit fresh weight in the different degree of ripening of 0, 50, 70, and 100% stored at 4oC after dipped in the LPE at 0(Control), 2.5, 5, 10, or 25mg·L-1 concentration. Bars indicate standard errors (±) of means for 12 replications per treatment.
Table 3.
Change of vertical (VH) and horizontal (HH) hardness of fruit in the different degree of ripening of 0, 50, 70, and 100% during storage periods, 3, 6, 9, and 12 days. The fruits were stored at 4oC after dipped in the LPE at 0 (Control), 2.5, 5, 10, or 25mg·L-1 concentration. Data indicate means for 12 fruits per treatment
| Maturity | LPE mg·L-1 | VH (g/ 3mm) | HH(g/ 3mm) |
|---|
| 3days | 6days | 9days | 12days | day×LPE | 3days | 6days | 9days | 12days | day×LPE |
|---|
| 0% | 0 | 643ab | 657ab | 1000a | 643ab | ns | 750abc | 680abc | 850abc | 487bc | ns |
| 2.5 | 983a | 863ab | 857ab | 560b | 1153a | 800abc | 563bc | 460c |
| 5 | 723ab | 773ab | 667ab | 693ab | 743abc | 743abc | 613bc | 557bc |
| 10 | 830ab | 717ab | 490b | 647ab | 827abc | 600bc | 393c | 487bc |
| 25 | 883ab | 663ab | 583ab | 663ab | 997ab | 590bc | 593bc | 583bc |
| Average | 812.7 | 734.7 | 719.3 | 641.3 | 893.3 | 682.7 | 602.7 | 526.7 |
| 50% | 0 | 487a | 390abc | 377abc | 487a | ns | 450ab | 460a | 347abcd | 307cd | * |
| 2.5 | 403abc | 357bc | 393abc | 380abc | 360abcd | 323abcd | 313bcd | 307cd |
| 5 | 387abc | 333c | 400abc | 403abc | 320bcd | 277d | 320bcd | 393abcd |
| 10 | 370abc | 360bc | 390abc | 460ab | 443abc | 363abcd | 440abc | 370abcd |
| 25 | 447abc | 377abc | 407abc | 417abc | 293d | 323abcd | 317bcd | 413abcd |
| Average | 418.7 | 363.3 | 393.3 | 429.3 | 373.3 | 349.3 | 347.3 | 355.3 |
| 70% | 0 | 383abcd | 317cde | 330bcde | 290e | * | 340ab | 260b | 390ab | 273b | ns |
| 2.5 | 397abc | 300de | 337bcde | 347bcde | 400ab | 267b | 267b | 330ab |
| 5 | 437a | 407ab | 323bcde | 393abc | 423a | 270b | 313a | 380ab |
| 10 | 330bcde | 350bcde | 350bcde | 377abcde | 347ab | 287ab | 340ab | 330ab |
| 25 | 340bcde | 353bcde | 330bcde | 317cde | 343ab | 270b | 267b | 313ab |
| Average | 377.3 | 345.3 | 334.0 | 344.7 | 370.7 | 270.7 | 315.3 | 325.3 |
| 100% | 0 | 300b | 330ab | 323ab | 330ab | ns | 277abcd | 223cd | 317abc | 227bcd | ns |
| 2.5 | 303b | 310ab | 297b | 310ab | 323abc | 257abcd | 333a | 280abcd |
| 5 | 313ab | 300b | 340ab | 340ab | 280abcd | 280abcd | 327ab | 243abcd |
| 10 | 340ab | 277b | 330ab | 390a | 320abc | 240abcd | 310abc | 267abcd |
| 25 | 303b | 323ab | 300b | 257b | 263abcd | 243abcd | 303abc | 190d |
| Average | 312.0 | 308.0 | 318.0 | 325.3 | 292.7 | 248.7 | 318.0 | 241.3 |
Table 4.
Change of color difference of L, b and a of fruit in the different degree of ripening of 0, 50, 70, and 100% during storage periods, 3, 6, 9, and 12 days. The fruits were stored at 4oC after dipped in the LPE at 0 (Control), 2.5, 5, 10, or 25mg·L-1 concentration. Data indicate means for 12 fruits per treatment.
| Maturity | LPE (mg·L-1) | L | a | b |
|---|
| 3days | 6days | 9days | 12days | day×LPE | 3days | 6days | 9days | 12days | day×LPE | 3days | 6days | 9days | 12days | day×LPE |
|---|
| 0% | 0 | 58.3a | 53.2abcde | 53.6abcde | 47.6fgh | ** | -9.57d | -5.97bcd | -9.55d | 5.48a | ** | 20.2ab | 18.7abcd | 19.2abc | 16.9d | ** |
| 2.5 | 56.4abc | 54.4abcd | 51.0cdefgh | 56.4abc | -10.5d | -3.81abcd | 6.45a | -10.5d | 20.6a | 19.0abcd | 18.8abcd | 20.6a |
| 5 | 57.1ab | 54.4abcd | 52.7abcdef | 52.9abcdef | -10.7d | -8.18d | 0.20abcd | -1.89abcd | 20.0ab | 19.4abc | 19.4abc | 19.3abc |
| 10 | 56.5abc | 51.7bcdefg | 47.1gh | 48.2efgh | -10.2d | -0.88abcd | 4.04ab | 2.93abc | 20.5a | 18.9abcd | 18.1bcd | 17.5cd |
| 25 | 53.8abcd | 54.5abcd | 50.1defgh | 46.0h | -7.29cd | -6.08bcd | -1.99abcd | 6.0a | 19.4abc | 19.7ab | 18.7abcd | 16.8d |
| Average | 56.4 | 53.6 | 50.9 | 50.2 | -9.6 | -5.0 | -0.2 | 0.4 | 20.1 | 19.1 | 18.8 | 18.3 |
| 50% | 0 | 47.9a | 44.8ab | 33.5ef | 36.2def | ** | 12.9d | 16.5abcd | 19.2abc | 18.8abc | * | 16.8abcd | 18.2ab | 12.5defg | 10.6fg | ** |
| 2.5 | 42.5abc | 45.5ab | 36.8cdef | 34.6def | 20.0abc | 15.5bcd | 20.3abc | 18.2abc | 16.5abcde | 16.4abcde | 12.9cdefg | 9.0g |
| 5 | 47.6a | 38.7cde | 37.4cde | 37.6cde | 14.9cd | 20.3abc | 20.1abc | 20.8ab | 18.6a | 13.6abcdef | 13.0cdefg | 12.2defg |
| 10 | 46.1ab | 42.3abc | 31.0f | 36.6cdef | 16.8abcd | 19.4abc | 20.1abc | 19.0abc | 17.5abc | 16.0abcde | 17.8abc | 10.1g |
| 25 | 45.5a | 40.3bcd | 35.8def | 34.9def | 17.0abcd | 21.8a | 20.3abc | 18.0abcd | 18.0ab | 15.3abcdef | 11.7efg | 9.2g |
| Average | 46.1 | 42.1 | 35.2 | 35.8 | 16.3 | 18.7 | 20.1 | 18.9 | 17.5 | 15.9 | 13.5 | 10.1 |
| 70% | 0 | 39.0bcde | 38.1cdef | 35.0fgh | 34.7fgh | ** | 23.0a | 22.3abc | 20.2abcdef | 19.1def | ** | 15.0a | 14.0ab | 12.1bc | 9.33def | ** |
| 2.5 | 39.8abcd | 36.7defg | 32.1h | 34.8fgh | 22.7ab | 21.3abcde | 19.9bcdef | 18.3ef | 15.8a | 12.3bc | 10.5cdef | 9.21ef |
| 5 | 42.4ab | 40.8abc | 35.5fgh | 35.5 efgh | 20.1abcdef | 20.4abcdef | 19.4def | 19.2def | 16.2a | 15.6a | 11.7bcde | 10.1cdef |
| 10 | 41.8ab | 35.9efg | 34.1gh | 33.3gh | 21.9abcd | 20.0bcdef | 18.7ef | 17.7f | 16.4a | 11.8bcd | 10..3cdef | 8.09f |
| 25 | 42.7a | 36.2efg | 35.3fgh | 33.9gh | 19.6cdef | 22.0abcd | 20.4abcdef | 18.1f | 16.1a | 12.6bc | 11.4cde | 8.74f |
| Average | 41.1 | 37.5 | 34.4 | 34.4 | 21.5 | 21.2 | 19.7 | 18.5 | 15.9 | 13.3 | 11.2 | 9.1 |
| 100% | 0 | 34.3abcd | 34.6abcd | 32.8cde | 35.4ab | ** | 21.2abcd | 21.3abc | 18.7cdefg | 16.4g | ** | 10.6abcd | 11.2abc | 9.42cdef | 7.92fg | ** |
| 2.5 | 36.5a | 34.9abc | 32.5de | 34.8abc | 22.6ab | 20.0bcdef | 18.3defg | 17.9fg | 12.6a | 10.6abcd | 8.98def | 8.25ef |
| 5 | 35.5a | 34.7abc | 31.8e | 35.7a | 23.2a | 20.1bcdef | 17.5fg | 17.6fg | 12.1ab | 10.2bcde | 8.28ef | 8.34ef |
| 10 | 35.0abc | 34.3abcd | 33.2bcde | 34.6abcd | 22.8ab | 20.0bcdef | 20.8abcde | 17.8fg | 11.8ab | 10.2bcde | 10.3bcde | 8.33ef |
| 25 | 36.3a | 35.7a | 31.2e | 32.5de | 23.3a | 21.0abcd | 18.1efg | 13.8h | 12.6a | 11.2abc | 8.19ef | 6.18g |
| Average | 35.5 | 34.8 | 32.3 | 34.6 | 22.6 | 20.5 | 18.7 | 16.7 | 11.9 | 10.7 | 9.0 | 7.8 |
색차계 L*, b* 값은 LPE 처리와 관계없이 숙도에 따라 유의차가 있었는데 숙도 0% > 50% > 70% > 100% 순으로 높았다. 색차계 L*과 b*가 낮다는 것은 착색이 진행된다는 것이고(Kim 등., 2013), 이는 숙도가 높음을 의미한다. 따라서 LPE 처리 농도와 관계없이 숙도 100%에서 가장 낮은 L*과 b*값이 측정된 것을 알 수 있다. 숙도 50%와 70% 과실의 경우 저장기간 중 다른 처리구에 비해 5mg·L-1에서 L*, b* 값이 가장 높았다. 숙도 100%의 경우 L* 값은 5mg·L-1 처리구에서, b* 값은 2.5, 5, 10mg·L-1 모두 무처리구보다 높았던 반면 25mg·L-1에서는 가장 낮은 값을 보여 과숙된 것으로 판단된다. 숙도가 100%일 때 LPE 25mg·L-1 처리구에서 종경도와 횡경도 모두 대조구 보다 낮았던 것과 일치되는 결과로 보인다(Table 2). 색차계 a*값은 L*과 b* 값과는 반대로 그 값의 증가는 착색이 진행된다는 것이고(Kim 등, 2013), 이는 숙도가 높음을 의미하는 것이다. 숙도 0, 50, 70, 100% 모두에서 LPE 처리 간 a* 값의 유의차가 없었다. 당도는 처리별, 기간별 유의차가 없었다(자료 미제출).
위의 결과들로 LPE는 저장 중인 딸기 과실의 생체중에 영향을 주지 않으면서 경도 및 색도에 영향을 준다는 것을 알 수 있었다. 특히, 경도가 색도보다 명확한 지표가 됨을 알 수 있었다. 또, 숙도 70% 일 때 타 숙도에 비해 저장성 증대효과가 큰 것으로 나타나 숙도가 LPE 처리 효과에 중요한 요인이라는 것을 알 수 있었다. 또한 숙도 70%일 때 처리농도 5ppm이 저장성 증대에 다른 농도보다 효과적임을 알 수 있었고 고농도의 LPE처리는 저장성에 오히려 역효과를 주는 것을 알 수 있었다. 따라서 수출용 딸기의 숙도가 70%임을 고려할 때 LPE 5mg·L-1 침지처리는 저장성 증대효과가 있어 장거리 수송 중 선도 유지가 가능하여 수출물류비 절감과 교역조건을 개선 할 수 있다고 판단된다.
적 요
본 연구는 딸기 ‘매향’ 품종의 과실을 수확 한 후 LPE 용액에 침지처리 한 뒤 저장기간 동안 당도, 색도, 경도 및 생체중 변화를 조사하여 적정 LPE 처리 농도 및 적정 숙도를 구명하고자 실시하였다. 숙도 70%인 과실을 LPE 0(증류수, 대조구), 10, 50, 100mg·L-1 농도에 1분간 침지하거나, 딸기 꼭지에서부터 익은 비율로 숙도 0%, 50%, 70%, 100%로 등급화한 후에 LPE 0(증류수, 대조구), 2.5, 5, 10, 25mg·L-1 농도에 1분간 침지한 후 실온(20oC±1)에서 40분간 자연건조 한 뒤 4oC 저장고에 12일간 저장하였다. 저장 기간 동안 생체중, 종경도, 횡경도, 색도 및 당도 변화를 조사하였다.
숙도 70% 과실을 수확 후 LPE 0, 10, 50, 100mg·L-1 농도에 침지 후 저장하며 과실의 생체중을 측정하였을 때 처리 농도별 유의차가 없었다. 종경도는 저장 3일째에는 무처리구와 LPE 10mg·L-1 처리구에서 가장 높았다. 저장 6일째부터 12일까지는 10mg·L-1 처리구에서 가장 높았다. 횡경도는 저장 9일째 10과 50mg·L-1에서 가장 높게 측정되었으나 12일째에는 10mg·L-1 처리구는 무처리구와 차이가 없었고 50과 100mg·L-1에서 가장 낮았다. 색차계 L*과 b* 값은 LPE 처리 농도별 저장 기간 별 유의차가 없었고, a* 값은 저장 12일째에 LPE 10mg·L-1 처리를 포함한 모든 농도에서 무처리구에 비하여 높았다.
숙도 0%, 50%, 70%, 100%로 등급화한 후에 LPE 0(증류수, 대조구), 2.5, 5, 10, 25 mg·L-1 농도에 침지한 후 저장하였을 때 과실 생체중은 LPE 처리농도별 유의차가 없었다. 종경도와 횡경도는 LPE 처리농도와 상관 없이 숙도 0% >50%> 70%> 100% 순으로 높았다. LPE 농도 처리에 의한 영향은 종경도는 숙도 70% 과실의 경우 저장 3, 6, 12일째 모두 LPE 5mg·L-1에서 가장 높았고 12일째는 LPE 처리구 모두 무처리구에 비해 높았다. 숙도 100% 과실의 경우 저장 12일째에 LPE 10mg·L-1에서 종경도가 무처리구에 비해 높았지만 25mg·L-1에서는 종경도 및 횡경도 모두 가장 낮았다.
색차계 L, b 값은 LPE 처리와 관계없이 숙도 0% > 50% > 70% > 100% 순으로 높아 숙도에 따라 유의차가 있었다. 숙도100%에서 가장 낮은 L*과 b*값이 측정되었다. 숙도 50%와 70% 과실의 경우 저장기간 중 다른 처리구에 비해 5mg·L-1에서 L*, b* 값이 가장 높았다. 숙도 100%의 경우 25mg·L-1에서는 가장 낮은 값을 보여 과숙이 유발된 것으로 판단된다. 색차계 a* 값은 L*과 b*와는 반대로 그 값의 증가는 숙도가 높음을 의미하는 것으로 숙도 0, 50, 70, 100% 모두에서 LPE 처리 효과를 구분할 수 없었고, 당도는 처리별, 기간별 유의차가 없었다. 결론적으로, LPE는 저장 중인 딸기 과실의 생체중에 영향을 주지 않으면서 경도 및 색도 변화에는 영향을 주는 것을 알 수 있다. 숙도 70% 과실은 타 숙도에 비해 저장성 증대효과가 크며, 숙도 70%일 때 처리농도 LPE 5mg·L-1에서 저장성 증대에 효과적 이였다.
사 사
본 연구는 농림수산식품기술기획평가원 수출전략기술개발사업의 지원(PJ314027-03)에 의해 수행되었습니다. 2015년도 강원대학교 학술연구조성비로 연구하였습니다.
References
Ahmed, Z.F.R. and J.P. Palta. 2010. Lysophosphatidylethanolamine, a natural phospholipid, may retard senescence and improve the shelf life of banana fruit. HortSci. 45:66 (Abstr.).
Ahmed, Z.F.R. and J.P. Palta, 2011. A natural lipid, lysophosphatidylethanolamine, may promote ripening while reducing senescence in banana fruit. HortSci. 46:273 (Abstr.).
Alferez, F., Y. Lluch, and J.K. Burns. 2008. Phospholipase A2 and postharvest peel pitting in citrus fruit. Postharvest Biol. Technol. 49:69-76.
10.1016/j.postharvbio.2008.01.010Amaro, A.L., J. Fundo, J.C. Beaulieu, R.E. Stein, J.P. Fernandez-Trujillo, and D.P.F. Almeida. 2012. Lysophosphatidylethanolamine effects upon volatiles and quality of fresh-cut cantaloupe melon. Acta Hort. 934:959-965.
10.17660/ActaHortic.2012.934.128Amaro, A.L. and D.P.F. Almeid. 2013, Lysophosphatidylethanolamine effects on horticultural commodities: A review. Postharvest Biol. Technol. 78:92-102.
10.1016/j.postharvbio.2012.12.011Azzini, E., P. Vitaglione, F. Intorre, A. Napolitano, A. Durazzo, M.S. Foddai, A. Fumagalli, G. Catasta, L. Rossi, E. Venneria, A. Raguzzini, L. Palomba, V. Fogliano, and G. Maiani. 2010. Bioavailability of strawberry antioxidants in human subjects. Br. J. Nutr. 104:1165-1173
10.1017/S000711451000187X20487578Bower, J.H., W.V. Biasi, and E.J. Mitcham. 2013. Effects of ethylene and 1-MCP on the quality and storage life of strawberries. Postharvest Biol. Technol. 28:417-423.
10.1016/S0925-5214(02)00208-9Cowan, A.K. 2009. Plant growth promotion by 18:0-lysophosphatidylethanolamine involves senescence delay. Plant Signal. Behav. 4:324-327.
10.4161/psb.4.4.818819794853PMC2664497Farag, K.M. and J.P. Palta. 1991. Enhancing ripening and keeping quality of apple and cranberry fruits using lysophosphatidylethanolamine, a natural lipid. HortSci. 26:67 (Abstr.).
Farag, K. and J.P. Palta. 1993a. Use of lysophoshatidylethanolamine, a natural lipid, to retard tomato leaf and fruit senescence. Physiol. Plant. 87: 515-521.
10.1111/j.1399-3054.1993.tb02501.xFarag, K.M. and J.P. Palta. 1993b. Use of natural lipids to accelerate ripening and enhance storage life of tomato fruit with and without ethephon. HortTech. 3:62-65.
10.21273/HORTTECH.3.1.62García, J.M., C. Aguilera, and M.J. Antonia. 1996. Gray mold in and quality of strawberry fruit following postharvest heat treatment. HortSci. 31:255-257.
10.21273/HORTSCI.31.2.255Hong, J.H., J.R. Altwies, M. Guelzow, and J.P. Palta. 2002. The influence of lysophosphatidylethanolamine, a natural lipid, ethylene production and ACC oxidase activity on mature green vs. red tomatoes. In: XXVI International Horticultural Congress, Toronto, Canada, p.262 (Abstr.).
Hong, J.H. 2006. Lysophosphatidylethanolamine enhances ripening and prolongs shelf life in tomato fruit: contrasting effect on mature green vs red tomatoes. Hortic. Environ. Biotechnol. 47:55-58.
Jouki, M. and N. Khazaei. 2014. Effect of low-dose gamma radiation and active equilibrium modified atmosphere packaging on shelf life extension of fresh strawberry fruits. Food Packaging Shelf Life.I:49-55.
10.1016/j.fpsl.2013.12.001Kaur, N. and J.P. Palta. 1997. Postharvest dip in a natural lipid, lysophosphatidylethanolamine, may prolong vase life of Snapdragon flowers. HortSci. 32:888-890.
10.21273/HORTSCI.32.5.888Korea Agro-Fisheries & Food Trade Corp. (aT). 2015. Import & export statistics.
Kim, T.I., W.S. Jang, J.H. Choi, M.H. Nam, W.S. Kim, and S. S. Lee. 2014. Breeding of Strawberry 'Maehyang' for Forcing Culture. Korean J. Hort. Sci. Tech. 22:434-437.
Kim, H.M. and S.J. Hwang. 2013. Qualitative Changes in Maturity, Precooling Temperatures and Light illumination on the postharvest management of the fruits in 'Maehyang' strawberry for export. Protected Hort. Plant Fac. 22:432-438.
10.12791/KSBEC.2013.22.4.432Kim S.K., R.N. Bae, H. Na, K.D. Ko, and C. Chun. 2013. Changes in physicochemical characteristics during fruit development in June-bearing strawberry cultivars. Hortic. Environ. Biotechnol. 54: 44-51.
10.1007/s13580-013-0166-zMagdy Abd-Elhady. 2014. Effect of citric acid, calcium lactate and low temperature prefreezing treatment on the quality of frozen strawberry. Ann. Agric. Sci. 59:69-75.
10.1016/j.aoas.2014.06.010Ministry of Agriculture, Food and Rural Affairs (MAFRA). 2015. Status of vegetable production statistics.
Ozgen, M., S. Ozgen, and J.P. Palta. 1999. Use of lysophosphatidylethanolamine(LPE), a natural lipid, to accelerate ripening and enhance self life of cranberry fruit. HortSci. 34:538.
10.21273/HORTSCI.34.3.538ERoger, H., F.H.J. Elgar, C.B. Watkins, P.J. Jackson, and I.C. Hallett. 2000. Physical and mechanical changes in strawberry fruit after high carbondioxide treatments. Postharvest Biol. Technol. 19:139-146.
10.1016/S0925-5214(00)00090-9Shafiee, M., T.S. Taghavi, and M. Babalar. 2010. Addition of salicylic acid to nutrient solution combined with postharvest treatments(hot water, salicylic acid, and calcium dipping) improved postharvest fruit quality of strawberry. Sci. Hortic. 124:40-45.
10.1016/j.scienta.2009.12.004Sotirhos, N., B. Herslöf, and L. Kenne. 1986. Quantitative analysis of phospholipids by 31P-NMR. J. Lipid Res. 27:386-392.
Zheng, Y., S.Y. Wang, C.Y. Wang, and W. Zheng. 2007. Changes in strawberry phenolics, anthocyanins, and antioxidant capacity in response to high oxygen treatments. LWT - Food Sci. Tech. 40:49-57.
10.1016/j.lwt.2005.08.013Vicente, AR., G.A. Martinez, P.M. Civello, and A.R. Chaves. 2002. Quality of heat-treated strawberry fruit during refrigerated storage. Postharvest Biol. Technol. 25:59-71.
10.1016/S0925-5214(01)00142-9