Introduction
Materials and methods
1. Plant materials and growth condition
2. Growth parameters
3. Photosynthetic parameters
4. Quality parameters
5. Statistical analysis
Results
1. Growth parameters and photosynthetic capacity
2. Structural characteristics of root
3. Productivity
4. Nutrition content and quality
Discussion
Introduction
Spinach (Spinacia oleracea L.) is the preferred plant for selected greenhouse because it allows the production of many shorter cycles in a year and faster economic returns than some other green vegetables (Brandenberger et al., 2007). Moreover, this is also a vegetable with a rich source of protein, vitamins, carotenoids, soluble sugars and phenolic compounds (Lisiewska et al., 2011). As a result, spinach enlarges to bring more potential in the development of vegetable production in Vietnam. But besides increasing the vegetable production, the vegetable safety is also a primary concern matter. Many metabolic compounds in spinach are found in green vegetables having nutrient compounds such as ascorbic acid, oxalic acid and nitrate content (Proietti et al., 2009). Vitamin C is an effective antioxidant, whereas oxalic acid and nitrate ion NO3- should be reduced minimum in vegetables to reach the user’s safety (DeBolt et al., 2007). Excessive nitrogen uptake or inhibition of nitrogen conversion to protein is due to a number of environmental factors that lead to nitrogen accumulation during plant growth. A small portion of the nitrogen is absorbed through nutrients that are reduced to nitrite by bacteria in the mouth and stomach of users. Nitrit has many other negative effects on human health as it reacts with secondary amines and leads to the formation of carcinogens, mutagens and teratogenic nitrosamines (Oztekin et al., 2018). Some researches reported that leaf crops such as cabbage, lettuce and spinach have fairly large nitrate concentrations whereas storage organs such as potato tubers, carrots, leeks, onions, seeds and pods of pea and bean plants have relatively small concentrations. The former include soil moisture, light intensity and temperature and the latter fertilizers, variety and crop protection strategies (EFSA, 2008).
Consequently, growing vegetables in the hydroponic system combined with light emitting-diodes (LEDs) is the one of high technologies, helping to maintain the production of vegetables in the season and off-season, able to create products that are uniform, high quality, high productivity, easy harvesting, fertilizer optimization, less pest and suitable for planting in urban areas (Tomasi et al., 2015).
In addition, the light conditions (light quality, light intensity and photoperiod) are essential for regulating the plant growth and development. Changes in light spectrum have strongly influenced on plant growth, yield and quality (Macedo et al., 2011). On the other hand, according to Terashima et al. (2009) the light in the red and blue regions of the spectrum are mainly absorbed by photosynthetic pigments. About 90% light absorption by plant leaves are blue or red regions. Thus, photosynthetic rate, physiology and plant growth, development are significantly influenced by blue or red light (Chen et al., 2014).
Previously, green light was considered unrelated to photosynthesis but in recent years there are more researches attracting this attention because green light may involve cryptochrome processes in plant growth (Cui et al., 2009). The green light can participate in the photosynthetic process through pigment photoreceptor proteins in phytochromes and cryptochromes, so it may affect plant growth and development. It has important roles of light absorption similar to blue light (Swartz et al., 2001). According to Hogewoning et al. (2010), the blue and green light also had similar positive impact on plant growth, such as significantly increased photosynthetic capacity and plant biomass in cucumber plants. Green light also has some valuable physiological effects. LEDs (510, 520, 530 nm) as well as green fluorescent lamps, supplemental for red and blue LEDs promoted lettuce growth (Johkan et al., 2012). Green LEDs (505, 530, 535 nm) supplemental to HPS (High Pressure Sodium) and natural illumination affected nutrition quality of different baby leaf lettuce varieties reduced nitrate or increased ascorbic acid, tocopherol, anthocyanin concentrations (Samuolienė et al., 2012). The effects of LEDs (470, 500, 525 and 660 nm, respectively, at 50 μmol/m2/s PPFD) on the growth and the biosynthesis of plant pigments in cabbage leaves were investigated. Red light irradiation induced to enhance the anthocyanin content, although there was no difference in chlorophyll contents and in stem length in a variety. Moreover, in other variety, anthocyanin contents were observed the same level regardless of light quality, and chlorophyll contents were higher under blue and blue-green light than that of green and red light (Mizuno et al., 2009).
As Kim et al. (2004) pointed out, in case the green light combined with red and blue LED light that can promote the plant growth. Indeed, some previous reports indicated that using LEDs as a light source for greenhouse horticulture, it has important meaning for the plants to convert light energy to enhance growth and to promote productivity efficiently. Optimizing LED light conditions could create premise to the development of novel agricultural technologies especially a plant factory.
Therefore, different light quality has different effects on the growth, development and quality of vegetables. The research was carried out to find out the best light quality for growing hydroponic spinach, to improve productivity and quality of this crop in an indoor system.
Materials and methods
1. Plant materials and growth condition
This experiment was conducted in an indoor system at the Institute of Agrobiology, Vietnam National University of Agriculture (in 2018). The room temperature was maintained at 27oC ± 0.4oC and humidity was kept at 65% ± 2%. Heat- treated F1 seeds variety PD512 of spinach (Spinacia oleracea L.) were provided by Phu Dien Trading & Production Company Limited. The seeds were cultivated Germany substrate (Klasmann TS-2) in plastic trays (128 holes) with length x width x height respectively 60 cm × 30 cm × 5 cm. Before sowing, seeds were soaked in warm water (about 50°C) at a rate of 3 boiling: 2 cold for about 2 hours Ten days after gemination, the same size seedlings were transplanted into plastic in the circulating hydroponic system. The experiment was conducted in 6 hydroponic systems racks with 4 rigs per a rack. Each rig has got 5 parallel hydroponic solution tubes and 9 plants per a tube, corresponding 45 plants per a rig. Every hydroponic system rack was equipped with a separate light quality (at the same PPFD = 190 µmol‧m-2‧s-1), corresponding to every treatment. Three using different light qualities were created of red, blue and green LEDs corresponding at ratio R660/B450 = 4/1 (Red-blue light - RBL); R660/B450/G550= 5/2/3 (Warm white light - WWL); R660/B450/G550 = 1/1/1 (White light - WL). The distance between plants was 15 cm, between rigs was 22 cm. The LEDs were manufactured and supplied by Rang Dong Light Source & Vacuum Flask. The plants were grown under a 12-h light/12-h dark photoperiod. Harvest time was 40-50 days after sowing and repeated 3 times for each treatment.
2. Growth parameters
Leaf number, leaf area and plant height were counted and measured. Root structure was performed using Epson Perfection V700 Photo Scanner and WinRHIZO Pro software.
3. Photosynthetic parameters
Net photosynthesis rate (Pn - µmol‧m-2‧s-1) was measured using portable photosynthetic system Ver.1.2.1 (TPS1, Pp Systems, USA). The leaves were measured as the third mature leaf from the top with a clamp-on leaf cuvette that exposed 6 cm2 of leaf area. Each measurement was carried out on 3 intact matured leaves and was repeated on 5 plants for each site. In all measurements, the airflow into the machine was atmospheric and the CO2 concentration was 360 ppm (0.036%). The humidity and temperature of the curvet were not adjusted. Chlorophyll a fluorescence: The measurement was carried using handheld Chlorophyll Fluorescence Meter, OS-30 (ADC, UK). SPAD index was performed using chlorophyll meter (SPAD-502 Plus, Konica Minolta, Japan).
4. Quality parameters
Content of mineral elements: The measurement was carried using atomic absorption spectrophotometry method (Atomic Absorption Spectroscopy - AAS Enduro T2100, GBC Scientific Equipment), at Hanoi National University of Education, Vietnam. NO3 content was measured using colorimetry method according to TCVN 8742: 2011, at the Food Safety and Environmental Laboratory (Vilas 809) of the Vietnam Academy of Science and Technology, Vietnam. Oxalic acid and Vitamin C were performed using H. HD. QT. 103 (HPLC) and H. HD. QT. 104 (HPLC) method, at National Institute for Food Control (NIFC), Vietnam. Presence of E. coli and Salmonella were detected by using bacterial isolation method, at Key Laboratory of Veterinary Biotechnology (VILAS 618 and LAS – NN54), Vietnam National University of Agriculture, Vietnam.
5. Statistical analysis
Statistical analyses were conducted with Excel-software and R-software. Data were analyzed by analysis of variance (ANOVA), and differences between the means were tested using Ducan’s test (P < 0.05).
Results
1. Growth parameters and photosynthetic capacity
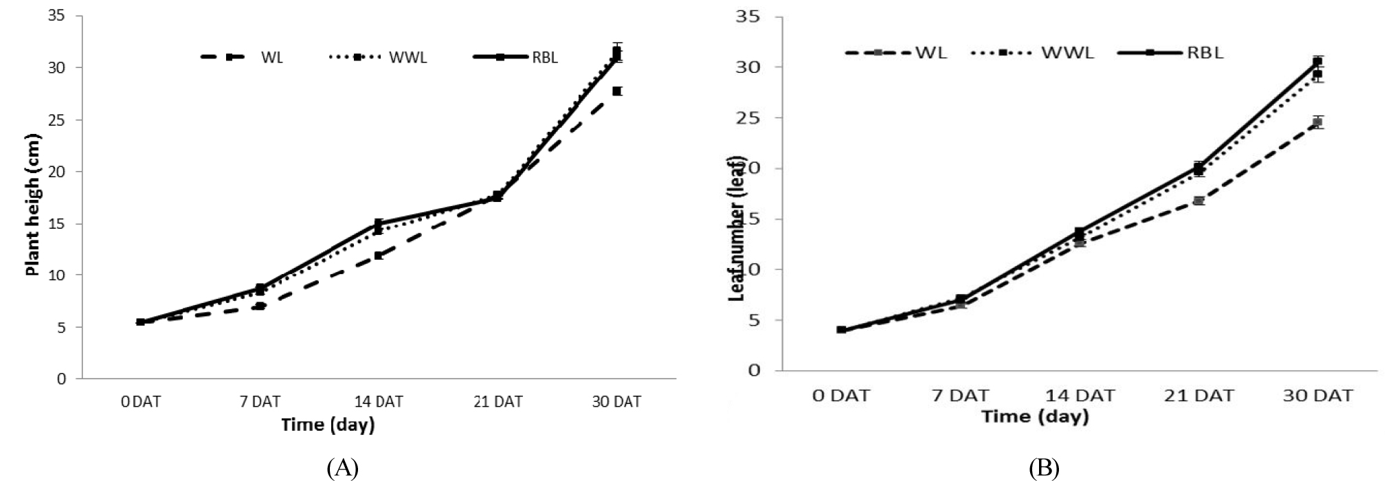
The results indicated that the hydroponic spinach reached the highest plant height in warm white light treatment and the highest leaf number in the red-green LED light treatment. The difference between height plant and leaf number in warm white light and red-blue LED light was not much. In the period from 7 days to 14 days after transplanting (DAT), the height plant changed slowly, from 14 days to harvest (30DAT), the growth rate of the plant increased rapidly, especially in red-blue light. At that point, the plant height and leaf number in the white light was the lowest (Fig. 1).
SPAD, Pn and Fv/Fm values were the highest in RBL treatment and these were higher respectively 1.05 to 1.06 times, 1.11 to 1.12 times and 1.11 - 1.13 times than two other treatments. However, there was no difference between WL and WWL treatments in these above mentioned parameters. The leaf area was significantly different between the three light qualities. The highest leaf area was in RBL treatment, which was higher than 1.27 times in WWL and 1.57 times in WL treatment (Table 1).
Table 1. Effect of different light quality LEDs at the same intensity (PPFD =190 µmol‧m-2‧s-1) on photosynthetic capacity of hydroponic cultivated spinach indoor (30 DAT).
yDifferent in the same column indicated significant differences among treatments (P ≤ 0.05; n=3).
2. Structural characteristics of root
At all parameters of root characteristics: root length, surface-area, project-area, average diameter and average volume were the highest in the RBL treatment. The difference was statistically significant at 5% level between the three treatments in the root length, surface area, and average diameter parameters. There was no significant difference in project-area and root volume in WWL and WL treatments (Table 2, Fig. 2).
Table 2. Effect of different light quality LEDs at the same intensity (PPFD =190 µmol‧m-2‧s-1) on root structural characteristics of hydroponic cultivated spinach indoor (30 DAT).
yDifferent in the same column indicated significant differences among treatments (P ≤ 0.05; n=3).
3. Productivity
Fresh weight of shoot, fresh weight of root, dry weight of root in the three light qualities were significantly different and the difference was statistically significant at the 5% level. In RBL treatment, the plant weight was the highest (65.46 g/plant), which was higher 2.05 times than in the WL and 1.36 times in WWL treatment. Fresh weight of root was also highest in the treatment of RBL light, was about higher 1.69 and 2.07 than that of in WWL and WL treatments, respectively. Consequently, the actual productivity in three light qualities decreased in the order: RBL > WWL> WL (Table 3, Fig. 3).
Table 3. Effect of different light quality LEDs at the same intensity (PPFD =190 µmol‧m-2‧s-1) on productivity of hydroponic cultivated spinach indoor (30 DAT).
yFW: Fresh weight
xDW: Dry weight
wDifferent in the same column indicated significant differences among treatments (P ≤ 0.05; n=3).
4. Nutrition content and quality
The content of mineral elements varied between treatments and depended on the elements. Content of Ca2+ and Fe2+ was the highest in the RBL, followed by WWL and WL treatment (with higher about 1.64-10.74 and 1.38-2.58 times, respectively). The difference between the three treatments was statistically significant at the 5% level. In contrast, the highest K+ content was observed in WL. This was different from WWL and RBL treatments. But there was no difference between the RBL and WWL treatments (Table 4).
Table 4. Effect of different light quality LEDs at the same intensity (I=190 µmol‧m-2‧s-1) on content of mineral elements of hydroponic cultivated spinach indoor (30 DAT).
| Treatmentz | Ca (mg/g dry weight) | K (mg/g dry weight) | Fe (mg/g dry weight) |
| WL | 1.71 cy | 107.89 a | 0.48 c |
| WWL | 11.22 b | 101.36 b | 0.90 b |
| RBL | 18.37 a | 100.82 b | 1.24 a |
| LSD5% | 0.99 | 3.13 | 0.26 |
yDifferent in the same column indicated significant differences among treatments (P ≤ 0.05; n=3).
Oxalic acid content was found to be highest in WL treatment, whereas soluble–solids contents and vitamin C contents were observed highest under RBL treatment. Although, the difference in NO3, soluble–solids contents contents were not statistically significant between WWL and WL treatments, respectively. In which, vitamin C content was significantly different between three treatments. Here, oxalic acid content in RBL treatment was not different from WL and WWL treatment but there was a significant difference between WL and WWL treatments (Fig. 4).In all three different light treatments were not detected Salmonella, E.Coli (Table 5).
Table 5. Effect of different light quality LEDs at the same intensity (PPFD=190 µmol‧m-2‧s-1) on safe vegetable parameters of hydroponic cultivated spinach indoor (30 DAT).
| Treatmentz | E.Coli | Salmonella |
| WL | None | None |
| WWL | None | None |
| RBL | None | None |
Discussion
Plants appear green because a part of the natural green light is not absorbed but is reflected. Green light is considered previously not to be absorbed by plant (Ohasi et al., 2007). Whereas some researches showed that green light could play role in stem elongation (Folta, 2004). The photosynthetic capacity was increased significantly under green light if light intensity was higher than 300 µmol‧m-2‧s-1 (Johkan et al., 2012). In this study, SPAD, Pn and Fv/Fm values were observed relatively stable and similar when different ratio of green light was supplement to red-blue light. Green light also is known to enhance photosynthesis deeper in the canopy (Bantis et al., 2018), increasing photosynthetic ability and growth (Son et al., 2015; Bian et al., 2018). Previous research has shown that, at the same Pulse frequency (50 Hz and 25 Hz) chlorophyll a, chlorophyll b and carotenoids in red lettuce seedlings exposed to pulsed green LED light under temperature stress higher than exposed to white LED light. In the range of chlorophyll b the highest values were for green light treatment at 25 Hz (Pardo et al., 2016). Moreover, studying effect of light quality on tomato (Solanum lycopersicum L) seedling indicated that, compared with yellow light, the values of ΦPSII, ETR, qP and NPQ of plants exposed to green light were significantly increased, showing that green light was beneficial to both the development of photosynthetic apparatus to some degree (Wu et al., 2014). It was suggested that the green light may have a certain role in regulating plant photosynthetic characteristics. Nevertheless, the underlying mechanisms remain unclearly.
In the present study, the root structural characteristics and photosynthetic capacity of spinach were significantly influenced by light qualities. The results pointed out that plants were grown under combination of R and B lights, especially had higher Pn values and enhanced plant growth parameters. The plant growth and development are affected light qualities through many photoreceptors lead to change plant morphology. This was consistent with previous studies (Wu et al., 2014; Su et al., 2014).
Our findings on photosynthetic capacity and growth were also closely coincide with report by Johkan et al. (2012). According to those reseachers, although different light quality for all treatments were applied at the same PPFD level, plants had higher chlorophyll absorption in treatment combination of R and B lights, in particular photosynthetic efficiency was observed maximum under light treatment 80R:20B (Johkan et al., 2012). Hence, supplement green light significantly induced to reduce Pn, which could lead to accelerate leaf senescence and reduce the maximal photochemical efficiency of PSII (Fv/Fm) (Su et al., 2014). Leaf area and fresh weight, root lenght and root weight in this study were also similar to the research of Su et al. (2014).
Our results also had similarities about chlorophyll content to research of Mizuno et al. (2009) in cabbage under LEDs of 470, 500, 525 and 660 nm, respectively, at 50 μmol/m2/s PPFD, which showed that chlorophyll contents were higher under blue and blue-green light than under green light
Besides, our study was also closely coincide with Son et al. (2015), that determined the effect of different proportional LED lights (red, green and blue) on lettuce under PPFD of 173 ± 3 µmol‧m-2‧s-1. Their study indicated that, red LEDs improved some growth characteristics of lettuce such as fresh and dry weight of shoot and root, and leaf area within combination with blue LEDs. These growth parameters increased as the proportion of red LEDs increased in the combination of red and blue LEDs (except for treatments with green LEDs). The replacement of blue with green LEDs in the presence of a fixed ratio of red LEDs has promoted the growth of lettuce. In particular, the fresh weights of red leaf lettuce shoots under R8G1B1 were about 61% higher than that of R8B2. Furthermore, the additional irradiation of green LEDs based on a combination of red and blue LEDs can promote the growth of lettuce. In contrast, increasing the proportion of blue LEDs had a negative effect on the fresh and dry weight of shoot and root, and leaf area. In our results, increasing ratio of green light not was not clearly effect on plant height but reduced leaf number.
Resulting in final harvest productivity matched the red-blue light LED perfectly that can produce optimum wavelengths for plant photosynthesis as Shimokawa et al. (2014).
Our results of the sucrose content through the soluble–solids contents index and some growth parameters were consistent with research of Li et al. (2017). In their study, the effect of different light qualities generated by LEDs with the same PPFD on growth and carbohydrate accumulation in tomato seedling leaves were evaluated. The results showed that, the seedling plant height and stem diameter were significantly promoted by combination of red (R) and blue (B) lights and monochromic R light than others. However, the level of root growth was lower under R and purple (P) light. The leaf Pn of the seedlings was highest in plants grown under 3R1B light. Combination of R and B lights and monochromic B light was found significantly to increased compared with those under white (W) light. Moreover, R light significantly enhanced fructose and glucose content, and combination of R and B lights significantly impove total carbohydrate, starch and sucrose accumulation, especially for 3R1B treatment.
Some researchers have been indicated that oxalic acid can increase the hyperoxaluria that contributes to the formation of kidney stones, so people with a history of kidney and bile stones have limited oxalic acid absorption (Proietti et al., 2013).
Results of the present study showed that when increasing ratio green light (550 nm) supplement may reduce NO3 and oxalic acid content in the case of an appropriate ratio, here ratio R/B/G was 5/2/1. However, there was no significant improvement in ascorbic acid content in this ratio. From this viewpoint, obviously, the higher ratio of red light treatment induced higher ascorbic acid, lower NO3 and lower oxalic acid content. This result was similar to Samuoliene et al. (2009) in leafy vegetables. In that research nitrate concentration reduced by 44% to 65% and the content of vitamin C was not directly correlated with the nitrate reduction rate when using 638nm LED (500 μmol/m2/s).
Thus, NO3 content of hydroponic cultivated spinach in this study had safety standards at the permitted limit of Agriculture Ministry under Decision No. 99/2008 /QD-BNN. Even the result of this NO3 content was much lower than the European Commission’s regulation: 1258/2001 (European Commission Regulation, No: 1258/2001, EUR-LEX, 2017).
Spinach can be eaten raw, so problem of food safety is very important. The E. coli group of intestinal hemorrhagic colitis (EHEC) and most salmonella cause prolonged diarrhea. These bacteria cause gastrointestinal illness: eating contaminated food such as bovine and eat, goat, sheep, unpasteurized cow’s milk; vegetables, fruits, etc. These bacteria also spread directly from person to person through the hands or objects contaminated with faces. Our results showed that spinach was not completely infected with the two pathogenic bacteria. The study of the authors on Korean green perilla also showed that E.coli, Salmonella, Worm eggs were not found in hydroponic perilla samples, only Coliforms were detected (1,36 × 100 (CFU/g) but the content was within permitted limit of Vietnam standards (2 × 102 (CFU/g)).
The results of this study suggest that the ratio of red, green, and blue LEDs is an important factor for the growth, photosynthetic capacity and biosynthesis of metabolites in hydroponic cultivated spinach. RBL may be appropriate light for growth of spinach, but the supplemental irradiation of green LEDs based on the combination of red and blue LEDs at the reasonable rate can change the quality of spinach in a positive direction. However, there is limited information on the effects of supplementary green light to a combination of red and blue LEDs and the underlying mechanisms remain unclearly. Hydroponic cultivated spinach was the safe vegetable for consumers.






