서 론
온실 내 재배환경에 반응하는 작물 생리학적 현상들은 영양생장(엽면적, 엽수, 초장, 경경, 광합성율, 기공전도도 등)과 생식생장(상품과 생산량 및 상품과실 무게, 크기 등)의 결과로 나타난다. 재배환경에서 급액관리는 원예작물의 품질과 수확량을 향상하는 중요한 요인이다. 국내외 과채류 비순환식 수경재배에서 사용되는 주요 급액방식에는 누적일사량 제어법(Integrated Solar Radiation, ISR) (Lizarraga 등, 2003), 물관수액흐름속도 센서 기반 제어법(Sap flow, SF) (Vermeulen 등, 2007), 배지 함수율 센서 기반 용적함수량 제어법(Cardenas- Lailhacar 등, 2010; Farina 등, 2007; Jaria 등, 2013), 배액량 센서 기반 배액전극법(Kim 등, 2011), 배지 중량 변화 기반 로드셀 제어법(Hunt와 McDonald, 2015) 등이 있다. 이들 중 가장 많이 사용되는 방식인 ISR 제어법은 일사량과 식물 증산량이 비례한다는 이론에 근거한 제어방식이다(De Swaef 등, 2012). 스마트팜 내부에서 작물 지상부 환경은 첨단화된 환경제어 기술이 적용되어 습도 환경이 실시간 변하고(Heuvelink 등, 2008), 지하부 환경의 경우는 수경재배 배지가 토양보다 수분 완충능력이 떨어져 수분환경이 급변한다. 따라서 생육환경을 지상부와 지하부로 나누어 관리하면서 영양생육 및 생식생육 변화를 실시간 관찰하고 그에 적합한 수분을 지속적으로 공급하는 것이 다수확과 고품질 과실을 생산하는 데 중요하다. 또한, 식물의 생리적 특징은 토양수분함량의 변화보다는 식물체 조직의 수분 변화에 반응하는 것으로 알려져 있어(Jones, 2004) 식물에 요구되는 수분량을 적합한 타이밍에 공급하는 것은 과실 생산량 및 품질에 직결된다(De Swaef 등, 2012). 최근 식물체 줄기의 물관수액흐름 속도를 알 수 있는 Sap flow 센서를 생체정보로 활용하고 있으며 측정 방식으로는 열 융착법(Heat Pulse, HP), 열 소실법(Heat Dissipation, HD), 열 발생장 변형법(Heat Filed Deformation, HFD), 열 평형법(Stem Heat Balance, SHB) 등이 있다. 이 중 HP, HD, HFD 방식은 sap flux density (cm3/cm2·h) 단위를 사용하고, SHB 방식은 volumetric mass flow (g/h) 단위를 사용한다(González-Altozano 등, 2008 Woo, 1999). 토마토 줄기 물관수액흐름 속도는 약 200g/h (De Swaef 등, 2012)로 알려져 있는데 이를 환산하면 0.2L/h (≒55.55μL/s)이다. 이 전 토마토 줄기의 단면적 연구결과를(van der Schoot와 van Bel, 1989) 기준으로 물관 단면적을 (=π[(5×10-3)2-(3×10-3)2]≒ 5×10-5m2(≒50mm2)) 50mm2로 계산하면 sap flow 센서가 측정하는 토마토 물관수액흐름 속도는 약 1.1(µL/mm2/s)(=55.55μL/s÷50mm2=1.1μL/mm2/s)이다. 본 연구는 급액제어기술 중 HD 방식으로 제작된 마이크로 sap flow 센서를 활용한 급액방식과 기존 관행방식인 ISR 방식을 스마트팜 토마토 암면배지 재배에 적용하여 토마토 생육과 과실 생산량에 미치는 영향을 관찰하고자 하였다.
재료 및 방법
1. 식물재배 및 재배환경
본 연구는 서울시 관악구 단동형 비닐하우스(면적:168m2, 규격: 8m(W)×21m(L)×5.5m(H))에서 수행하였다. 실험기간은 2018년 3월 25일부터 6월 15일까지 실시하였다. 여주육묘장에서 60일 재배된 토마토(Solanum lycopersicum L. ‘Hoyong’) 모종을 구입하여 누적일사량 제어구(ISR)는 40주, 물관수액흐름 제어구(SF) 77주를 암면 블록(10×10×6.5cm, Rockwool, Grotop expert, Grodan Co. Roermond)에 이식하여 암면배지(100cm×20cm×10cm, Grotop Master, Grodan, Roermond, The Netherlands)에 배지 한 개 당 5주씩 정식하여 난괴법으로 배치하였다. 정식 전날 수돗물로 암면을 충분히 포수하였으며, 배지 슬라브 하단에 3cm 크기의 배수구 6개씩을 뚫어 배수되도록 하였다. 토마토 식물은 한줄기로 유인하였으며 작물체 관리에 있어서는 정식 후 발생되는 측지는 지속적으로 제거하였다. 착과 촉진을 위하여 토마토톤 500배로 희석하여 스프레이로 개화된 화방별로 오전 10시 이전에 살포하였다. 착과 후 과방별로 착과된 4과를 남겨 놓고 적화 및 적과를 하였으며 적심은 4화방 위 2엽을 남기고 하였다. 배양액은 Yamazaki 토마토 배양액[KNO3 40.4kg, Ca(NO3)2· 4H2O 35.4kg, Fe-EDTA 1.53kg, KNO3 20.2kg, NH4H2PO4 7.6kg, MgSO4·7H2O 24.6kg, H3BO3 114g, [MnSO4·4H2O] 81g, [ZnSO4·7H2O] 9g, [CuSO4·5H2O] 4g, [Na2MoO4·2H2O] 1g (1000L 100배)]을 기준으로 EC와 pH를 각각 2.0dS·m-1및 6.0 수준으로 조정하여 자동급액시스템(Aqua-M, Shinhan A-Tec, Seoul, Korea)으로 공급하였다. 적정 근권온도를 유지하기 위하여 고온조건에서는 냉각기(Daeil, DA-1500B, Pusan, Korea)를 사용하여 원수온도를 약 10°C로 공급하였고 급액 연질호스는 알루미늄 열반사단열재로 감싸주었다. 재배초기 저온조건에서는 공기열 히트펌프 60만kW와 펜코일유니트(SFC -120TFV, LG, Seoul, Korea) 4대를 이용하여 시설 내 균일하게 열분배를 하였다. 전 실험기간 야간 최저온도를 13.5°C로 하였으며, 시설내·외부 기상환경(온도, 습도, 일사량, CO2) 측정은 신한환경계측시스템(Shinhan SH-3000 V8.0, Seoul, Korea)으로 하였다.
2. 급액 처리
누적일사량 제어구(ISR)는 자동급액시스템을 활용하여 누적일사량이 목표치에 도달했을 때 2분간 100mL가 급액 되도록 하였다. ISR 제어구는 전 재배기간 동안 160J~400J 범위에서 관수 최대 대기시간을 2시간으로 설정하고 관수개시 및 종료시간을 일출 1시간 후 관수하여 일몰 2시간 전에 관수 종료 하였다. SF 제어구는 물관수액흐름(Sap flow, SF) 신호가 광량(solar irradiance) 신호와 유사하다는 앞선 연구결과를 바탕으로 SF 신호를 일사량 신호처럼 활용하여 급액 알고리즘에 적용하였다(Baek 등, 2018). SF 센서 32개를 토마토 32개 줄기(뿌리에서 20cm 위치)에 설치한 후 정규화 된 평균 수액 흐름 누적값이 목표 누적일사량(ISR 제어구와 동일)에 도달할 때마다 2분 동안 100mL씩 급액되었다. 각 센서의 보정은 다음 fitting curve를 활용하여 수행되었다: curve fitting u= 9.54×((Tm−T)/T)0.99), adj. R2 = 0.974(u:유속, Tm: 유속이 0일 때 가열 한 후 최대로 상승된 온도, T: 특정 유속이 있을 때 온도상승) (Baek 등, 2018). 두 제어구 모두 자동 급액 시스템(Aqua-M, Shinhan A-Tec, Seoul, Korea)을 활용하여 급액하였다.
3. 측정항목 및 측정방법
식물 생육조사는 초장의 경우 지제부에서 생장점까지 길이, 생장길이는 지난주 생장점에서 금주 생장점 길이, 엽수는 생장점 아래 가장 가까운 개화 화방 밑의 완전히 전개한 엽수, 엽장과 엽폭은 생장점 아래 가장 가까운 개화 화방 밑으로 3번째에 해당하는 엽의 길이와 폭, 줄기 굵기(경경)는 생장점 아래 가장 가까운 개화 화방 바로 아래의 줄기 굵기, 화방높이는 생장점에서 아래 가장 가까운 개화 화방 사이의 길이, 개화속도는 1화방 첫 번째 꽃부터 개화하는 속도를 순차적으로 측정하였는데 본 실험에서는 정식 후 45일 이후(5월 9일)부터 7일 간격으로 정식 후 66일(5월 30일)까지 측정하였다. 착과수는 토마토 개체당과 전체 착과수를 측정하였고 과실 수량과 당도는 수확된 과실로 바로 측정하였다. 적심은 정식 후 46일(5월 10일)에 실시하였다. 급액량은 자동급액장치에 저장된 기록을 사용하였고 배액량은 각 슬라브 밑면에 검정 필름을 설치하여 슬라브 배수 구멍에서 흘러나온 배액을 검정 필름 끝자락에 받쳐진 비커에 집수 되도록 하여 측정하였다. 배액률을 다음과 같이 계산하였다[배액률(%) = 100 × (식물체당 배액량 /식물체당 총급액량)]. 식물체 수분흡수량(kg/day)은 다음과 같이 측정되었다[dM / dt (배지 무게 일변화 값) = I (급액) - L (배액) - WU (수분흡수량)]. 수분이용효율(WUE, Water Use Efficiency)는 다음과 같이 측정되었다[WUE = (수확 시 잎, 줄기 및 과실생체중) / (급액량 – 배액량)] (Burnett와 van Iersel, 2008)). 물관수액흐름(SF) 모니터링은 SF 센서를 SF제어구는 32개 식물체 줄기에 각각 한 개씩 설치하였고, ISR제어구는 16개 식물체 줄기에 각각 설치하였다. 배지 용적수분함량은 FDR센서(WT1000N, Mirae-Sensor®, Seoul, Korea)를 사용하여 10분 간격으로 측정하였다. 과실비대속도는 착과 된 과실 중에서 3화방에 착과된 과실을 선택하여 과경이 20mm인 과실에 과실과경측정센서(FI-MM. 15~90mm, Chisinau, Republic of Moldova)를 부착하여 데이터로그(CR300, Chisinau, Republic of Moldova)에 10분 간격으로 저장되도록 하였다. 수분부족(HD: humidity deficit, kg/m3)은 포화수증기량(g/m3)와 절대습도(g/m3)의 차이로 엽온측정센서(LT-1M, 0 to 50°C range. 0 to 2 Vdc output, Republic of Moldova)와 환경계측시스템(Shinhan SH-3000 V 8.0, Gyeongsangnam-do Province, Korea)에 의해 저장된 온도와 습도 데이터를 SAS 9.2 소프트웨어 패키지(SAS Institute, Cary, NC, USA)에 공식을 입력하여 계산하였다.
4. 실험 통계 방법
누적일사량 제어구(ISR)는 40주, 물관수액흐름 제어구(SF) 77주를 암면배지에 배지 한 개에 5주씩 정식하여 난괴법으로 배치하였다. 각 처리 당 슬라브 1개에 대해 수분흡수량(water uptake, WU) 측정을 위한 슬라브 무게 일변화 값, 배액량이 측정되었으며 생육조사는 각 처리 당 4개 식물에 대해 수행하였다. 상품과 수량 및 당도는 각 처리구에서 4개의 식물을 선택하여 1화방에서 5화방까지 수확된 과실에서 측정되었다. 최종 수확 일에 측정된 생체중은 겨울철 재배에서는 처리당 15개 식물을 여름철 재배에서는 4개 식물에 대해 수행하였다. 물관수액흐름(SF) 모니터링은 SF 센서를 SF제어구는 32개 식물체 줄기에 각각 한 개씩 설치하였고, ISR제어구는 16개 식물체 줄기에 각각 설치하여 그 결과를 활용하였다. 두 급액방식에 따른 조사 결과는 t-test 분석을 위해 SAS 9.2 소프트웨어 패키지(SAS Institute, Cary, NC, USA)를 사용하였다.
결과 및 고찰
정식 후 28일부터 82일까지 4, 5, 6월 온실 최고 온도는 각각 33.5, 37.3, 34.5°C이며 최저 온도는 각각 8.7, 8.7, 12.9°C이었다. 일평균 광량(Solar irradiance, SI)은 최저 31.3에서 최고 573w/m2이었으며 일평균 상대습도(Humidity)는 75에서 99% 수준으로 유지되었다(자료 미제출). 일평균 이산화탄소(CO2)농도는 313에서 610ppm 수준으로 유지되었고 누적일사량은 268에서 4927J/cm2 범위였다. 배액의 pH와 EC를 측정한 결과 pH는 SF제어구의 경우 6.2에서 8.6 범위를 보였고 평균값은 7.4이고 ISR제어구의 경우 6.4에서 8.4범위를 보였고 평균 7.55였다. 전기전도도(EC)는 SF제어구의 경우 2.58에서 6.64dS·m-1범위를 보였고 평균 4.59dS·m-1이고 ISR제어구의 경우 2.14에서 6.90dS·m-1범위를 보였고 평균 4.72dS·m-1였다. 전 재배기간 동안 처리에 따른 pH와 EC 수준은 크게 다르지 않은 것으로 나타났다(자료 미제출).
정식 후 28일에서 82일까지 총급액량, 평균 배액율 및 평균 수분흡수량(water uptake, WU)을 확인한 결과 총급액량은 SF제어구가 74.30L, ISR제어구에서 79.22L로 SF제어구에서 약 5L 적게 소요되었고, 평균 WU는 SF제어구에서 1.53L, ISR제어구가 1.63L로 SF제어구에서 0.1L 적었다. 평균 배액율은 SF제어구에서 17.9%, ISR제어구에서 18.8%로 SF제어구에서 약 1% 감소되었다(Table 1).
Table 1. Total irrigation volume, drainage ratio and water uptake during 28 and 85 days after transplant (DAT) of tomato plants grown under the Sap Flow (SF)-, or Integrated Solar Radiation (ISR)-automated irrigation system.
| Treatment | Total irrigation (L/plant) | Drainage ratio (%) | Water uptakez (L/plant/day) |
| SF | 74.30 | 17.9 | 1.53 |
| ISR | 79.22 | 18.8 | 1.63 |
| t-test | ns | ns | ns |
정식 36일에서 82일까지 매일의 평균 물관수액흐름속도(SFD)를 비교한 결과 정식 후 58일째부터 ISR제어구에서 SF제어구 보다 높았는데 ISR제어구의 평균 SFD는 0.61μL/mm2/s (±0.043), SF 제어구는 0.28μL/mm2/s(±0.024)이다(Fig. 1A). 정식 후 46일부터 75일까지 시간대별 근권 함수율 평균값을 비교한 결과 SF 제어구의 경우 38에서 67% 범위로, ISR제어구의 경우 39.09에서 72% 범위로 나타났다(Fig. 1B). 두 처리 모두 함수율이 가장 높은 시간은 16시였고, 함수율이 가장 낮은 시간대는 SF 제어구에서 오전 7시, ISR 제어구는 오전 4시였다. ISR제어구에서 근권 함수율이 높았던 것은 적심한 날을 기준(5월 10)으로 25일 이후(6월 4일)부터 SF제어구에서 급액량이 1~6회 적게 들어간 결과로 판단된다.

Fig. 1.
Daily sap flow density during 36 and 82 days after transplant (DAT) (A) and timely changes of substrate volumetric water content measured by a FDR sensor during 46 and 75 days after transplant (DAT) (B) of tomato plants grown under the Sap Flow (SF)- and Integrated Solar Radiation (ISR)-automated irrigation system.
정식 후 28일부터 82일까지 수분이용효율(WUE)을 분석한 결과 총급액량은 SF제어구에서 약 5.0L 낮았으나 지상부생체중과 과실생체중은 유의차가 없었다. 평균 WUE도 SF제어구에서 높았으나 두 처리간 통계적 유의차가 없었고 과실 200g을 생산하는데 소요된 물량도 SF제어구에서 5.63L, ISR제어구에서 6.50L로 평균값은 SF제어구가 1.0L 적게 소요된 것으로 나타났으나 두 처리 간 통계적 유의차가 없었다(Table 2).
Table 2. Total irrigation volume (TIV), total drain volume (TDV), total retained volume (TRV), fresh weights of leaf, stem, and fruit, water use efficiency (WUE) and total irrigation volume for producing 200 g of fruit (TIVPF) during 28 and 82 days after transplant under the Sap Flow (SF)- and Integrated Solar Radiation (ISR)-automated irrigation system.
xEach value is the mean of 4 replications.
wFresh fruit weights harvested from the 1st cluster to 4th cluster.
vWUE = (Fresh weights of leaf, stem, and fruit per plant at harvest)/(total retained volume).
정식 후 53일부터 82일까지 과경비대속도 센서를 3화방에 착과된 과실 중 과경이 20mm인 과실에 처리당 1개씩 설치하여 관찰한 결과 정식 후 68일부터 일평균 과경비대속도는 SF제어구가 빨랐으나 반복측정이 아니기 때문에 추가적 연구가 필요하다. 밤 시간대에 일평균 과경비대속도는 SF제어구는 1.60mm (±0.076), ISR 1.43mm (±0.085)이고, 낮 시간대에는 1.61mm (±0.077), ISR 1.45mm (±0.085)이다(Fig. 2). 식물체당 평균 상품 과중은 두 처리 간 유의적 차이가 없었다(Table 3).
Table 3. Total marketable fruit weight, number and soluble solid content under the Sap Flow (SF)-and Integrated Solar Radiation (ISR)-automated irrigation system.
| Treatment |
Total marketable fruit weight (kg/plant) |
Fruit weight (g·fruit-1) |
Soluble solid contentz (Brix°) |
| SF | 2.79x | 166y | 5.24 |
| ISR | 2.88 | 176 | 5.46 |
| t-test | ns | ns | ns |
yMeans of 80 fruits from 4 plants for treatment
xMeans of fruits from 4 plants for treatment
정식 후 58일에서 82일까지 급액방식에 따른 실시간 광량과 물관수액흐름속도 상관관계를 관찰하였을 때 ISR제어구의 상관관계(r2)는 약 0.52, SF제어구는 0.75로 SF제어구에서 더 높게 나타났다(Fig. 3).
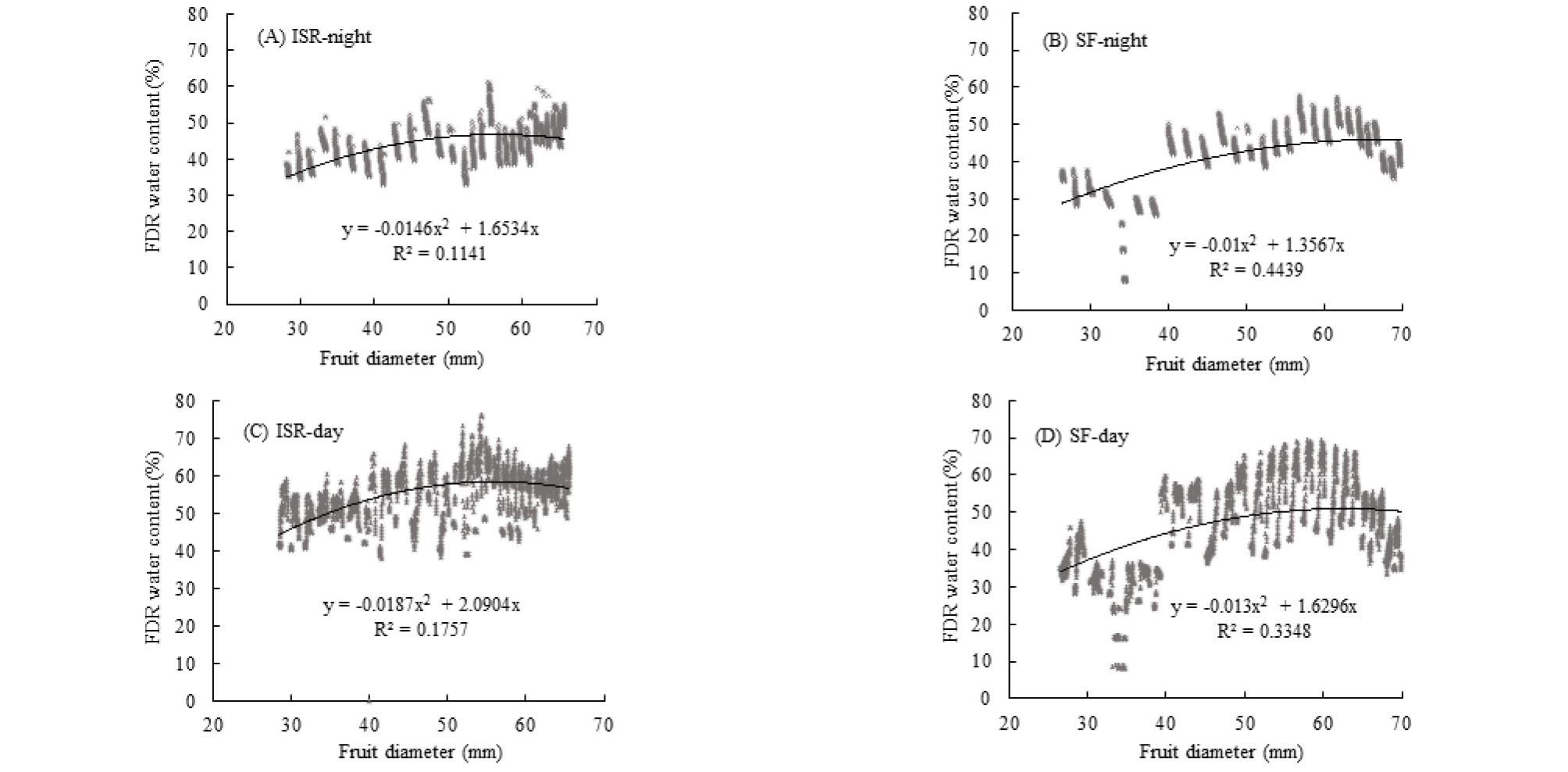
정식 56일부터 82일까지 실시간 측정된 과경비대속도와 배지함수율의 상관관계를 관찰하였을 때 두 요인의 상관관계는 SF제어구에서 낮과 밤 모두 더 높았으며, 특히 밤 시간대 상관관계가 더 높은 것으로 나타났다(Fig. 4). ISR제어구의 낮 시간대 상관관계는 0.1757이고, 야간 시간대는 0.1141이며 SF제어구의 낮 시간대 0.3348, 야간 시간대는 0.4439였다. 이 결과는 SF제어구에서 오후 3시 이후에 급액이 ISR제어구보다 더 많이 된 것과 관련이 있는 것으로 판단된다. SF제어구에서 소요 물량은 감소하였으나 과실수량은 낮지 않았던 것은 SF제어구에서 뿌리가 흡수 또는 물관 유동이 발생하는 것을 바탕으로 제어하면서 흡수한 물량이 증가한 것 보인다.
측정된 엽온과 온실의 온도 및 습도 데이터로 SF처리구의 물관수액흐름속도와 수분부족분(Humidity Deficit: HD)과의 상관관계(r2=0.6286)도 광량과의 관계만큼(Fig. 3) 높게 나타났다(Fig. 5). Woo(1999)는 광량, 엽과 대기 간의 수증기압차(VPD) 및 엽의 수증기압과 대기의 수증기압과의 차(LAVPD)와 sap flow는 고도의 상관관계가 가지고 있다고 하였고 Baek 등(2018)도 물관수액흐름 신호가 광량 신호와 유사하다고 하였으며 Gordon 등(1999)도 수분이 충분한 조건에서 물관수액흐름은 광량과 밀접한 관련이 있다고 하였다. 하지만 이러한 상관관계가 토마토 생산량에 미치는 영향에 대해서는 더 많은 연구가 필요할 것으로 보인다. 본 연구팀의 이전 연구에서 물관수액흐름속도는 배지의 함수량 조건에 유의한 영향을 받는다는 것을 알 수 있었다. 이전 실험에서 근권 내 수분을 급격히 감소시킨 후 다시 급액을 실시하였을 때 배지가 포화가 될 때까지 물관수액신호가 매우 낮게 유지되어 상당한 기간 급액이 실시되지 않았다. 이 결과는 토양과 달리 제한된 크기의 수경배지의 수분완충능력이 물관수액흐름속도에 영향을 미칠 수 있으므로 실제 식물수분상태(예 수분포텐셜)와 근권 수분함량을 동시에 관찰할 필요가 있음을 시사한다. 앞으로 많은 현장 연구를 통해 수확량, WUE 및 센서의 정확도와 같은 특성에 관한 결과들을 도출하였을 때 상업적 수경재배 농장 재배자의 관심을 얻을 수 있을 것으로 보인다.
토마토 생산과 품질에 식물체 수분 상태가 중요한 이유는 과실의 90~95%가 수분으로 이루어져 있기 때문이라고 하였다(Liu 등, 2007). 과실비대는 주로 증산이 없는 밤에 과병의 물관 또는 체관을 통해 이동되는 수분량과 관련이 있는데(Guichard 등, 2001), 일반적으로 밤에 근권부에서 지상부로 이동되는 수분은 그 원동력이 뿌리압이다. 밤 동안 뿌리압에 의해 식물 줄기로 밀려 올라가는 수분이 과실 줄기(peduncle) 물관을 통해 과실로 이동되는 것은 두 기관 간의 수분포텐셜 또는 팽압차에 의한 것으로 알려져 있다(Guichard 등, 2001). 앞으로 추가적인 연구를 통해 급액방식에 따른 지상부 식물체 내 수분포텐셜 변화와 지하부 뿌리 생육 등을 자세히 관찰할 필요가 있을 것으로 판단된다. 본 연구를 통해 재배 중 생체정보 자료를 수집함으로써 작물발육을 해석할 수 있을 것으로 보이고 앞으로 이 결과로 최종 수량을 예측하는 것이 필요하다.






