서 론
수경재배는 균형 시비, 토양 전염성 병원균의 회피, 위 생적 재배환경 관리, 연작 장해 감소, 생산과정의 생력 화, 주년 생산, 고품질 농산물 생산 등 재배적 측면에서 많은 장점이 있다(Sonneveld와 Voogt, 2009). 이러한 장 점을 반영하여 국내의 수경재배면적이 급증하고 있으며 2016년 기준 3,355ha로 전체 시설채소 재배면적의 6.4% 를 점유하고 있다(MAFRA, 2017).
일부 규모화된 대형 온실을 제외하고 중소 규모로 재 배가 이루어지는 대부분 재배농가는 수경재배에서 작물 재배에 이용된 양액을 재사용하지 않는 비순환식 수경재 배 방법을 적용하고 있다. 보편적으로 작물재배를 위해 공급되는 총 양액의 20-30%가 배액되도록 급액관리를 하는 것을 감안할 때 많은 양의 배액이 발생함을 추정 할 수 있다. 아울러 발생한 배액이 토양이나 하천으로 흘러 들어가 지하수와 하천의 오염을 가중시킬 뿐만 아 니라(Rho 등, 1997), 물과 비료의 과다 사용으로 인한 생산비 증가의 원인이 된다(Bellert 등, 1998;Benoit, 1992;Rhee 등, 2003b;Roh 등, 1997;Smith, 1997;Sonneveld, 1997;van Os, 1994;Zhang 등, 2010a). 이 미 미국이나 유럽의 대부분 국가에서 폐양액를 재활용하 는 순환식 수경재배 방식을 도입하여 환경오염을 줄이기 위한 노력을 하고 있으며, 일부 국가에서는 환경오염 방 지를 위한 법을 제정하여 순환식 수경재배 방법의 도입 을 강제하는 것은 잘 알려진 사실이다.
최근까지 국내의 수경재배 농가에 순환식 수경재배 방 법이 도입되지 못한 것은 배출된 양액의 재활용 과정에 서 병원균의 오염과 배출된 배액의 무기성분 농도, pH 및 EC의 변화가 발생하는 문제를 해결하기 위한 조치가 수반되어야 하기 때문이다(Lee 등, 2016;Ohtani 등, 2000). 그러나 이상의 문제를 해결하기 위한 장비 구입 비용이나 시설비가 재배농가에 큰 경제적 부담으로 작용 할 뿐만 아니라 장비의 개발 및 활용 또는 폐양액의 무 기양분 불균형 문제를 해결하기 위한 국내의 기초기술이 농가에서 활용할 만큼 정립되지 못한 것도 원인이 될 수 있다.
그 동안 국내에서도 폐양액의 문제점을 인식하고 관련 연구가 수행된 바 있다. 배액을 발생시키지 않으면서 수 경재배를 하기 위한 연구(Rhee 등, 2003b)나 발생된 배 액을 노지재배되는 다른 작물에 시용하는 방법 등이 제 시된 바 있다(Zhang 등, 2010b). 그러나 순환식 양액 재 활용 시스템은 단순히 EC 및 pH를 교정 관리하기 때문 에 양액 조성이 균일하지 못하거나(Vincent와 Kay, 1990), 선택적 이온센서를 이용한 양액성분 교정은 제품 이 고가라 보급이 어려운 실정이다(Schwarz, 1995). 이 상의 방법은 수경재배 규모가 점차 확대되는 국내의 시 설재배 경향을 고려할 때 폐양액 문제를 해결하기 위한 근본적인 방법이 되지 못한다. 기초연구부터 실용적인 연구까지 관련 분야의 연구결과가 축적되고, 축적된 연 구결과를 기반으로 기술수준이 고도화된 폐양액 해결방 법이 제시되어야 한다.
배액 재활용을 위해 고려해야 할 여러 요인들 중 무기 성분 농도, pH 및 EC는 재배하는 작물별, 재배시기별 또는 공급양액의 조성에 따라 변화되는 양상이나 정도가 다르다. 다수의 연구자에 의해 다양한 환경에서 작물을 재배하면서 수행한 많은 연구결과가 도출되어 그 결과들 이 축적된다면 폐양액 재사용을 위한 방법 개발이 원활 하게 진행될 수 있을 것이며, 양액의 보정을 위한 algorism 개발이 가능할 것이다. 이상 설명한 연구 배경 하에 일반토마토 반촉성 수경재배 시 생육단계별 착과절 위에 따른 생육 특성, 공급양액과 배액의 무기원소 농도 변화 그리고 식물체의 무기성분 함량을 분석하여 순환식 수경재배 시스템 개발에 필요한 기초 자료를 확보하고자 본 연구를 수행하였다.
재료 및 방법
충남농업기술원 과채연구소의 시설하우스 내에서 토마 토(Solanum lycopersicum L. cv. Bonus, Deogyang Green, Korea)를 대상으로 본 연구를 수행하였다.
40일간 육묘한 토마토 묘를 2016년 3월 10일 펄라이 트 배지가 충진된 재배 베드에 재식거리 160×20cm로 1 주씩 정식하였고 6월 28일까지 재배하였다. 본 연구를 위한 양액은 야마자키 토마토 전용액으로, 다량원소의 조성은 NO3-N 7, PO4-P 2, K 4, Ca 3, Mg 2meq·L-1, 미량원소는 Fe 2, B 0.2, Mn 0.14, Zn 0.02mg·L-1였고 질산을 이용하여 pH를 5.5-6.0 범위에서 조절하였다. 정 식기부터 양액을 공급하였는데 누적 일사량이 600W·m-2 에 도달할 때 1회 공급되며 관수 시간은 생육 초기에는 2분으로, 그리고 생육이 진전됨에 따라 총 공급된 양액 의 약 30%가 배출되도록 공급량을 조절하였다. 배양액 EC의 경우 정식 후 활착기는 1.7dS·m-1로, 이후 생육 후 기까지 2.0dS·m-1로 관리하였다.
실험기간 중 시설 내의 최저 온도가 13°C 이하로 낮 아지면 온풍기가 자동으로 작동되도록 설정하였으며, 생 육기간 중 평균기온은 3-4월 19.9-21.1°C, 5월 22.2- 23.7°C, 6월 24.5-26.1°C였다. 일사량은 3월 중하순에 920-1,184J/cm2, 4월 상순에서 5월 상순까지 1,046- 1,143J/cm2으로 비슷하였고, 5월 중순 1,622 J/cm2로 가 장 높았다가 이후 감소하여 6월 하순에 789J/cm2였다 (Fig. 1). 측지는 약 10cm가 되었을 때 제거하였고, 착과 유도를 위하여 4-CPA(팜한농 토마토톤, Farmhannong, Seoul, Korea)를 150배로 희석하여 1주일에 2회 분무기로 살포하였다. 시험구는 완전임의배치 3반복으로 배치하였 으며, 재배 중 기타 관리는 Lee 등(2017)에 준하였다.
초장, 엽수, 엽면적, 엽장, 엽폭 등을 농촌진흥청 농업 과학기술 연구조사분석기준(RDA, 2003)에 따라 착과절 위별 화방의 2-3개 꽃이 50% 개화된 시기에 반복당 10 주씩 조사하였다. 또한 반복당 3주씩 식물체를 채취하여 건조기에 80℃로 48시간 건조시킨 후 건물중을 측정하 였으며 건조된 잎은 20 mesh screen을 통과하도록 분쇄 하여 무기성분 분석에 사용하였다.
식물체 잎, 양액의 공급액과 배액의 무기성분 분석방 법은 Lee 등(2017)과 동일하였다. 착과절위별 식물생육 을 조사한 결과는 LSD 검정을 통해 처리간 평균을 비 교하고 회귀분석을 하여 생육조사 시기별 각 생장 조사 항목의 변화하는 경향을 파악하고자 하였다. 또한 식물 체, 공급양액 및 배액의 무기성분 농도 변화를 분석하여 비교하였으며 CoStat 프로그램(ver. 6.3, CoHort Software, CA, USA)으로 통계분석을 하였다.
결과 및 고찰
실험기간 중 각 착과절위별로 화방의 꽃 중 2-3개가 약 50% 정도 개화되었을 때 조사한 토마토의 생육은 Table 1과 같다. 2화방이 개화하는 시기의 초장은 약 54cm였고, 착과절위가 높아질수록 초장 신장량이 많았 으며, 8화방 개화기에는 181cm까지 신장하였다. 8화방 개화기의 엽수는 30.0매, 엽장 51.8cm, 엽폭 50.9cm로 2번째 화방 개화기와 비교하여 엽수는 2.4배, 엽장은 1.6 배, 엽폭은 1.9배 각각 증가하였고, 4화방 개화기 이후 8화방 개화기까지 엽장 및 엽폭의 신장량은 적은 편이었 다. 엽면적은 2화방 개화기 1,795cm2였으며, 8화방 개화 기에는 6.9배가 증가된 12,434cm2였다. 다른 연구결과 (Kim 등, 2001;Rhee 등, 2003a, 2003b;Seo 등, 2003;Zhang 등, 2010b)와 비교했을 때, 초장은 작았으나 화방 수, 엽폭, 엽장 및 엽면적이 비슷하여 본 실험에 사용된 품종의 절간이 짧았다.
Table 1. Growth characteristics of ‘Bonus’ tomato measured at flowering stage in each fruiting node.
![]() |
Fig. 2는 각 착과절위 화방이 개화하는 시기에 조사한 토마토 식물체 지상부의 건물중 변화를 나타낸 것으로, 2-3번째 화방 개화기에 주당 건물중은 18-23g 이었으며 4-5화방 개화기에는 3.7배 증가한 67-68g 이었다. 6화방 개화기 이후에는 건물중이 계속 증가하여 8화방 개화기 에는 168g으로 9.3배 증가하였다. 본 실험 결과는 순환 식 펄라이트 양액재배시 생육 초기에는 건물중이 많았으 나(Rhee 등, 2003a, 2003b) 생육 후기에는 적었다는 보 고(Kim 등, 2001)와, ‘Trust’ 품종을 10개월 장기재배하 면 최대 800g까지 증가하였다는 보고(Bellert 등, 1998) 와 차이가 있었으며, 방울토마토 반촉성 양액재배시 건 물중 변화와는 유사한 경향이었다(Lee 등, 2017).
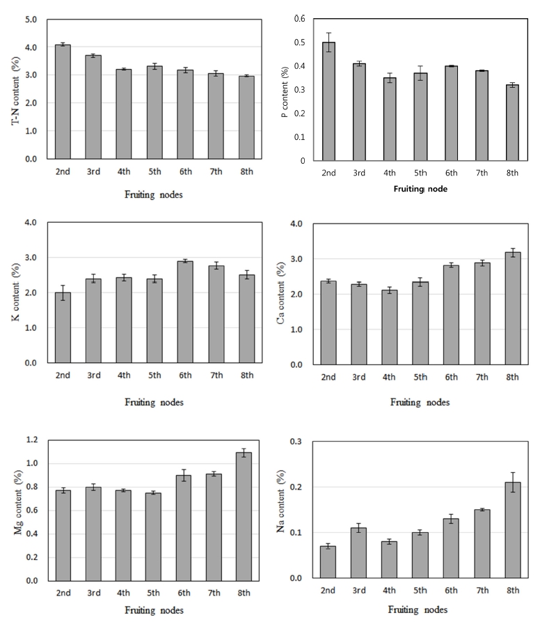
착과절위별 화방이 개화하는 시기에 식물체 잎을 채취 하여 다량원소 함량을 분석한 결과는 Fig. 3과 같다. TN은 생육 초기인 2화방 개화기에 4.09%로 함량이 가장 높았으나, 이후 3화방부터 점차 낮아져 4화방 개화기 3.21%, 6화방 개화기 3.18% 그리고 8화방 개화기엔 2.97%로 낮아져, 원예연구소 토마토 배양액을 사용할 경 우 N 3.0-3.3%와 비슷하였으나(Seo 등, 2003), 엽병의 사관 추출액 보다 높았다(Kinoshita와 Masuda, 2011). 식물체의 P 함량 역시 생육 초기인 2화방 개화기에 0.5%로 가장 높았고, 이후 점차 낮아져 4-8화방 개화기 에 0.32-0.4%로 분석되어, 원예연구소 토마토 배양액과 비교할 때 다소 높은 경향이었다. K 함량은 T-N 함량과 반대로 생육 초기인 2화방 개화기에는 2.0%로 함량이 적었으나, 3-5화방 개화기까지 2.24-2.43%로 약간 높아 지고, 6-8화방 개화기에는 2.51-2.90%로 함량이 증가되 어, 원예연구소 토마토 배양액 3.9-5.3%보다는 낮은 양 상을 보였다.
Ca 함량은 2화방 개화기에 2.38%였으나, 3화방 및 4 화방 개화기에는 약간 감소하다가 5화방 개화기부터 다 시 증가하기 시작하였고, 특히 8화방 개화기에는 3.32% 로 분석되었다. 8화방 개화기에 Ca 함량은 2화방 개화 기 보다 1.4배 증가하여 생육 후기로 갈수록 함량이 높 아지는 경향이었다. 이는 원예연구소 토마토 배양액을 사용할 경우(0.6-0.9%) 보다 높은 경향이었다. Mg 함량 도 전 생육기간 0.77-1.09%의 범위로 분석되었는데 6-8 화방 개화기의 함량이 약간 높은 경향으로 원예연구소 토 마토 배양액을 사용한 경우(0.3-0.4%) 보다 높았다. Na은 2화방 개화기에 0.07%로 가장 낮았으나, 3화방 개화기부터 꾸준히 증가하여 8화방 개화기에는 0.21%까지 증가하였 다. 그 외 Cu는 2화방 개화기에 11mg·kg-1에서 화방이 증 가할수록 지속적으로 감소하여 8화방 개화기에는 3mg·kg-1 이었으며, Zn은 15-26mg·kg-1 이었다 (data not shown).
토마토의 반촉성 재배시 식물체의 T-N와 P 함량은 착 과절위가 증가함에 따라 감소되는 경향이었으나, Ca 함 량은 증가하는 경향으로 방울토마토(Lee 등, 2017)의 결 과와 유사하였다. 그러나 일반토마토는 K, Mg 및 Na 함량이 생육이 진전될수록 증가하였으나, 방울토마토는 착과절위별 차이가 적은 편이었다. Wilcox(1993)는 토마 토 토경재배 시 재배기간이 경과함에 따라 잎의 질소 및 인산 함량뿐만 아니라, K, Ca 및 Mg 함량이 점차 감소한다고 하였으나, 본 실험에서는 K, Ca, Mg 및 Na 함량이 증가하는 경향을 보여 다른 특성을 보였다. 이는 사용하는 배양액 중 다량원소의 함량 차이에 기인하는 것으로 생각한다(Seo 등, 2003). 또한 Sonneveld와 Voogt(2009)는 토마토와 오이 재배시 노엽보다 신엽의 N 및 K 함량이 높고 Ca과 Mg은 신엽보다 노엽에서 함 량이 월등히 높으며 P은 큰 차이가 없다고 보고하였다. 그러나 본 실험에서 K 함량이 높아지는 경향을 보였으 며 이는 재배 조건 및 시기, 품종 차이에 기인한 결과로 생각된다. 아울러 공급되는 양액 중 N보다 K과 Ca이 더 많이 시비되고, 수경재배 기간이 길어질수록 배지에 존재하는 K, Ca 및 Mg 등 양이온 농도가 높아져 식물 체의 흡수량이 증가된 반면 음이온인 NO3-N 및 PO4-P 는 수경재배 시 쉽게 용탈되어 재배기간이 경과됨에 따 라 감소하는 것으로 생각된다(Lee 등, 2017).
일반토마토의 생육단계별 공급하는 양액과 배액의 EC 와 pH를 조사한 결과는 Fig. 4와 같다. 공급액의 EC는 정식 후부터 활착기까지 1.7dS·m-1로, 이후 생육 후기까 지 2.0dS·m-1로 관리하였다. 정식 후 생육 초기인 4월 5 일까지는 공급액보다 배액의 EC가 약간 낮거나 비슷하 였다. 이후 5월 10일까지 배액의 EC는 2.5dS·m-1까지 서 서히 증가하였으며, 5월 17일부터 수확 종료까지 최고 3.0dS·m-1까지 증가하였다가 이후 농도가 다소 감소하였다.
정식 25일 이후 EC가 높아진 것은 여러 연구 보고 (Lee 등, 2017;Seo 등, 2003;Zhang 등, 2010b)와 유사 하게 재배시기가 여름철이고 대기온도가 높아지면서 작 물의 수분 흡수량이 증가한 것이 원인이라고 생각한다 (Fig. 1). Sonneveld와 Voogt(2009)에 의하면 물과 무기 양분의 흡수기작이 다르고, 각종 무기원소 또한 원소별 로 흡수기작이 다르다. 본 연구에서는 생육 초기와 후기 로 구분하여 일정하게 EC를 조절한 양액을 공급하였지 만 대기온도 상승이 원인이 된 수분 흡수량 증가가 배 지에 무기원소가 집적되는 원인이 되어 배액의 EC가 점 차 높아졌다고 판단한다. 아울러 본 실험의 봄 작형 일 반토마토에서 배액의 최고 EC는 3.0dS·m-1로 동일 작형 방울토마토 4.5dS·m-1보다 낮았는데(Lee 등, 2017), 이는 토마토 품종 및 생육 상태에 따라 수분 및 무기성분 흡 수에 차이가 발생하였기 때문으로 생각한다.
작물의 원소별 양분 흡수에 큰 영향을 미치는 pH는 대부분 원예작물의 재배를 위해 양액의 pH를 5.5-6.5의 범위로 조절할 것을 추천하고 있다(Nelson, 2012;Yun 등, 2000). 본 실험에서 2주까지는 공급액의 pH를 조절 하지 않아 배액의 pH가 높았다. 이후 공급액의 pH를 5.6-6.4 범위로 낮추어 공급한 결과, 3-8주까지는 배액의 pH가 약간 상승하는 경향을 보였고, 9주 이후부터는 공 급액보다 배액의 pH가 낮아지는 경향이었다. Seo 등 (2003)은 반촉성 완숙 토마토 펄라이트 재배 시 적정 급 액량과 급여 농도에서 배액의 EC는 생육 중·후기로 갈 수록 높아지고 pH는 정식 후 75일까지는 높아졌다가 낮 아진다고 보고한 바 있다. Zhang 등(2010b)은 폐양액과 기존 비료를 이용한 토마토 관비재배 시 생육 후기로 갈수록 EC가 높아지고 pH가 낮아졌다고 보고하였다. Lee 등(2017)도 방울토마토 반촉성 수경재배에서 유사한 결과를 보고한 바 있다. 이는 생장이 왕성한 생육초기에 NO3-N 등 음이온의 흡수량이 많아 pH가 높은 반면에, 과실이 발달하는 생식생장기에 K+, Ca2+ 등 염기성 양이 온의 흡수가 증가하고 뿌리로부터 수소이온(H+) 및 유기 산 등이 방출하기 때문인 것으로 생각된다(Jun 등, 2005;Park과 Kim, 1998).
생육기간 동안 공급액과 배액의 무기이온 농도를 분석 한 결과는 Fig. 5와 같다. 생육 초기에는 공급액과 배액 의 NO3-N 농도 차이가 크지 않았지만, 정식 5주 후부터 생육 말기까지 배액의 농도가 높았고, 특히 정식 12주에 는 공급액(718mg·L-1)보다 배액(1,215mg·L-1)에서 1.7배 가량 높았다. PO4-P는 생육 초기인 정식 6주 후까지는 공급액과 배액의 농도가 비슷하였으며, 이후 생육이 진 전됨에 따라 배액의 농도가 높아졌고, 정식 후 13주-15 주에는 45-50mg·L-1의 고농도로 분석되었다. K은 PO4-P 과 같은 경향으로 공급액과 배액의 농도가 유사하다가 배액의 농도가 점차 높아져, 6월 7일 이후에는 공급액보 다 배액 농도가 1.4배 높았으며 생육 종료 시점에는 공 급액과 배액이 비슷하였다. Ca 및 Mg은 정식 25일경인 4월 5일까지는 공급액과 배액 농도가 비슷하였고 생육 후기로 갈수록 배액에서 높아졌다. 또한 미량원소인 Fe, B 및 Na도 생육 초기부터 배액에서 함량이 높았으며 생 육 후기에는 더 높은 경향이었다(data not shown).
딸기 순환식 수경재배 시 생육기간 동안 무기원소의 성분 변화가 거의 없다고 하였는데(Jun 등, 2005), 본 실 험에서는 5월 10일 이후 공급액보다 배액에서 무기원소 농도가 높은 경향이었는데, 이는 토마토(Kim 등, 2001), 방울토마토(Lee 등, 2017), 파프리카(Zhang 등, 2010a)처 럼 고온기에는 식물체의 수분 흡수량이 증가하고, 배출 되는 배액량이 감소함에 따라 배지 내에 집적된 무기원 소의 양이 증가한 요인으로 판단된다. 이러한 무기이온 농도 변화는 Fig. 1에서 보는 바와 같이 기온 및 일사량 과 상관관계가 높은 것으로 생각된다. 아울러 금후에는 효율적인 양액관리를 위한 무기원소 교정 방법에 대한 추가 연구가 필요할 것으로 생각된다.








