서 론
국내 토마토(Lycopersicum esculentum L.)의 생산방법 은 2010년부터 노지재배에서 시설재배로 완전히 변화하 였다(MAFRA, 2015). 2014년 기준 재배면적이 7,070ha 이고 생산량이 약 50만톤이었으며 전년대비 각각 16.8과 28.6% 증가하였다. 시설재배면적과 생산량의 증가는 토 마토 공정묘의 수요가 증가하는 원인이 된다.
1990년대 초반 과채류의 플러그 묘 생산에서 육묘를 위한 상토나 육묘 과정 중 시비는 공정묘의 품질에 큰 영향을 미침에도 육묘용 상토나 추비에 관한 연구 예는 미미한 실정이다. 공정묘 생산을 위한 혼합상토는 대부분 피트모스나 코이어 등에 펄라이트나 질석 등을 섞어 물 리성을 조절한 혼합상토를 사용하고 있지만 대부분 계절 에 관계없이 동일한 혼합상토를 사용하고 있으며, 묘령에 따른 시비농도에 관하여 정밀하게 수행된 연구결과가 없 어 육묘농가에서 시행착오가 발생하는 원인이 된다.
정식 전 토마토 묘소질은 육묘 과정 중 셀의 크기 (Kim 등, 1999;Lee와 Kim, 1999), 양액의 농도(Kim 등, 1999), 약제 처리(Choi 등, 2001), 육묘일수(Choi 등, 2002a), 육묘시기(Choi 등, 2002b) 그리고 온도와 일장 (Ohyama 등, 2005) 등에 영향을 받는 것으로 보고된 바 있다. 즉 생장정도는 육묘용 셀의 크기가 작거나, 추비 시기가 늦어지거나, 시비농도가 낮을 때 저조하였으며, 이 중 가장 큰 영향을 미치는 것은 최초의 추비시기라 고 알려졌다(Lee와 Kim, 1999). 토마토 플러그 육묘시 또 다른 문제점은 쉽게 도장된다는 것인데 이를 방지하 기 위해 관수시 저온의 양액공급, 지베렐린 생합성 억제 제 사용(Choi 등, 2001; Sun 등, 2010), 플러그 셀의 파 종밀도 저하 및 혼합상토에 기비 무첨가(Lee와 Kim, 1999) 등의 방법이 적용되기도 한다.
작물재배시 물(양액) 소비 감소와 노동력 절감을 통한 생산비 절감 그리고 지하수 오염 등을 줄이기 위해 전 세계적으로 관수 방법을 두상관수(overhead irrigation)에 서 저면관비(subirrigation)법으로 전환하는 추세이지만 국내에서는 일부 화훼작물(Kang 등, 2011)과 ornamental pepper(Kang 등, 2003) 재배에 이용한 예는 있으나 채소 류에서는 미진한 편이며 심지관수를 통한 엽채류 연구 (Cho 등, 2010)가 수행된 바 있다. 그러나 우리나라도 환경오염을 줄이기 위한 세계적인 추세에 부응해야 한다 고 생각하고 저면관비 육묘를 위한 혼합상토 개발과 시 비체계 확립을 위한 연구를 수행 중에 있다.
한편 증·발산량이 많은 여름철 육묘를 위해서는 보수 성이 높은 상토가 이용되지만, 상대적으로 온도가 낮고 생장량이 적은 겨울철에는 토양 통기성이 우수하고 상토 가 쉽게 건조될 수 있도록 보수성이 낮으면서 대공극 비율이 높은 혼합상토가 이용된다. 공극률이나 상토 내 에 형성된 공극의 크기를 확대시키기 위해 직경이 큰 펄라이트가 혼합되거나, 혼합된 펄라이트의 비율이 높아 질 때 상토 내의 공극크기가 변하며 이는 모세관력에 의한 수분상승과 표토의 무기염 집적도 달라질 수 있음 을 의미한다.
본 연구에서는 이미 동절기 육묘용으로 적합하다고 선 발한 2종류의 혼합상토(피트모스와 펄라이트 혼합상토) 를 사용하여 저면관비법으로 토마토를 플러그 육묘할 때 추비의 종류 및 농도에 따른 실생묘 생장과 근권부 화 학성을 조사 및 분석하여 저면관비 육묘에 대한 기초자 료를 제공하고자 하였다.
재료 및 방법
1. 생육단계별 추비
상토의 물리성이 고려된 2종류의 겨울철 육묘용 혼합 상토를 재료로 사용하였다(Table l). 2종류의 동계용 혼합 상토는 에스토니아산 피트모스(PM06, Dongbu Hannong Co., Ltd. Daejeon, Korea)와 라트비아산 피트모스 5- 15mm(PM515, Shinsung Mineral Co., Ltd. Jincheon, Korea)를 주재료로 하였다. 각 피트모스에 직경 1-2mm 의 펄라이트(PE2, Shinsung Mineral Co., Ltd. Jincheon, Korea)를 7:3(v/v)으로 혼합한 후 Choi 등(1996)의 방법 을 따라 2종류 상토의 이·화학성을 분석한 결과 공극률, 액상률 및 기상률이 각각 79.8-86.7, 60.4-74.9 및 11.8- 19.6% 범위였고, pH가 약 3.6, EC 0.06-0.07dS·m-1였다. 조제된 상토에 Nelson(2003)이 제시한 시비방법을 적용 하여 플러그육묘에 적합하도록 기비를 첨가하였다. 기비 는 고토석회 1.73-1.96g·L-1, CaCO3 0.15-0.23g·L-1, 용과 린 0.3g·L-1, KNO3 0.3g·L-1, Ca(NO3)2 0.3g·L-1, 미량원 소복합제(Nutrichem Kombi-F, Belgium) 2g·L-1였다. 이후 72공 플러그 트레이에 조제된 2종류의 혼합상토를 충전한 후, 토마토 ‘도태랑다이아’(Koregon Co., Ltd. Korea)를 파 종하여 온도 28°C, 습도 85%인 암조건 하에서 발아시키고, 그 후 생장상(HB-301M-3, Hanbaek Scientific Technology) 에서 육묘하였다. 온·습도 측정은 HM41(Vaisala Humicap Hand-Held Humidity and Temperature Meter, Finland)를 이용하였다.
본 실험은 2014년 5월 28일부터 6월 25일까지 동절기 용으로 설정한 생장상에서 5주간 수행하였다. 생장상은 온도, 습도 및 유효광량자속을 각각 주간 23°C, 45% 및 40-70μmol·m-2·s-1, 야간 18°C와 55%로 설정하였다. 광도 는 LI-6400(portable photosynthesis system LI-COR, USA)을 사용하여 식물체 상단 30cm 위에서 측정하였다. 토마토의 경우 도장으로 인한 생장을 억제하기 위해 빈 나리 수화제(디니코나졸 수화제, Dongbang Agro Corp., Korea)를 0.16g/L로 희석하여 발아 후 매주 1회당 10mL씩 분무하였다. 추비는 기비의 비효가 낮아지기 전 (Styer와 Koranski, 1997) 파종 2주 후 트레이의 무게가 수분 최대 포화 기준으로 40-50%로 감소할 때 관비하였 다. 관비는 저면관비와 생장정도를 감안하여 Sung 등 (2016)의 방법을 수정하여 N-P2O5-K2O 기준 13-2-13, 20-9-20, 15-0-15(Sunshine Technigro, USA)의 순서대로 Table 2의 Program에 따라 트레이당 1.5L씩 추비하였다. 그리고 추비를 위한 관비용액에는 토양습윤제(Shinsung Mineral Co., Ltd. Jincheon, Korea)를 0.25mL·L-1씩 첨 가하였다. 근권부의 무기이온 농도 변화를 분석하기 위 해 파종 1, 2, 4 및 5주 후에 육묘 중인 혼합상토를 상 부, 중간 및 하부로 나누어 채취하고, Warncke(1986) 방 법으로 추출하였다. 이들 추출액으로 pH와 EC를 측정 (Multi meter, Model CP-500L, Istek, Korea)하였으며, 무기이온 농도를 이온크로마토그래피(IC, Waters 432 conductivity, Younglin, Seoul, Korea)를 사용하여 3반복 으로 분석하였다. 추비 Program에 영향을 받은 토마토의 유묘 생장은 파종 후 5주에 생장조사를 통해 파악하였 다. 생장조사를 위해 72공 플러그 트레이에서 무작위로 수집한 10개체의 초장, 초폭, 엽장, 엽폭, 엽수, 엽록소 함량(SPAD-502, Minolta, Japan), 경경, 지상부 생체중 및 건물중 등을 측정하였다. 초장은 상토 표면에서 정단 부까지, 초폭은 실생묘의 가장 넓은 부분, 엽장은 신엽 중 완전히 전개된 가운데 엽신의 길이, 엽폭은 엽장과 직각으로 엽신의 가장 넓은 곳을 측정하였다(Fig. 1).
Table 2.
Days after sowing, growth stages of plug seedlings, and concentrations of post-planting fertilizers applied in the raising of tomato seedlings.
![]() |
시비 프로그램에 따른 플러그 묘 생장은 Costat 프로그 램(Monterey, California, USA)을 사용하여 비교하였다. 또한 플러그 묘 육묘과정에서 채취한 상토의 pH와 EC 및 무기이온의 변화는 표준오차로 나타내었다.
결과 및 고찰
‘도태랑다이아’ 토마토를 3종류의 Program으로 육묘한 결과, 피트모스 0-6mm(PM06)+펄라이트 1-2mm(PE2)는 Program 2처리구에서 유묘의 경경, 생체중 및 건물중이 가장 컸고(Table 3), 추비의 농도가 더 높았던 Program 3 처리구에서는 오히려 생장이 감소하여 Program 1처리구 와 유사하였다. 엽록소 함량, 경경, 지상부 생체중 및 건 물중은 추비 농도간 통계적 차이가 인정되었으나 나머지 조사 항목은 차이가 없었다. 입경이 5-15mm인 피트모스 (PM515)+PE2에서는 엽장, 엽폭 및 경경이 Program간 차 이가 인정되었으며 Program 2처리구에서 가장 작았지만 생체중 등 다른 모든 조사항목은 차이가 없었다. 이들 2종 류의 혼합상토 비교에서 모든 생장 조사항목들의 차이가 인정되었으며 초장, 엽장, 엽수, 생체중 및 건물중은 차이 가 0.1% 수준에서 유의하였으며 PM06+PE2의 Program 2 처리구에서 묘소질이 가장 우수하였다.
Table 3.
Growth characteristics of ‘Dotaerang Dia’ tomato 35 days after sowing in 72-plug trays as influenced by composition of media and concentration of post-planting fertilizers.
![]() |
육묘기간 중 PM06+PE2의 상토 pH는 적정 영역으로 보고된 5.6-6.2(Bunt, 1988; Nelson, 2003)보다 다소 낮 았으나, 또 다른 겨울철 육묘용 PM515+PE2 보다는 높 았다(Fig. 2). 추비 농도에 영향을 받은 육묘 기간별 pH 변화를 비교했을 때 추비 농도가 가장 낮았던 처리구 (Program 1)에서 pH 변화의 폭이 컸고 파종 후 5주에 하부에서 가장 낮게 측정되었다. Program 2와 3을 적용 한 처리는 pH 변화폭이 상대적으로 작았으며 전반적으 로 하부의 pH가 높았다. 이는 Morvant 등(1997)이 제라 늄을 저면관수했을 때 하부의 pH가 가장 낮았다는 보고 와는 상반되는 결과인데 혼합상토의 보수성, 관수사이클 그리고 이에 영향을 받은 상토 내 CO2 확산과 관련이 있다고 판단된다. 본 실험에서는 겨울철 육묘와 유사한 환경을 조성하기 위해 온도 및 광도가 낮게 관리되었고, 낮은 온도조건에서 식물체의 증산량과 상토 표면으로부 터의 증발량이 적을 수밖에 없는 조건이었다. 상토가 장 기간 과습한 상태로 유지되어 CO2 확산이 어려워지면 H2O+CO2 ⇒ H2CO3의 반응이 촉진되어 상토 내에 중탄 산(HCO3-)이 축적되고 중탄산이 pH를 높이는 원인이 된 다(Nelson, 2003). 본 연구에서 높이가 낮은 플러그 셀 은 높이가 높은 포트보다 상토 아랫부분이 과습하게 유 지되어 가스 확산이 어렵고 하부에 위치한 상토의 pH가 높은 원인이 되었다고 판단된다. PM515+PE2에서 토마 토 ‘도태랑다이아’를 육묘하는 동안 근권부의 평균 pH는 비료농도에 비례하여 높아지지 않았으며 추비 Program 2 를 적용한 처리구에서 가장 낮았다. Program 1처리구의 pH는 육묘기간에 관계없이 상토의 중간 부분이 가장 높 았다. Program 2처리구의 pH는 파종 후 2, 4주 이후 하 부에서 가장 높았으나 5주 후에는 오히려 상부에서 높 았으며 중간과 하부는 비슷해졌다. 이와 같이 2종류 상 토의 pH가 다른 양상을 보이며 변한 것은 상토 구성재 료인 피트모스의 물리성에 기인한 결과라고 판단된다. PM06에 비해 PM515는 입경이 크고 혼합상토 조제 후 에도 입자간에 형성된 대공극의 비율이 높았을 것으로 추정된다. 따라서 직경이 작은 PM06이 상토 구성재료로 혼합된 처리는 아랫부분의 가스 확산이 불량하고 pH가 높아지지만 PM515가 혼합된 상토는 가스 확산이 원활 한 상토의 상부나 하부보다 가스 확산이 불량한 중간 부위의 pH가 높은 결과로 귀착되었다고 생각한다.

Fig. 2
Changes in the pH of root media during 35 days after sowing of ‘Dotaerang Dia’ tomato in 72-cell plug trays as influenced by compositions of media and concentrations of post-planting fertilizers. Vertical bars represent standard errors of the means (n=3) [A, PM06 (peat moss 0- 6 mm)+PE2 (perlite 1-2 mm); B, PM515 (peat moss 5-15 mm)+PE2; Top, upper part of plug cell; Middle, mid part of plug cell; Bottom, lower part of plug cell; P1, Program 1; P2, Program 2; P3, Program 3 of post-planting fertilization indicated in Table 2].
PM06+PE2에서 Program 1과 2를 적용하여 토마토를 육묘할 때 근권부 EC는 유사한 경향을 보이며 변하였다 (Fig. 3). 전반적으로 혼합상토 상부의 EC가 다른 부분 보다 높았으며, Program 2처리구의 경우 상부의 EC가 파종 5주 후에 약 2.5dS·m-1로 하부보다 3배 더 높았다. 이는 두상관수와 달리 저면관수에서 모세관력에 의해 비 료용액이 상향이동하고, 이동 후 상토 표면에서 물이 증 발하고 염이 남아있기 때문이며 Morvant 등(1997)과 Montesano 등(2010)도 동일한 결과를 발표하였다. 한편 추비 농도가 가장 높았던 Program 3처리구에서 상부와 중간에 위치한 상토의 EC가 파종 후 4주까지 감소하였 으나 5주 후에 다시 상승하였으며, 하부는 일정한 경향 없이 감소와 상승을 반복하였다. PM515+PE2의 상부에 위치한 상토의 EC는 추비 농도에 따라 다소간 차이가 있었으나 파종 후 4주까지 낮아졌다가 5주 후 다시 상 승하였다. 그러나 PM06+PE2보다 EC가 낮은 경향이었 으며, 추비 농도에 관계없이 파종 후 2, 4주 이후 상토 의 중간과 하부는 0.5dS·m-1 이하였다. 이와 같이 직경이 작은 PM06+PE2보다 직경이 큰 PM515+PE2에서 EC가 낮은 것은 상토의 양이온치환용량과 관련지어 판단할 수 있다. 비록 본 연구에서 양이온치환용량을 측정하지 않 았지만 유기물질의 입경이 작을수록 양이온치환용량이 상승하는 것은 잘 알려진 사실이며, 양이온치환용량이 상승하여 더 많은 비료를 흡착시키므로 상토의 EC가 높 아진 원인이 되었다고 판단한다.

Fig. 3
Changes in EC of root media during the 35 days after sowing of ‘Dotaerang Dia’ tomato in 72-cell plug trays as influenced by compositions of media and concentrations of post-planting fertilizers. Vertical bars represent standard errors of the means (n=3) [A, PM06 (peat moss 0-6 mm)+PE2 (perlite 1-2 mm); B, PM515 (peat moss 5-15 mm)+PE2; Top, upper part of plug cell; Middle, mid part of plug cell; Bottom, lower part of plug cell; P1, Program 1; P2, Program 2; P3, Program 3 of post-planting fertilization indicated in Table 2].
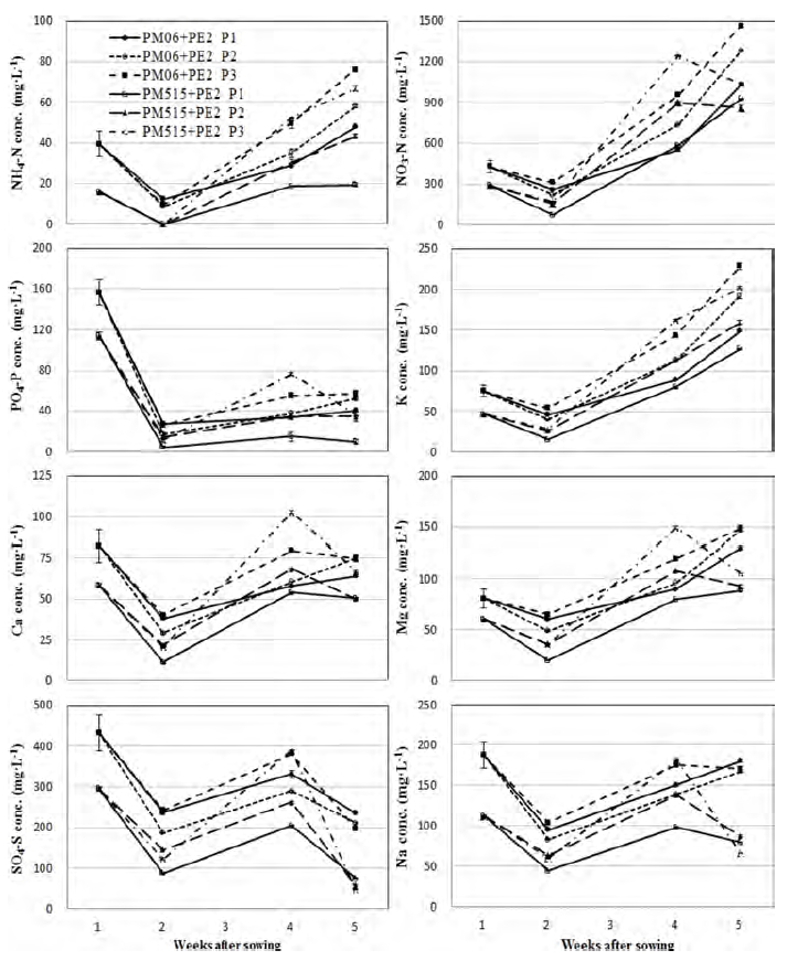
육묘 기간별 상토 포화추출 용액의 무기이온 농도를 IC로 분석하여 Fig. 4에 나타내었다. NH4-N과 K 이온 농도는 혼합상토나 추비 농도에 관계없이 2주부터 5주 까지 육묘기간이 길어질수록 높아졌으며, PM06+PE2의 Program 3처리구에서 가장 높았다. PM06+PE2에서 NO3-N 농도 역시 전 육묘기간 동안 지속적으로 높아지 는 경향을 보였으며 추비 농도가 가장 높았던 처리구에 서 높은 농도로 분석되었다. 한편 PM515+PE2에서는 추 비농도가 가장 낮았던 Program 1처리구는 PM06+PE2의 처리구와 유사한 경향을 보이며 NO3-N의 농도가 변하 였으나 Program 2 및 3처리구는 파종 후 4주 이후 다시 낮아졌다. PO4-P은 2주까지 급격히 농도가 낮아진 후 파종 후 5주까지 낮아진 농도가 유지되었지만 시비농도 가 높았던 Program 3 처리구에서 높은 농도로 분석되었 다. Ca 농도는 PM06+PE2가 PM515+PE2보다 다소 높 게 유지되었으며 PM06+PE2의 Program 중에서는 1과 2 처리구에서 파종 후 5주까지 계속 높아지는 경향이었다. 나머지 모든 처리구에서는 파종 후 4주까지 높아졌다가 다시 낮아졌으며 PM06+PE2에서 농도가 높았던 것은 PM06이 PM515보다 입경이 작았던 것이 원인이라고 판 단하였다. Mg 농도 역시 PM06+PE2가 PM515+PE2 보 다 높았고 육묘기간 동안 지속적으로 높아졌는데 추비 농도가 높아질수록 그러한 경향이 뚜렷하였다. 반면 PM515+PE2는 파종 후 4주까지 높아졌다가 5주에 낮아 졌으며 Program 3처리구가 1과 2처리구보다 높았다. 전 반적으로 상토 내의 무기이온 농도는 PM06+PE2가 PM515+PE2보다 더 높았으며 이는 근권부 EC가 더 높 았던 것과 일치하는 경향이었다. 또한 근권부 pH와 EC 가 높았던 혼합상토에서 플러그 묘 생장이 더 우수하였 으며, 이는 PM06+PE2에서 PM515+PE2보다 생장이 양 호하였다는 의미이다. 즉 Nelson(2003)이 식물생장에 적 합하다고 언급한 pH 보다 낮았지만 2 혼합상토간 상대 적으로 높았고, 배양액의 EC 또한 3.0dS·m-1 이하에서는 EC가 높을 때 고추냉이의 생장이 양호(Choi 등, 2011) 하여 하였다는 결과와 일치하였다.

Fig. 4
Changes in macro-nutrient concentrations of media during 35 days after sowing of ‘Dotaerang Dia’ tomato in 72-cell plug trays as influenced by compositions of media and concentrations of post-planting fertilizers. Vertical bars represent standard errors of the means (n=3) [PM06 (peat moss 0-6 mm)+PE2 (perlite 1-2 mm); PM515 (peat moss 5-15 mm)+PE2; P1, Program 1; P2, Program 2; P3, Program 3 of post-planting fertilization indicated in Table 2].






