서 론
재료 및 방법
1. 재배 조건
2. 난방개시온도 실험
3. CO2 시비 농도 실험
4. 광합성 특성 조사
5. 생육조사 및 수확량 조사
6. 수확량에 대한 해석과 경제성 분석
7. 데이터 수집 및 통계 분석
결과 및 고찰
1. 온실 내 환경 분석
2. 처리 간 광합성 분석
3. 애호박의 생육 및 생산량 분석
4. 생육도일 온도(GDD)와 누적수확량의 관계 및 경제성 분석
서 론
애호박은 국내에서 주로 미숙과 상태로 이용되는 호박으로 둥근 형태의 풋호박과 함께 대표적인 동양계 호박(Cucurbita moschata D.) 중의 하나이다. 페포종인 ‘주키니’와 동양종 호박인 ‘서울마디’의 종간교잡 후대로부터 1974년에 육성한 애호박 최초의 품종은 ‘불암사철애호박1호’이고, 최근 애호박 품종들은 과일의 표피 색깔이 연하고 밝은 방향으로 육성되고 있다(Ko와 Cho, 2013). 애호박은 주키니 호박에 비해 물성이 강해 찌개와 전에 사용하여도 형태를 유지함에 탁월하여 국내 식탁에서 많이 사용된다(Park 등, 2010). 2020년 호박의 재배면적은 773.5ha이고 애호박은 593.3ha 그중 시설 애호박의 재배면적은 228.1ha이다(KOSIS, 2020).
호박은 22-23℃가 생육 적온이며 35℃ 이상의 고온에서는 화아분화에 이상이 생겨 착과 불량이 유발될 수 있다. 호박은 같은 박과 작물인 오이에 비해 단위결과가 매우 낮은 편이라 인공수분 또는 호르몬제를 이용한 착과처리가 필요하다. 다른 박과 작물에 비해 낮은 10℃에서 저온에서 수정은 가능하지만, 원활한 수정을 위해서는 16℃ 이상의 조건 유지해 주는 것이 좋다고 알려져 있다(NeSmith, 1997). 온실의 온도는 CO2 농도, 광량, 수분과 함께 광합성에 중요한 요소이다. 높은 온도에서는 호흡량 증가 및 광합성량 저하, 낮은 온도에서는 증산량과 효소반응이 더뎌져 정상적인 생육이 어렵다. 작물에 적합한 최적 환경제어 기술은 작물의 생육과 수확물 품질에 매우 중요한 요인이다(Dorais, 2003; Heuvelink와 Challa, 1989).
저온기 온실은 환기량이 적어 광합성이 활발한 시간에 CO2 농도가 낮아져 광합성 속도 저하로 생육이 느려질 수 있어 농가에서는 CO2 시비를 한다(Jeong 등, 2022). 토마토에서 CO2와 온도 상승이 수량과 과실 특성에 영향을 준다는 연구(Lee 등, 2008)가 있었고 토마토 묘 생산시 24.7℃와 CO2 동시 처리 시 다른 처리구에 비해 생육이 촉진되는 것을 알 수 있었지만(Ahn 등, 2003), 하우스 애호박 재배에서 난방온도와 CO2 시비에 관한 연구는 시도되지 않았다. 애호박의 경우 CO2 시비와 난방 개시 온도에 대한 데이터가 부족한 실정이다. 본 연구에서는 난방 개시 온도와 CO2 시비에 따라 애호박의 생육과 생산량에 미치는 영향을 조사하여 저온기 애호박 재배환경을 정량화하였다.
재료 및 방법
1. 재배 조건
본 실험은 목포대학교 부속농장 내 2중 PE 필름 플라스틱 하우스(1중: 19.5×8.2×5.0m; 2중: 17.5×7.5×4.5m)에서 진행하였고 온실 안에 분리된 공간(4×3×3m)을 조성하여 2019년 12월부터 2020년 4월까지 실험을 진행하였다. 공시작물은 애호박 ‘농우애’(Nongwoo-ae, Nongwoo-Bio, Icheon, South Korea)를 사용하여 50공 플러그트레이에 파종 후 28일째에 코코피트 슬라브(110×20×10cm)에 정식하였다. 양액은 서울시립대 애호박 배양액을 기준으로 EC 3.0mS·cm-1, pH 5.5를 기준으로 관수하였다. 관수 주기는 적산일사량이 100J·cm-2일 때 생육초기 100mL, 생식생장 이후는 200mL를 급액하였다. 온실 내부 온도는 환기창 제어 방식을 이용하여 시간대에 따른 목표 온도를 설정하여 목표 온도보다 실내 온도가 높아지면 환기창이 열리도록 하였다.
2. 난방개시온도 실험
저온기 난방 개시 온도 조절을 위해 전기 온열장치(SWE- 15F, Shinwoo Automatic, Daegu, Korea)를 사용하였다. 전기 온열장치의 난방 개시 온도를 9℃, 12℃, 15℃로 설정하여 목표 온도 이하에서만 작동하게 하였다. 일몰 후에 10℃ 이하로 내려가기 때문에 야간 난방이 주목적이지만 주간에 폭설과 한파로 광량이 적어지고 온실 열 손실이 클 때도 사용하였다(Jeon 등, 2022).
3. CO2 시비 농도 실험
온실에서 CO2 농도는 해가 뜨기 시작한 시점부터 감소하다 해가 진 후에 증가하는 양상을 반복한다. 주간에 환기를 통한 가스 교환으로 CO2 농도를 유지해 줄 수 있지만 저온기에는 환기가 원활하지 않아 CO2 고갈 상태가 되기 쉽다. 처리 조건으로 무처리구(15℃), 500µmol·mol-1(15℃), 800µmol·mol-1 (15℃)로 설정하였고 시비 시간은 7시부터 12시까지 진행하였다. 가스는 공기 유동에 의해 흩어지기 쉽기 때문에 환기창이 30% 이상 열리면 시비를 정지하였다. CO2는 식음료용 액화 탄소를 이용하였다.
4. 광합성 특성 조사
잎의 동화산물 생산 상태를 알아보기 위해 생장점 기준 5-7마디의 잎을 대상으로 광합성 측정기(Li-6800, Li-Cor Inc., Nebraska, USA)를 이용하여 측정하였다. CO2 반응 측정 시 CO2 농도는 100, 200, 400, 600, 800, 1200, 1600µmol·mol-1 으로 설정하였고 Light 반응 측정 시 광량을 1600, 1200, 800, 400, 200, 100, 0µmol·m-2·s-1으로 측정하였다. 챔버 온도는 25℃, 상대습도 55%이다. 작물의 광포화점과 CO2 포화점은 무처리구(15℃)를 이용하여 산출하였다. 광합성 반응곡선은 점근선을 가진 지수 함수식(Eq. 1)을 사용하였다(Kume과 Ino, 1993; Kim과 Lee, 2001a).
A : 광합성 속도
ϕ : 초기 기울기
I : CO2 농도
Amax : 최대 광합성 속도
R : 호흡속도
5. 생육조사 및 수확량 조사
애호박의 생육조사는 정식 후 29일차부터 진행하였고 초장, 엽수, 줄기굵기, 생체중, 건물중, 엽면적을 조사하였다. 엽면적은 엽면적측정기(LI-3100C, Li-Cor Inc, Nebraska, USA)를 이용하여 측정하였다. 개화 당일 수정능력이 가장 높은 오전에 생장조절제 토마토톤(4-CPA, FarmHannong, Seoul, Korea)을 이용해 수정하였고 7-10일 후 애호박 수확이 가능하였다. 애호박 생산량은 2020년 3월 23일부터 4월 6일까지 수확한 200g 이상의 과실을 대상으로 무게와 수량을 조사하였다.
6. 수확량에 대한 해석과 경제성 분석
수확량을 해석하기 위해 생육도일 온도(growing degree days, GDD)와 12℃, 15℃의 생산량을 이용하였고 회귀 분석에는 3개의 매개변수를 가진 시그모이드 함수를 이용하였다(Kim 등, 2018). Base temperature는 호박의 최저 한계온도인 8℃로 설정하였다(Lee 등, 2014; Wi 등, 2021). 생육도일 온도가 음수가 될 경우 0으로 처리하였다.
Max temp. : 일 최고 기온
Min temp. : 일 최저 기온
Base temp. : 발육이 정지되는 최저온도
경제성 분석은 2020년 2월의 수익성과 지출에 따른 순이익을 구하였다. 수익은 2020년 2월의 애호박의 평균 가격을 이용하였고 지출은 기간난방부하에 따른 연료소비량과 CO2 소비량을 산출하였다.
7. 데이터 수집 및 통계 분석
온실 환경 계측은 데이터로거(CR1000X, Cambell Sci., USA)를 이용하여 측정, 수집하였다. 내부 환경과 작물 생육에 관한 통계분석은 통계 프로그램 R(4.2.1, R Foundation for Statistical Computing, Vienna, Austria)을 사용하여 일원배치 분산분석을 수행하였고, 사후분석으로 DMRT(Duncan's multiple range test)를 사용하였다. 회귀분석과 그래프 작성에는 시그마 플롯(Sigmaplot 14.5)을 사용하였다.
결과 및 고찰
1. 온실 내 환경 분석
실험 장소인 2중 PE 플라스틱하우스의 1월부터 3월까지 온실 외·내부의 PPFD 변화를 조사하였다(Fig. 1). 온실 밖의 PPFD는 꾸준히 상승하였지만 온실 내의 PPFD는 2월까지 170µmol·m-2·s-1로 유지되다 3월부터 상승하기 시작하였다.
1월 23일 중 온도와 CO2 변화는 Fig. 2와 같다. 전기 온열장치로 인한 난방 설정 온도는 9℃, 12℃, 15℃이지만 야간 최저기온은 9.5℃, 13.1℃, 15.8℃로 설정 온도와 0.5℃, 1.1℃, 0.8℃ 차이가 나타났다. 대조구의 CO2는 환기창이 거의 열리지 않아 8-14시까지 감소하였다. 이는 일반적인 저온기 온실에서 관찰할 수 있는 특징이다. CO2 농도는 8시부터 상승하여 목표 농도에 도달까지 약 1시간 30분 정도 걸렸고, 시비가 종료되는 12시부터 CO2가 천천히 감소하는 것을 알 수 있다.
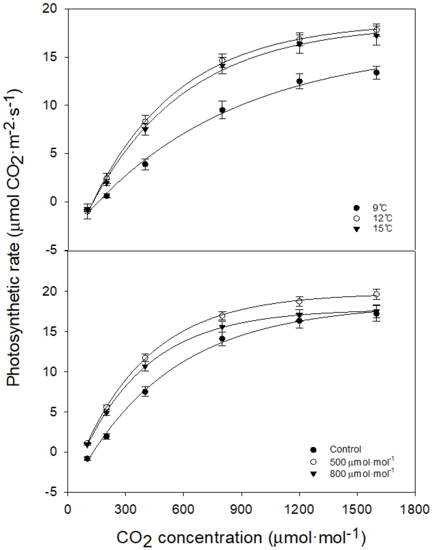
2. 처리 간 광합성 분석
애호박 단엽에 대한 광합성 측정은 일출 1시간 후부터 측정하였다. 광 포화점(Fig. 3)과 CO2 포화점은 난방 개시 온도가 15℃인 대조구의 데이터를 이용하여 산출하였는데 광포화점은 587µmol·m-2·s-1, CO2 포화점은 702µmol·mol-1이었다(Park 등, 2016). 난방 개시 온도에 따른 광합성률을 비교하였을 때 9℃는 다른 처리에 비해 낮은 광합성 속도(Fig. 4)를 보였다(Rowan과 Davod, 2007). 이는 온도가 효소 활성에 영향을 준다는 선행연구와 비교했을 때 광합성은 효소의 관여를 받는 기작으로 저온에서 효소의 활성이 낮아진 것으로 보인다(Lakso와 Kliewer, 1975).
CO2 시비에 따른 광합성률은 500µmol·mol-1이 가장 높았다(Fig. 4). 800µmol·mol-1은 저농도에서 500µmol·mol-1 과 고농도에서 대조구와 유사한 경향을 보였다. 대조구에 비해 CO2 시비구의 광합성률이 높은 것은 높아진 CO2 농도에서 식물 엽내의 CO2 분압 상승에 의하여 광합성이 촉진되기 때문이다(Kim과 Lee, 2001b).
3. 애호박의 생육 및 생산량 분석
야간 난방 개시 온도에 따른 실험에서 9℃ 처리는 거의 생육이 진행하지 않았다(Fig. 5). 15℃와 12℃는 통계적으로 유의한 차이를 보이지 않았지만 15℃에서 생체중, 건물중을 제외한 다른 항목에서 수치가 더 높았다(Table 1). 난방 개시 온도가 9℃일 때는 착과가 이루어지지 않아 수확량 그래프에서 제외하였고, 12℃와 15℃는 각각 5.1kg과 5.3kg을 수확하여 0.2kg 차이가 나타났다(Fig. 6). 호박의 생육 적온은 낮 온도는 22-25℃이고 밤온도는 13-15℃이다. 난방 개시 온도 12℃와 15℃ 처리구의 측정된 온도가 13.1℃, 15.8℃인 것으로 보았을 때 두 처리구는 저온 스트레스를 받지 않는 온도인 것을 알 수 있다. 이에 반해 9℃는 야간에 저온 스트레스에 노출되었고 수정 가능 최저 온도인 10℃보다 낮아 착과가 이루어지지 않은 것으로 보인다.
Table 1.
Effects of temperature on the growth characteristics of summer squash grown in a greenhouse.
| Temperature (℃) |
Plant height (cm) |
Stem diameter (mm) | No. of nodes |
Leaf area (cm2) |
Fresh weight (g) |
Dry weight (g) |
| 9 | 52.8 bz | 7.0 c | 22.3 b | 1,489 b | 99.0 b | 10.2 b |
| 12 | 240 a | 11.0 b | 33.5 a | 7,021 a | 670 a | 99.5 a |
| 15 | 249 a | 12.3 a | 35.5 a | 7,058 a | 649 a | 94.4 a |
CO2 처리에 따른 실험은 모든 항목에서 800µmol·mol-1, 500µmol·mol-1, 대조구 순으로 높았지만 유의성을 보이진 않았다(Table 2). 수확량에서 7.8kg, 5.9kg, 5.3kg으로 대조구에 비해 46%, 10% 높은 수확량을 얻었다. CO2 시비가 토마토 생육과 생산량을 증가시켰다는 보고된 바와 같이 박과에서도 CO2 시비가 생육과 생산량을 증가시켰다(Peter와 Peter, 1978).
Table 2.
Effects of CO2 concentration on the growth characteristics of summer squash grown in a greenhouse.
| CO2 concentration (µmol·mol-1) |
Plant height (cm) |
Stem diameter (mm) | No. of nodes |
Leaf area (cm2) |
Fresh weight (g) |
Dry weight (g) |
| Control (15℃) | 249 az | 12.3 a | 35.5 a | 7,058 a | 649 a | 94.4 a |
| 500 | 252 a | 11.4 a | 37.3 a | 7,072 a | 638 a | 88.0 a |
| 800 | 289 a | 12.3 a | 41.5 a | 7,318 a | 764 a | 104.0 a |
4. 생육도일 온도(GDD)와 누적수확량의 관계 및 경제성 분석
생육도일 온도와 누적 수확량과의 관계를 회귀 분석을 통해 식으로 나타낸 것이다(Fig. 7). 애호박 수확 기간은 16일 동안 조사한 것으로 초기 15℃의 수확량이 많지만 조사 후기에는 거의 비슷한 수준으로 나타났다. 이는 개화부터 수확까지 난방 개시 온도 15℃ 조건에서 8.3일(34.3g/일), 12℃ 조건에서 9.6일(28.3g/일) 소요되었고, 온도에 따른 과실비대 속도로 인해 수확 시기에 차이가 발생한 것으로 추정된다.
난방 개시 온도에 따른 경제성 분석 결과 9℃는 착과가 이루어지지 않아 손해가 발생하였다(Table 3). 하지만 12℃와 15℃ 처리구의 연소 소비량은 2,891L와 4,955L로 약 1.7배 차이로 나타났다. 난방개시 온도 15℃ 처리구의 생산량이 많았지만, 연료 소모량이 많아 순수익은 12℃가 높았다(Kwon 등, 2018). CO2 시비 농도에 따른 CO2 소모량은 500µmol·mol-1 3,320kg, 800µmol·mol-1 13,280kg 으로 4배의 차이가 났다. 천창 환기 시 높은 농도의 CO2는 외부와 빠르게 누출되기 때문에 시비 정지 조건인 환기창 개폐 30%까지 더 많은 양의 CO2를 사용하게 되었다. 그로 인해 CO2 구매 비용도 4배였지만 CO2 800µmol·mol-1인 처리구에서 수확량이 대조구 대비 46% 정도 높아져 전체 순수익이 높은 결과를 얻었다. 이상의 결과를 종합적으로 보면 난방 개시 온도는 15℃인 것은 작물 생육과 생산에는 좋았지만 12℃와 유의적인 차이가 없어 경제적 측면에서 애호박 하우스 난방 개시 온도를 12℃로 설정하고, CO2 시비 농도 800µmol·mol-1를 유지하는 게 생산량 증가에 효과적이라는 결론을 얻었다.
Table 3.
Economical analysis by heating temperature and CO2 fertilization concentration.
| Treatment |
Seasonal heating loadz (kcal·m-2 mon) |
Kerosene consumptiony (L·10a-1) |
CO2 consumptionx (kg·10a-1) |
Gross profitw (won·10a-1) |
Kerosene chargesv (won·10a-1) |
CO2 chargesu (won·10a-1) |
Income (won·10a-1) |
| 9℃ | 7,130,852 | 1,013 | - | - | 814,452 | - | ‒814,452 |
| 12℃ | 20,350,526 | 2,891 | - | 11,722,232 | 2,324,364 | - | 9,397,868 |
| Control (15℃) | 35,167,067 | 4,995 | - | 12,193,808 | 4,015,980 | - | 8,177,828 |
| 500µmol·mol-1 (15℃) | 35,167,067 | 4,995 | 3,320 | 13,446,913 | 4,015,980 | 996,000 | 8,434,933 |
| 800µmol·mol-1 (15℃) | 35,167,067 | 4,995 | 13,280 | 17,796,555 | 4,015,980 | 3,984,000 | 9,796,575 |









