서 론
과실의 품질은 기후와 관련한 환경적인 요인과 유전적 인 특성, 그리고 재배환경에 의하여 크게 영향을 받는 것 으로 알려져 있다(Faust, 1989). 특히 착과량에 따라 수체 의 생장과 과실품질에 영향을 미친다는 연구가 사과(Cho 와 Yoon, 2006; Choi 등, 2009; Seo 등, 2007)와 포도 (Jung 등, 2014; Park 등, 2014; Shim 등, 2007)를 대상으 로 국내에서 활발히 진행되고 있다. 배나무의 착과량에 대 한 연구는 주로 ‘신고’와 ‘황금배’를 대상으로 수행하였고, 특히 착과량에 따른 과실크기 및 당도수준은 반비례하는 경향이 관찰되었다(Kwon 등, 2006, 2007a, 2011b). 1994 년에 국립원예특작과학원에서 ‘조생적’ 배나무를 ‘만삼길’ 과 교배 육종하여 선발한 ‘원황’은 9월 상순에 수확되는 조생종으로 추석시기가 빨랐을 때(9월 상순) ‘신고’를 대 체할 수 있는 고 당도의 대표적인 배 품종으로 알려져 있 다(RDA, 2008). ‘원황’ 은 영양생장과 생식생장이 비교적 균형 있게 발달되나 가지가 노령화 될수록 화아분화가 불 량하고 성숙이 급속이 진행되는 특성이 있다(RDA, 2008). 이와 함께 과실생산성 향상을 위하여 하계 전정을 실시하 면 필요이상으로 적과가 되며, 이는 생산성 저하와 과육갈 변 등의 생리적인 문제가 유발되므로 적과나 전정에 신중 을 기울여야 할 품종으로 알려져 있다.
최근 태풍, 서리피해, 동해 등의 기상재해가 빈번해지 면서 정부우세성이 약한 ‘원황’은 주지의 선단 생장이 빈약하여 수량 확보에 어려움이 있다(RDA, 2008). 사과 와 복숭아나무의 착과량이 과다하면 겨울철 화아에 저장 되어 있는 아미노산, 탄수화물, 무기성분 등이 감소하여 내한성이 약화되었다고 하였다(Byers와 Marini, 1994; Faust, 1989; Khanizadeh 등, 1989; 1992a; Millard와 Thomson, 1989; Titus와 Kang, 1982). 단과지의 유지성 이 낮은 ‘원황’은 개화에서 성숙까지의 생육기간이 비교 적 짧기 때문에 과다착과 되었을 때 화아분화에 관여하 는 저장양분이 감소하여 기상변동이 심한 이듬해 화아발 달에 영향을 끼칠 수 있다(RDA, 2008). 또한 착과량에 따라서 동화산물의 분배와 과실크기가 달라지고 과실 생 산액과 밀접한 관련이 있으므로 내한성을 유지할 수 있 는 적정 착과수준을 규명하는 연구가 필요하다(DeJong 와 Grossman, 1995; Naor 등, 2008).
따라서 본 시험은 친환경으로 재배시 병충해 및 생리 장해에 쉽게 노출될 수 있는 ‘원황’ 배 품종을 대상으로 착과량의 심화정도에 따라 과실생산성 및 수체의 내한성 에 미치는 영향을 구명하고자 수행되었다.
재료 및 방법
1. 시험재료 및 처리방법
전라남도 농업기술원의 과수포장에서 2011년과 2012 년에 걸쳐 8년생 ‘원황’ 배나무로 6.0m×3.0m(670주/ha) 로 재식된 Y자 수형을 대상으로 시험을 수행하였다. 시 험포장의 조건은 토성은 사양토로 배수가 양호한 편이었 고, 시험기간 생육기의(4~9월) 평균 온도는 각각 21.6°C 와 22.1°C이었다(KMA, 2011, 2012a). 그리고 강수량은 2011년에는 1,039mm, 2012년에는 1,284mm로 지난 30 년간 이 지역의 평균온도(21.3°C)와 총강수량(1,116mm) 과 비교하여 비슷한 수준을 보였다.
토양 양분관리는 8년생 배나무의 농촌진흥청 기준시비 량(RDA, 2010a)에 의거하여 매해 4월에 유기질비료인 혼합유박[35.9%(w/w) T-C(전탄소); 2.7%(w/w) T-N(전질 소); 4.4%(w/w) P(인산); 1.9%(w/w) K(칼륨); 0.3%(w/ w) Ca(칼슘); 1.0%(w/w) Mg(마그네슘)]을 ha당 질소기 준으로 30kg을 시용하였다. 과원의 잡초관리는 매년 2~3차례 정도 예초하면서 자연초생 방식으로 관리하였고, 병해충 관리는 친환경농산물 인증제의 기준에 따라 방제 하였다. 재배기간 동안 토양 매트릭포텐셜이 -30kPa 이하 (건조)로 관찰되었을 때 스프링클러로 토양이 0~-20kPa로 유지되도록 관수하였다.
착과량 조절은 개화 40일 후에 2차 적과가 완료된 후 ha당 생산량이 15,000kg, 25,000kg(농가관행 기준수량), 35,000kg이 되도록 세 수준으로 처리하였다. 수확기에 과실 당 생체중(FW)을 500g으로 가정하고 목표생산량이 15,000kg/ha는 54개/주(60% 착과), 25,000kg/ha는 90개/ 주[100% 착과구(관행)], 35,000kg/ha는 126개/주(140% 착과)를 남겨두고 착과수준을 조절하였다.
2. 토양특성
2011년과 2012년 5월 상순에 토양 화학성 분석을 위 하여 수관 가장자리와 주간의 중간지점에서 0~10cm와 10~30cm 깊이의 토양을 채취하였다. 채취한 토양은 농 촌진흥청의 농업과학기술 연구조사 분석기준(RDA, 2011b)의 방법으로 분석하였다(Table 1). 토양시료를 풍건 한 후에 2mm 체를 통과시켜서 토양 pH와 전기전도도 (EC; electrical conductivity)는 1:5(시료 : 증류수) 비율로 하여 측정하였다. 유기물 함량은 Tyurin법(RDA, 2011b) 으로 분석하였고, 전질소는 Kjeldahl법을 적용하여 CN분 석기(Variomax CN, ELEMENTAR, Germany)로 분석하 였다. Lancaster법(RDA, 2011b)으로 유효인산을 측정하였 고, 칼륨과 칼슘 그리고 마그네슘과 같은 치환성 양이온 은 초산암모늄 침출법을 이용하여 ICP(Inductively Coupled Plasma Atomic Emission Spectrometer, Pyeunicam PU 9000, England)로 분석하였다.
Table 1. Soil chemical properties at depths of 0-10 and 10-30 cm in a ‘Wonhwang’ pear orchard in 2011 and 2012.
3. 신초생육
배나무의 도장지와 발육지는 지표면을 기준으로 수직 에 가깝게 생장한 가지를 대상으로 영양생장이 정지되는 8월 상순에 도장지 수, 초장 및 직경을 조사하였고, 발육 지는 초장과 직경을 조사하였다. 가지의 직경은 버니어 캘리퍼스를 이용하여 가지 하단의 기부를 측정하였다.
4. 1년생 가지의 무기성분
비슷한 직경을 가진 1년생 가지를 주 당 10개를 무작 위로 선정하여 탄소와 다량 무기원소, 유리당 농도를 농 촌진흥청의 연구조사 분석기준(RDA, 2011b)을 참조하여 분석하였다. 채취한 가지를 잘게 절단하여 건조기(65°C)에 충분히 말려서 분쇄하여 황산으로 분해한 후에 전질소는 Kjeldahl법으로 측정하였고, 인산은 ammonium vanadate법 (RDA, 2011b)으로 분석하였다. 토양화학성 분석에 이용되 었던 ICP로 Mehlich-3 방법으로 칼륨, 칼슘 및 마그네슘 함량을 측정하였다. 유리당은 시료를 원심분리 한 후 HPLC(High-performance Liquid Chromatography, Spectra Physics 4000, USA)로 측정하였다.
5. 과실특성
9월 상순에 과실을 모두 수확하여 과실의 개수를 확인 하고 과중을 생체중으로 표시하여 과실수량을 구하였다. 처리별 과실 크기를 301 - 400g, 401 - 500g, 501 - 600g, 601 - 700g으로 분류하였고, 과실 크기에 따른 과실 생산 액을 해당년도 광주공판장 기준으로 책정하여 추정하였 다. 15kg 기준으로 301 - 400g은 18,000원, 401 - 500g은 25,000원, 501 - 600g은 37,000원, 601 - 700g은 45,000원 으로 책정되었다. 이후 처리 별로 흠이 없는 깨끗한 과 실을 주 당 10개를 선정하여 과실의 종경과 횡경을 조 사하였다. 과실 적도면의 과피를 얇게 제거하여 과육의 가용성 고형물 함량(°Brix)과 유기산(%)을 각각 굴절당 도계(Refractometer, Atago, Japan)와 산도계(GML-706R, Korea)로 측정하였다. 이후 직경 5mm의 원침형 탐침이 내재된 경도계(KM; Fruit Test Tech Co., Japan)로 과육 경도(N)를 측정하였다.
6. 발아율과 전해질누출량
재배시험 후 익년(2012, 2013년) 1월에 포장에서 1년 생 가지를 채취하여 30cm 길이의 삽수로 조제하였다. 각 착과 처리별 동해발생 정도를 구명하기 위하여 삽수 를 은박지로 감싼 후 -15, -20, -25, -30°C로 조절되는 저온고에서 인위적인 저온처리를 하였다. 저온처리 방법 은 시간당 3.3°C로 하강하였으며 목표온도에서 9시간 유 지하였다. 상승온도는 0°C가 되도록 시간당 3.3°C로 설 정하였으며, 0°C를 3시간 유지하고 0~2°C의 저온저장고 에 1일 동안 보관한 후 갈변율을 육안으로 조사하였다. 발아율은 삽수를 오아시스에 수삽을 실시하여 25°C의 실내에 보관한 후 발아된 눈과 괴사된 눈의 비율을 조 사하여 백분율로 환산하였다. 전해질누출률 조사를 위하 여 각각의 저온에 노출시킨 가지를 눈이 포함되지 않은 마디 중간부분을 잘게 잘라 약 5g으로 정량하여 40mL의 증류수가 담긴 polypropylene vial에 침지하였다(Murray 등, 1989). 이후 20°C 실온에서 15시간 동안 배양하여 전기전도계로 전해질 누출량을 측정하였다(C1). 배양한 동일 시료를 95°C에서 30분간 중탕하여 조직을 파괴한 다음 20°C에서 15시간 배양한 후 총 누출량(C2)을 측정 하였다. 전해질 누출율은 C1/C2×100으로 계산하였다.
결과 및 고찰
1. 가지생장과 저장양분
토양 0~10cm와 10~30cm 깊이의 토양 화학성을 보면 (Table 1), 토양 pH와 EC, 유기물 함량과 다량 무기성분 은 두 해 모두 배나무가 생장하는데 양호한 수준으로 조사되었다(RDA, 2010a).
관행 대비 60% 착과 또는 관행수준(100%)으로 착과 시켰을 때 두 해 모두 주 당 평균 35개의 도장지가 발 생되어 140% 착과 처리 보다 약 10개 전후로 더 많이 발생되었다(Table 2). 포도나무에서도 착과량이 적으면 가지 생장량이 증가되었다는 결과가 5년 동안 관찰되었 다(Saayman와 Lambrechts, 1995). 배나무의 착과정도에 따라 가지생장이 영향을 받는 원인은 수체 내 저장양분 과 경쟁관계에 있기 때문이며 착과량이 적을 경우에 식 물생장 호르몬인 옥신이 가지의 영양생장을 촉진시킨 것 으로 판단된다(Kato와 Ito, 1962). 관행 대비 60% 착과 처리와 관행구는 도장지가 길어지는 경향이 나타났지만 도장지 직경은 처리 간에 통계적으로 유의성은 나타나지 않았다(P ≥ 0.05). 엽아에서 발생되는 발육지는 도장지 보다 생장이 빈약하였고 길이와 직경은 착과수준과 비교 하였을 때 일관성 있는 차이가 관찰되지 않았다.
Table 2. Extension of water sprout and vegetative shoot of a ‘Wonhwang’ pear tree as affected by crop load in average of 2011 and 2012.
| Crop load (%)z | Water sprout | Vegetative shoot | |||
|---|---|---|---|---|---|
| Number | Length (cm) | Diameter (mm) | Length (cm) | Diameter (mm) | |
| 2011 | |||||
| 60 | 35.3 ay | 145 b | 12.8 ns | 98 b | 12.2 a |
| 100 | 35.3 a | 151 a | 12.9 ns | 108 a | 11.1 b |
| 140 | 25.2 b | 140 b | 13.2 ns | 105 a | 11.0 b |
착과수준에 따라서 1년생 가지 내 저장양분의 함량은 달랐으며 착과량이 많을수록 탄소를 포함한 다량 무기 원소와 붕소 그리고 유리당 농도가 낮은 수준을 보였다 (Table 3). 이러한 저장양분의 감소는 표2에서 관찰된 도장지 발육을 완화시키는데 일부 기여했을 것으로 판 단된다. 사과나무를 강전정 하면 과실 내의 칼륨과 마 그네슘 등의 무기성분 농도는 증가하였지만 칼슘은 반 대로 감소하는 것이 일반적인 것으로 알려져 있다 (Ferguson와 Watkins, 1989; Seo 등, 2007; Volz 등, 1993; Volz와 Ferguson, 1999). 칼슘은 토양에서 잎의 기공까지 증산류로 운반되지만 이동성이 매우 느려서 (Faust, 1989) 전정에 의한 잎의 제거는 뿌리에서 과실 로의 칼슘 이행이 감소되는데 영향을 주었을 것으로 생 각된다. 하지만 본 시험에서 1년생 가지의 칼슘농도는 다른 무기성분과 같이 착과량이 증가할수록 감소하여서 칼슘이온의 이행속도에 따른 영향은 미미하였던 것으로 판단되었다.
Table 3. Mineral nutrient concentrations in one-year old shoot of ‘Wonhwang’ pear trees as affected by crop load in 2011 and 2012.
| Crop load (%)z | Macro-nutrients (%) | B (mg kg-1) | Free sugar (μg g-1) | ||||||
|---|---|---|---|---|---|---|---|---|---|
| T-C | T-N | C/N | P | K | Ca | Mg | |||
| 2011 | |||||||||
| 60 | 24.2 ay | 0.67 a | 36.1 ns | 0.27 a | 1.17 a | 2.25 a | 0.78 a | 12.1 ns | 52.3 a |
| 100 | 22.6 b | 0.67 a | 33.8 ns | 0.27 a | 1.20 a | 1.93 b | 0.53 b | 12.4 ns | 48.3 b |
| 140 | 20.9 c | 0.62 b | 33.7 ns | 0.23 b | 1.05 b | 1.58 c | 0.41 c | 11.3 ns | 46.3 b |
| 2012 | |||||||||
| 60 | 23.9 a | 0.69 a | 34.5 ns | 0.25 ns | 1.14 b | 2.17 a | 0.76 a | 12.8 a | 51.9 a |
| 100 | 22.4 b | 0.65 b | 34.3 ns | 0.23 ns | 1.26 a | 1.85 b | 0.49 b | 12.1 b | 48.8 b |
| 140 | 20.6 c | 0.62 b | 33.1 ns | 0.22 ns | 1.05 c | 1.52 c | 0.43 c | 11.1 c | 46.6 c |
2. 과실수량과 품질
관행 대비 60% 착과처리구는 2년간 ha 당 약 17톤의 과실이 생산되어 140% 처리구보다 수확량이 약 2배 가까 이 감소하였다(Table 4). 평균 과중과 과실 직경은 착과량 이 증가할수록 감소하였는데, 이는 착과량이 많으면 동화 산물을 위한 과실간의 경쟁이 심화되어 과실생장과 최종 과실크기가 제한이 되기 때문이다(DeJong와 Grossman, 1995; Naor 등, 2008). 하지만 과실종경은 처리 간에 비슷 한 결과가 나타났다. 과실종경에 비교적 영향을 많이 주 는 세포분열은 보통 개화 후 30일까지 이루어지며 이후 세포신장에 의하여 과실의 직경이 증가하는 것으로 알려 졌는데(Denne, 1963), 본 시험에서는 착과량 처리가 개 화 40일 이후에 수행되어 과실종경 보다는 과실직경에 영향을 끼쳤던 것으로 추정된다. 과실당도는 관행 대비 60% 착과처리구에서 두 해 모두 12°Brix 이상으로 가장 높았는데, 이는 엽과 단과지에서 공급된 충분한 탄수화 물 양이 당도 상승에 원인이 되었을 것으로 판단된다 (Seo 등, 2007). 과실 산도는 처리 간에 통계적으로 유 의성 있는 차이가 나타나지 않았다. 과실경도는 2012년 에 관행 대비 60% 착과처리 된 과실에서 14.1N으로 낮 았는데, 착과량을 적게 하면 과중이 무겁거나 과실이 커 져서 세포간극이 확대되어 과육경도는 자연적으로 감소 되었기 때문으로 생각된다(Fallahi 등, 1985; Ferguson와 Watkins, 1989; Seo 등, 2007; Volz 등, 1993; Volz와 Ferguson, 1999).
Table 4. Fruit quality of ‘Wonhwang’ pear trees as affected by crop load in 2011 and 2012.
| Crop load (%)z | Yield (ton ha-1) | Avg. wt. (FW., g) | Fruit size (mm) | SSC (°Brix) | Acidity (%) | Firmness (N) | |
|---|---|---|---|---|---|---|---|
| Length | Diameter | ||||||
| 2011 | |||||||
| 60 | 17.2 cy | 570 a | 92 ns | 103 a | 12.5 a | 0.20 ns | 14.7 ns |
| 100 | 27.5 b | 546 b | 92 ns | 99 b | 11.2 b | 0.22 ns | 14.1 ns |
| 140 | 35.5 a | 503 c | 91 ns | 97 b | 11.0 b | 0.24 ns | 14.1 ns |
| 2012 | |||||||
| 60 | 16.6 c | 549 a | 90 ns | 98 a | 12.1 a | 0.23 ns | 14.1 b |
| 100 | 26.8 b | 531 b | 91 ns | 96 ab | 10.7 b | 0.23 ns | 14.6 a |
| 140 | 35.0 a | 496 c | 90 ns | 94 b | 10.9 b | 0.24 ns | 14.7 a |
과실이나 수체의 칼슘 감소는 수확 후 각종 생리장해 증상을 유발할 수 있는데(Bangerth, 1979; Seo 등, 2007), 본 시험에서는 140% 착과처리로 가지의 칼슘이 감소하였던 ‘원황’ 과실에서 대표적인 생리장해인 과육 갈변 현상은 거의 관찰되지 않았다(자료 미제시). 이는 착과량이 많으면 과실크기가 작아져서 과실 조직이 치밀 해져서 생리장해현상이 감소했을 것으로 추정되지만 (Faust, 1989) 과실 내 무기성분 분석을 통한 정확한 검 증이 필요할 것으로 판단된다.
착과량과 과실수량 그리고 과실크기와는 밀접한 관계 가 있으며, 대체적으로 착과량이 많을수록 과실 크기는 작아지는 것이 배나무에서도 확인된 바 있다(Kwon 등, 2006, 2007a, 2011b). 본 시험에서도 관행 대비 140% 착과 처리에서 301 - 400g의 소과를 많이 생산하였고, 반 대로 60% 착과처리에서 대과(601 - 700g)의 비중이 높았 다(Fig. 1A). 과실 생산액을 추정하였을 때에는 140%의 착과 처리에서 100%와 60% 착과처리 보다 약 20% 이 상의 소득이 증가된 것으로 조사되었다(Fig. 1B). 하지만 국내 소비자의 기호도와 과실선택 기준을 고려해 볼 때 본 시험의 결과는 다소 성급할 수 있고, 또한 처리 3년 차 이후에 나타나는 수체의 생장상태와 개화 정도 그리 고 소비자의 패턴변화에 따라 과실 생산액은 크게 달라 질 수 있으므로 이에 대한 면밀한 검토가 추후에 필요 할 것으로 판단되었다.

Fig. 1
Distribution of fruit weight (A) and the estimated income from ‘Wonhwang’ pear production (B) as affected by crop load in average of 2011 and 2012. 60%, 54 fruits per tree; 100%, 90 fruits per tree; 140%, 126 fruits per tree. Different letters above bars indicate significant difference between treatments as determined by Duncan’s New Multiple Range Test (P ≤ 0.05). ns, no significant difference.
3. 내한성
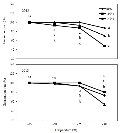
과원에서 1년생 가지를 동계전정 한 삽수 눈의 발아율 은 저온이 심해질수록 처리 간에 차이가 뚜렷해지는 경 향을 보였고 전체적으로 발아율이 감소하였다(Fig. 2). 특히 -30°C 처리에서는 관행 대비 140%로 착과시켰을 때 삽수의 발아율이 두 해 모두 70% 이하로 관찰되었 다. 이는 착과량의 증가가 저장양분을 감소시켜서 발아 율이 크게 감소되었던 것으로 추정되며, 이러한 저온이 노출될 수 있는 지역에서는 냉해나 동해에 유의해야 할 것으로 판단되었다.

Fig. 2
Germination rate of cuttings of a ‘Wonhwang’ pear trees under various cold temperatures as affected by crop load in 2012 and 2013. 60%, 54 fruits per tree; 100%, 90 fruits per tree; 140%, 126 fruits per tree. Different letters above bars indicate significant difference between treatments as determined by Duncan’s New Multiple Range Test (P ≤ 0.05). ns, no significant difference.
삽수의 전해질 누출률은 착과량이 많을수록 증가하는 경향을 보였지만 2013년에 -25°C 처리를 제외하고는 통 계적으로 유의성 있는 차이가 나타나지 않았다(Fig. 3). Kim 등(2014)은 동해 수준에 따라서 목본류의 잎에서 세포막의 파괴가 확연히 나타났다고 하였는데, 본 시험 에서도 1년생 가지를 관찰하는 것 보다 잎의 누출률을 관찰하는 것이 착과수준에 따른 차이를 확연하게 제시해 줄 수 있을 것으로 판단된다.

Fig. 3
Electrolyte leakage in cuttings of a ‘Wonhwang’ pear trees under various cold temperatures as affected by crop load in 2012 and 2013. 60%, 54 fruits per tree; 100%, 90 fruits per tree; 140%, 126 fruits per tree. Different lower-case letters on each datum point indicate significant differences as determined by Duncan’s New Multiple Range test at P ≤ 0.05. ns, no significant difference.
친환경으로 관리된 배나무는 병충해에 대한 노출이 만 연해 있고, 영양생장과 생식생장의 밸런스가 균형을 잃 게 되면 병충해 피해가 심각해져서 수확량이 크게 감소 될 수 있다. 특히 착과량의 증가는 엽중 질소의 감소와 수관 내 수광량을 떨어뜨려서 전체적으로 동화산물과 과 실품질의 저하를 가져올 수 있다(Syvertsen 등, 2003). 본 시험에서는 관행 대비 140% 착과량 수준에서는 소 과가 다소 많이 생산되었더라도 수량이 크게 증대되어 소득감소에 대한 우려를 불식시켰고, 동해에 대한 피해 는 다른 처리구와 비슷하였던 것으로 나타났다. 하지만 착과량을 늘리면 과실당도가 12.0°Brix 이하로 떨어져서 ‘원황’ 배 고유의 단맛(13.4°Brix; RDA, 2008)을 나타내 기에는 다소 미흡한 수준이 관찰되었다. 이에 따라 수체 의 저장양분이 원활하게 공급될 수 있도록 유기물의 순 환과 도장지 제거 등을 통하여 광조건을 개선하면 수체 생육의 불균형과 과실품질 저하를 막을 수 있을 것으로 사료된다. 본 시험은 8~9년생의 성목을 이용하였으므로, 보다 구체적이고 정확한 자료를 위해서는 10년생 이상의 성목을 대상으로 착과수준에 대한 수체생장과 개화율, 그 리고 과실 생산액에 대한 장기간의 시험이 필요할 것으 로 사료된다.


