서 언
블루베리는 항산화 및 항암의 기능성이 높고(Kalt 등, 2001;Pior 등, 1998), 2002년 타임지가 선정한 세계 10 대 슈퍼푸드로 알려지면서 국내 및 국외에서 재배면적이 빠르게 증가되고 있다. 블루베리는 키가 낮은 관목으로 결과연령에 빨리 도달하고 병해충이 비교적 적어 다른 과수 작목에 비하여 쉽게 재배 관리할 수 있는 장점을 지니고 있다. 블루베리는 호산성 식물로 피트모스에서 잘 자라며 관목인 점을 고려하여 용기 재배면적이 증가 하고 있는 추세이다. 블루베리는 pH 4.5~5.2 내외의 산 성 토양조건과 유기물 함량이 4%에서 안정적인 생육을 하며(Coville, 1910), 현재 블루베리 재배농가들은 불리 한 토양환경을 개선하기 위해 재식 전 pH가 낮은 피트 모스를 혼합해서 토양환경을 개선하고 있다. 또한 코코 피트, 피트모스, 톱밥 등 여러 유기자재를 사용했을 때 블루베리 토양환경 개선에는 피트모스가 가장 효과적이 었다(Kim 등, 2010). 용기재배는 근권제한으로 수분과 양분의 조절이 가능하며, 재배장소의 이동이 용이한 장 점이 있다. 또한 관수 또는 관비 시스템을 이용하여 수 분과 시비를 효율적으로 관리하고, 품질이 균일한 묘목 을 생산할 수 있다(Poffley, 2004). 일본에서는 용기 재 배시 두더지 피해를 줄일 수 있고 밀식재배로 좁은 공 간에서도 공간 활용도를 높일 수 있어 많이 재배하고 있다.
양액재배에서 수분관리는 식물의 생장과 발육을 결정 하는 중요한 요인 중의 하나이며(Lorenzo 등, 1998), 배 지내 수분함량을 결정하는 요인으로는 식물체 증산량, 온실 기상환경, 상토 종류 등이며 상토의 수분 보유력과 상토내 수분함량 변화는 관수시기, 공급량 및 공급횟수 를 결정하는 중요한 요인이 된다(Asakura, 1998). 배액 의 공급량과 공급횟수는 작물에 공급되는 배양액의 농도 만큼이나 작물의 생육에 영향을 미치기 때문에 상토의 물리적, 화학적 특성을 고려하여 양액 공급량 및 공급횟 수를 설정해야 한다(Bohme, 1995, Lee등 1998).
Cheon 등(2018)은 블루베리 양액재배시 생육은 질소 비율이 중간정도(NO3-N 4.6, NH4-N 3.4mmol·L-1)에서 가장 좋았으며, 과실 수량과 크기는 저농도(NO3-N 4.1, NH4-N 3.0mmol·L-1)와 중간농도(NO3-N 4.6, NH4-N 3.4mmol·L-1)가 고농도(NO3-N 5.1, NH4-N 3.8mmol·L-1)에 비하여 우수하다고 보고한바, 본 실험에서는 블루베리 양액재배시 수세의 적극적인 조절로 과실 품질향상 및 노동력 절감효과를 기대할 수 있는 양액 공급량 및 공 급횟수를 알아보고자 수행하였다.
재료 및 방법
1. 실험재료
본 시험은 2015년부터 2016년까지 2년간 경남농업기 술원 내 온실에서 수행하였다. 2015년 3년생 ‘듀크’ 품 종을 180L 용기(60×80×40cm)에 피트모스와 펄라이트 용량을 각각 130L, 40L(v/v)로 하여, 용기에 넣고 톱밥 으로 멀칭한 후 주간 1.5m, 열간 1.0m로 배치하였다. 처리구는 3반복으로 완전임의배치 하였다. 추후 배액율 을 조사하기 위하여 식재한 용기 아래 배액 받침대를 설치하였다.
2. 양액 공급방법
양액은 4월 상순부터 7월 중순까지 NO3-N 4.6, NH4- N 3.4, PO4-P 3.3, K 3, Ca 4.6, Mg 2.2mmol·L-1를 EC 1.5로 조절하여 주당 공급하였다. 블루베리 ‘듀크’ 품종 무가온 하우스 재배시 양액을 8L 공급하였을때 시기별 배액의 pH 및 EC가 다른 경향이었다(Cheon 등, 2018). 따라서 공급량을 세분화하기 위해 공급량은 4L, 8L로 하고 공급횟수는 일주일에 1회는 6일 간격, 일주일에 2 회는 4일 간격, 일주일에 3회는 3일간격으로 공급하였다. 블루베리 생육기간 중 공급된 순질소함량은 4L 1회, 2 회, 3회 공급시 각각 7, 14, 21g, 8L 1회, 2회, 3회 공급 시 각각 7, 28, 35g이였다.
3. 수체 생육 조사
수체 생장량 조사는 신초생육이 왕성한 5월 중순부터 15일간격으로 8월 중순까지 처리구별로 생장이 균일한 묘목을 선정하여 농촌진흥청 농업과학기술 연구조사 분 석기준(RDA, 2012)에 따라 신초경과 신초장을 조사하였 다. 신초경은 신초기부에서 0.5cm 떨어진 지점에서 버니 어켈리퍼스(Mitutoyo CD-20CP, 0.001mm; Kawasaki, Kanagawa Prefecture, Japan)로 측정하였으며, 신초장은 나무 중간부위 높이의 자르지 않은 가지에서 기부로부터 신초 선단부의 길이를 측정하였다. 엽록소 함량은 엽록 소 함량 측정기(Minolta, SPAD-502 Plus, Japan)를 사용 하여 측정하였는데, 측정방법은 신초 선단부의 3번째 잎 에 각 샘플당 3회, 1회당 3번 SPAD를 측정, 총 9번 SPAD를 측정하여 3회 평균값을 구하였다.
4. 과실 품질 및 수량 조사
과실품질 조사는 과립중, 과립의 종경과 횡경을 측정 하였고, 가용성 고형물 함량과 산함량 등을 조사하였다. 가용성 고형물 함량은 채취한 한주당 50과립을 채취하 여 착즙한 다음 굴절당도계(PR-100, Atago, Japan)로 당 도를 측정하였다. 산함량은 과즙 5mL를 채취하여 0.1N NaOH를 이용하여 pH 8.3까지 중화적정 후 소요된 NaOH양을 계산하여 주석산으로 계산하였다. 과실의 착 색도는 색도색차계(Minolta, CM-508i, Japan)를 이용하 여 각 과방에서 무작위로 선발된 10개 과립의 적도부위 의 Hunter value(L, a, b)를 측정하였다.
5. 양액 및 배액 조사
배액의 EC와 pH는 electrical conductivity & pH meter(F-54BW, Horiba Co., U.S.A.)로 측정하였고, 배액 율은 양액을 공급하고 6시간 후 용기아래 배액 받침대 안에 남아있는 배액무게를 측정하여 환산하였다. 배액의 NH4-N, NO3-N는 분광광도계(Shimadzu, UV-1800, Japan)를 이용하여 APHA의 표준분석법(Clescri등, 1998) 에 의해 배액의 원액을 분석하였다.
결과 및 고찰
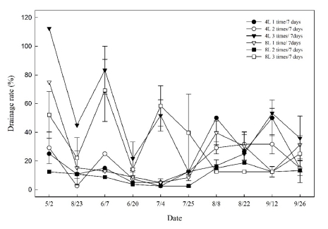
처리에 따른 시기별 배액율을 조사한 결과(Fig. 1), 생 육초반에는 8L를 3회 공급한 처리가 60%로 가장 많았 고, 증산량이 많은 생육후반에는 처리별로 그 차이가 줄 어드는 경향이었다. 채소의 수경재배에서 적정 배액량이 20%∼30%라고 하는데(An 등, 2002) 그것을 기준으로 하면 평균배액량이 4L 2회/7일 처리에서 27%, 4L 3회/ 7일 처리에서 29%로 다른 처리보다 적절한 것으로 판단 되었다. 따라서 블루베리 양액재배시 수령 및 용기 크기 별 양분과 배액량이 구명되면 상토내 적합한 양분과 함 수량을 조절하여 작물의 생육을 조절할 수 있고, 배액의 최소화가 가능하다면(Warren과 Bilderback, 2004) 물과 비료의 사용을 줄일 수 있어 생산 원가를 절감할 수 있 을 것이다.
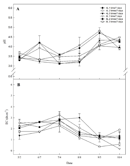
배지의 pH에 영향을 미치는 요인은 양액, 공급되는 물, 양이온 치환능 등 여러 가지가 있지만 그 중에서도 양이온은 pH를 상승시키고, 음이온은 pH를 낮춰 산성화 시키는 경향이 있다고 보고되었으며(Mengel 등, 1987), 시기별 배액의 pH 및 EC를 조사한 결과(Fig. 2), pH는 3.8에서 4.0으로 유지되는 경향이었는데, 이는 피트모스 자체의 pH는 3.5정도로 양액의 pH는 배지의 pH에 크게 영향을 주지 않는 것으로 판단되었다.
배액의 EC는 비료의 농도가 증가할수록 EC의 상승폭 이 증가하는 경향이 있는데(Tadesse 등, 1999), 생육후반 7월 초에 조사하였을 경우, 1회, 2회, 3회 4L/7일의 경우 각각 2.7, 3.2, 2.8(ds·m-1) 이었고, 1회, 2회, 3회 8L/7일 의 경우 각각 2.4, 2.8, 2.3(ds·m-1)으로 처리간 비슷한 경향이었다. 상토내 함수량은 급액과 배액, 증발산량 등 에 따라 하루 중 일정한 패턴으로 변화한다. 이 과정에 서 함수량의 변화는 근권의 전기전도도(EC) 변화를 수 반하기 때문에 적절한 수분관리가 필요하다. 공급량, 공 급횟수 등으로 근권부의 함수량과 EC를 조절하여 작물 의 균형을 유지할 수 있는데, 근권에 함수량이 많으면 EC가 낮아져서 영양생장으로, 반대로 함수량이 적으면 전기전도도가 높아져 생식생장으로 유도된다(Lee 등, 1998)고 보고된바 있어 추후 수령 및 용기 크기별 공급 량과 공급횟수 구명이 필요할 것으로 판단되었다.
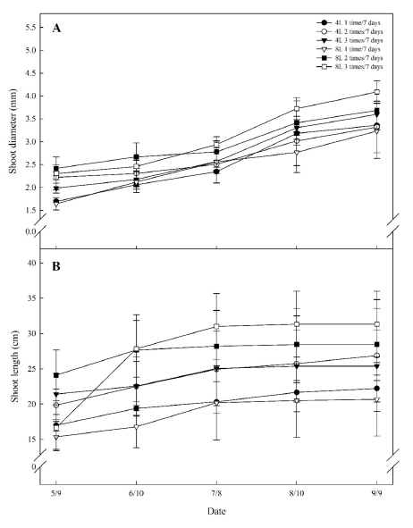
비료를 공급하는 방법은 여러 가지가 있는데 관비재배 는 질소비료 흡수를 향상시키고, 고형 비료를 주는 것보 다 관비재배시 수량뿐만 아니라 꽃눈수, 식물체 크기도 증가한다고 하였다(David 등 2014). 양액재배시 처리에 따른 시기별 신초생육 변화(Fig. 3)는 블루베리에 있어 질소성분이 증가할수록 수세가 왕성해지는 것으로 알려 져 있는데(Ballinger와 Kushman, 1966, Ballinger 등, 1963), 신초경과 신초장은 생육초반보다 생육후반기에 커지는 경향이었으며, 신초경은 4L를 일주일에 1회 공급 한 처리가 15.3mm, 8L를 일주일에 1회 공급한 처리가 14.8mm로 비슷한 경향이었으며, 질소 성분이 가장 많은 8L를 일주일에 3회 공급한 처리가 19.1mm로 가장 컸다. 일반적으로 채소에선 양액의 1회 공급량을 늘리면서 공 급횟수를 줄이면 생식생장이 촉진되고, 1회 공급량을 줄 이면서 1일 공급횟수를 늘리면 영양생장이 촉진된다고 하였는데(Beniot, 1992), 본 시험에서는 처리간 큰 차이 가 없었지만 장기적으로 검토해 보아야 할 것으로 판단 되었다.
식물체 잎의 색깔을 이용하여 간접적으로 질소 영양상 태를 파악하는 방법으로 엽록소 함량을 활용하고 있고, 잎의 엽록소 함량은 잎 질소 함량과 높은 정의 상관이 있다(Rutger, 1991). 공급량 및 공급횟수별 엽록소 함량 (SPAD)을 조사한 결과(Table 1), 벼의 경우 생육초기에 는 질소 시비량에 따라 변화가 없었으나, 생육후기에는 질소 시비량이 많을수록 SPAD 값이 증가되었으며(Lee 와 Kim, 2003), 옥수수의 경우도 질소 시비구에서 엽록 소함량이 증가한다고 하였는데(Lee와 Choi, 1990), 질소 성분이 가장 많은 8L를 일주일에 3회 공급한 처리가 54.7, 4L를 일주일에 1회 공급한 처리가 55.0으로 처리 간 비슷한 경향이었다. 이는 Song 등(2010)의 연구결과 에서 떫은 감에서 잎의 질소함량과 SPAD 측정값과의 신뢰도가 생육단계가 진행됨에 따라 점차 떨어진다는 결 과와 유사하였다.
Table 1. Effect of supplying volume and frequency of nutrient solution on leaf chlorophyll content of ‘Duke’ blueberry bushes.
![]() |
블루베리는 질산태 질소보다 암모니아태 질소를 더 빠 르게 흡수하고, 토양의 pH를 5.0 이하로 낮추기 위해 황 산안모늄을 많이 이용하고 있다(Poonnachit과 Darnel, 2004). 하지만 질소형태에 따른 영양생장에는 차이가 없 는 것으로 나타났는데(Hanson, 2006), 처리에 따라 시기 별 배액의 질소 함량을 조사한 결과(Table 2, 3) 암모니 아태 질소는 공급량 및 공급횟수별 처리간 큰 차이가 없었고, 질소 중 질산태 질소는 영양생장을 증가시킨다 고 하는데(Gao 등, 1992) 질산태 질소 함량은 양액을 공급하는 시기인 5월 즉 생육초반에는 공급량 및 공급 횟수가 증가할수록 증가하였지만, 양액공급을 중단한 9 월 즉 생육후반에는 배액의 질산태 질소 함량은 감소하 였다.
Table 2. Effect of supplying volume and frequency of nutrient solution on Ammonium Nitrogen content in drainage of nutrient solution in ‘Duke’ blueberry growth medium.
![]() |
Table 3. Effect of supplying volume and frequency of nutrient solution on Nitrate Nitrogen content in drainage of nutrient solution in ‘Duke’ blueberry growth medium.
![]() |
양액 공급량 및 공급횟수 차이에 따른 과실특성을 조 사한 결과(Table 4), 처리간 과중, 가용성 고형물 함량, 산함량 차이에 대한 유의차는 관찰되지 않았다. Katakura와 Yokomizo(1995)는 블루베리에서 고농도 질 소투여가 당도를 증가시켰다고 보고하였고, Kim 등 (2017)은 질소와 당 함량, 그리고 산함량은 유의적인 차 이가 없다고 하였다. Ballinge와 Kushman(1969)은 질소 농도가 증가할수록 산함량이 감소하였다고 하였으며, Uhe(1957)는 질소처리에 의한 영향은 나타나지 않는다 고 하였는데, 본 시험에서도 산함량은 처리 간 큰 차이 가 없었다. Townsend(1973)는 질소함량 증가가 과실 크 기에는 영향을 주지 않는다고 보고하였다.
Table 4. Effect of supplying volume and frequency of nutrient solution on fruit quality of ‘Duke’ blueberry.
![]() |
Ballinger 등(1963)은 질소 시비가 증가할수록 수량이 증가한다고 하였는데, 본 실험에서도 4L를 일주일에 1회, 2회, 3회 공급한 처리가 각각 1.4, 2.2, 2.7kg, 8L를 일 주일에 1회, 2회, 3회 공급한 처리가 각각 1.3, 2.4, 2.4kg으로 4L를 일주일에 3회 공급하는 것이 가장 컸다. 따라서 배액량, 수량, 수체 및 과실생육 등을 감안해 볼 때 블루베리 양액재배시 조금씩 자주 공급한 처리 즉 4L, 3회/7일 처리로 공급하는 것이 적당한 것으로 판단 되었다.









