서 론
우리나라 수경재배 면적은 2019년 4,491ha로 전체 시설재배면적의 약 8%를 점유하고 있으며, 전체 수경재배 면적의 90.3%는 딸기, 토마토, 파프리카 등 과채류가 차지하고 있다(KOSTAT, 2021). 딸기의 수경재배 면적은 2002년 5ha를 시작으로 2010년에는 184ha, 2019년에는 2,050ha로 급격하게 증가하였으며 국내 수경재배 면적의 54%를 점유하고 있다.
수경재배의 수분 관리는 작물의 품질과 수확량에 큰 영향을 미치기 때문에 작물의 양분 흡수 등을 고려하여 급액 방법이 달라져야 한다(Na, 2005). 대부분 수경재배 농가에서 급액 제어 방식으로 타이머제어와 일사비례제어를 선택하고 있다(Lee 등, 2007; Yoo, 2014). 타이머제어는 가격이 저렴하고 조작은 쉬우나 급액 방법이 재배자의 경험에 의존하며 비가 오거나 흐린 날에는 수동으로 급액을 조절해야 하는 단점이 있다(Kim과 Kim, 2000; RDA, 2018). 반면, 일사비례제어는 일사량과 작물의 증산에 의한 수분 흡수량이 상관관계가 있다는 이론을 바탕으로 누적 일사량 기준에 도달하면 급액되는 방식이다(Kim 등, 2010). 누적 일사량에 의한 급액 제어는 일출 시 수분 결핍증상의 문제가 있으나(Kim과 Kim, 2000) 작물의 상태를 고려하여 작물이 요구하는 급액 시간을 추정할 수 있으며 계절에 따라 자동 급액이 가능하여 현재 수경재배 농가에서 많이 사용하는 방법이다(Na 등, 2008).
일사비례제어를 이용한 급액 제어는 최적 급액 시점, 1회 급액량 등을 고려해야 하며 계절에 따라 기준을 달리 적용해야 한다(Hayata 등, 1998). 멜론 수경재배 시 생육기간 전반, 개화 시기의 급액량에 따라 과실의 품질, 수량이 달라졌으며(Lee 등, 1994), 장미는 겨울에는 200W·h-1기준 50mL를 소회, 여름에는 250W·h-1에서 30mL를 다회 급액한다(Na 등, 2008). 이외에 일사비례제어를 적용한 토마토, 파프리카 등 생육 비교(Choi 등, 2016; Kim 등, 2010), 배지 내 수분함량 변화(Sim 등, 2006), 양수분 흡수 및 배액률 변화(Yoon 등, 2020; Yang 등, 2004a, 2004b) 등의 연구가 진행되었다.
딸기는 수분을 많이 요구하며 근권 내 산소도 중요한 작물이다(sRDA, 2019). 일사비례제어에 의한 급액 방법은 현재 토마토, 파프리카 등에서 많이 사용하는 방법이지만 딸기 수경재배에서 생육단계별, 일사량에 따른 배지 내 적정 수분함량과 같은 급액 관리의 체계적인 연구 자료는 부족한 실정이다. 따라서 본 연구는 날씨, 작물의 생육을 고려하고 급액 자동화를 위한 효과적인 급액 방법을 알아보고자 딸기 수경재배에서 일사비례제어를 이용한 급액 시 생육단계별 누적일사량 기준을 확립하고자 수행되었다.
재료 및 방법
1. 실험재료 및 재배방법
본 실험은 경남 함안군에 위치한 국립원예특작과학원 시설원예연구소 내의 단동형 PO필름 하우스(폭 10m × 길이 40m)에서 수행되었다. 농가에서 공급받은 ‘설향’ 딸기(Fragaria× ananassa ‘Seolhyang’)의 묘 중 묘소질이 우수한 개체들을 선발하여 2020년 9월 15일에 재식 간격을 20cm로 하여 2줄로 정식하였으며, 2021년 4월 5일 수확을 종료하였다. 실험은 수경재배용 베드(높이 100cm, 폭 28cm)에 원예용 상토(Strawberryjoeun, NongwooBio Co., Ltd., Korea)를 충진하여 진행하였다. 양액은 점적테이프(Netafim USA, Fresno, CA, USA) 2줄을 설치하여 식물체에 급액하였다. 배양액은 야마자키 조성(Yamazaki, 1982)을 평균 pH 6.0, EC 1.2-1.4 dS·m-1 수준으로 공급하였다.
2. 급액 제어
급액 처리는 일사비례제어를 적용하였으며 누적일사량 제어 프로그램(CR1000, Campbell Scientific Inc., UT, USA)을 이용하였다. 모든 처리는 외부 일사량을 기준으로 일정 누적 일사량에 도달하면 1회 급액하였고 다음 급액 간의 최소 대기시간은 30분으로 설정하였다. 누적 일사량 기준은 150 및 200J·cm-2 ISR 고정 처리와 생육단계에 따른 ISR 변동 처리 등 총 3처리를 설정하였다. 생육단계에 따른 변경 처리구는 누적일사량이 낮은 12-1월에는 200J·cm-2, 누적일사량이 증가하는 2-3월에는 150J·cm-2로 누적일사량 기준을 변경하였다. 대조구로는 타이머제어를 이용하였다.
모든 처리구의 1회 급액량은 RDA(2019)를 참고하여 1회 40mL로 공급하였으며 딸기의 생육에 따른 작물 수분요구량에 따라 모든 처리구의 1회 급액량을 동일하게 조절하였다. 급액 개시 및 종료 시간은 일출 1시간 후 시작하여 일몰 2시간 전에 중지하였다. 대조구인 타이머의 급액 시간은 하루 4회 9시 30분, 11시, 1시 20분, 3시로 고정하였으며 흐리거나 비 오는 날은 오전에만 2회 공급한 후 수동으로 급액을 중지하였다.
3. 조사항목
급액 종료 후 하루 동안 수집된 급∙배액을 이용하여 급∙배액량과 배액의 pH, EC는 주 2-3회 측정하였다. EC 및 pH미터(HI9814, Hanna Instruments, RI, USA)를 이용하여 배액의 pH와 EC를 측정하였다. 수확기 총 지상부의 생체중에서 총 급액량과 배액량의 차이를 나누어 수분이용효율(water use efficiency, WUE)을 계산하였다.
딸기의 생육 및 과실 특성은 수확기 동안 30일 간격으로 특성조사 표준 매뉴얼(RDA, 2017)에 따라 조사하였다. 생육 및 과실 특성은 처리별 10주씩 3반복으로 조사하였으며 식물체 생육은 초장, 엽장, 엽폭, 엽병장, 관부직경을 과실은 과중, 당도를 측정하였다. 상품과는 12g 이상의 특과, 대과, 중과로 비상품과는 소형과와 기형과로 분류하여 상품 수량 및 상품과율을 조사하였다. 관부직경은 버니어캘리퍼스(CD-20CPX, Mitutoyo Corp., Kawasaki, Japan)로 측정하였으며 당도는 휴대용 당도계(PAL-1, ATAGO Co., Ltd., Tokyo, Japan)를 이용하였다. 최종 수확일(4월 5일)에는 수확이 끝난 딸기 지상부의 생체중 및 건물중을 측정하였다.
실험에서 얻은 결과값의 통계 분석은 SAS 통계 프로그램(Statistical Analysis System Ver9.4, SAS Inc., USA), Excel 프로그램(Microsoft Office Professional Plus 2016, Redmond, WA, USA)을 이용하였고 평균 간 비교는 Duncan’s multiple range test (DMRT)로 5% 유의수준에서 검정하였다.
결과 및 고찰
실험기간 중 월별 일평균 누적일사량은 2020년 9월 15일 정식 이후 일조시간이 적은 12월에 8.8MJ·m-2로 가장 낮았고 수확기인 봄철 일조시간이 늘어나면서 3월에 15.2 MJ·m-2로 가장 높았다(Fig. 1). 월별 일평균 급액 횟수를 조사한 결과(Fig. 2), 누적일사량이 높았던 3월에 150J·cm-2, 생육단계별(150J·cm-2) 처리구에서 5.6회로 가장 많았고 누적 일사량이 적었던 12, 1월에 200J·cm-2, 생육단계별(200J·cm-2) 처리구에서 2.7회로 가장 적었다. 대조구인 타이머는 맑은 날은 4회로 고정되어 급액 되었으며 흐리거나 비가 오는 날 오전 2회 공급한 후 수동으로 중지하여 재배 기간 동안 평균 3.6-3.8회로 급액 되었다. 누적일사량 기준이 낮을수록 급액 횟수가 증가하였는데 2-3월 누적일사량 기준 150J·cm-2로 급액 시 타이머보다 24-51% 많게 급액 되었다.

Fig. 2.
Irrigation frequency according to the integrated solar radiation (ISR) from December 2020 to March 2021. Mean with different letters are significant different within the same month by Duncan’s multiple range test (p < 0.05). Each error bar represents a standard error. The irrigation system was automatically controlled based on the external solar irradiance (Timer; Control, 150 J/cm2, 200 J/cm2; ISR, Growth stages; ISR changed from 200 to 150 J/cm2).
일사비례제어가 적용된 2020년 12월 1일부터 4월 5일까지 총 급액량, 총 배액량 및 수분이용효율을 조사한 결과는 Table 1과 같다. 총 급액량은 대조구인 타이머에 비해 누적일사량 기준 150J·cm-2 급액 시 주당 26.4L로 급액량이 가장 많았으며 200J·cm-2 급액 시 타이머제어보다 급액량이 적었으나 통계적으로 유의한 차이를 보이지 않았다. 본 실험에서는 적산 일사량 기준 급액 후 30분의 대기시간을 두어 200J·cm-2 처리구가 타이머에 비해 급액 횟수가 감소하여 총 급액량 또한 감소한 것으로 판단되며 딸기 생육에 필요한 급액량보다 적게 공급된 것으로 판단된다. 생육단계별 처리구는 24.3L로 타이머에 비해 14% 많게 급액 되었다. 누적일사량 기준 처리구에서 생육단계별 처리구가 9.6L로 배액량이 가장 많았으며 타이머 제어가 주당 3.7L로 가장 적게 배출되었다. 수분이용효율을 분석한 결과 타이머가 누적일사량 기준 급액 방법보다 19.8g·L-1로 낮은 수분이용효율을 보였고 생육단계별 처리구가 28.0g·L-1로 가장 높은 수분이용효율을 보였다. 이는 코이어를 이용한 수경재배 시 보유함유량이 낮을수록 수분이용효율은 증가였다는 보고와 일치하는 결과이다(MAFRA, 2016). 본 실험에서도 보유함수량이 가장 낮았던 생육단계별 처리구에서 높은 수분이용효율을 보였다.
Table 1.
Total irrigation amount (TIA), total drainage amount (TDA), total retained volume (TRV) and water use efficiency (WUE) of strawberry ‘Seolhyang’ according to different integrated solar radiation (ISR) from 2020 to April 2021.
| Treatmentz |
TIA (L/plant) |
TDA (L/plant) |
TRV (L/plant) |
WUE (g/L/plant) |
| Timer | 21.4 cy | 3.7 b | 17.7 a | 19.8 b |
| 150 J/cm2 | 26.4 a | 8.2 ab | 18.3 a | 19.0 b |
| 200 J/cm2 | 20.9 c | 5.1 ab | 15.8 a | 21.7 b |
| Growth stages | 24.3 b | 9.6 a | 14.6 a | 28.0 a |
급액 EC는 1.2dS·m-1로 동일하게 공급하였으나 일사비례제어 기준에 따른 급액량이 다르기 때문에 생육 후기 단계에 외부일사량이 증가하면서 급액 횟수가 많았던 150J·cm-2과 생육단계별 처리구에서 배액 EC가 낮은 값을 보였다(Fig. 3). 이는 멜론과 토마토 수경재배 시 급액량이 많을수록 배액 EC가 낮아졌다는 보고들(Choi, 2019; Lim 등, 2021)과 같은 결과였다. 배액 pH는 모든 처리구에서 생육 후기로 갈수록 배액 pH가 낮아지는 경향을 보였으며 배액 pH는 6.5-7.0 수준이었다.

Fig. 3.
Drainage EC level and pH according to the integrated solar radiation (ISR) from December 2020 to March 2021. The irrigation system was automatically controlled based on the external solar irradiance (Timer; Control, 150 J/cm2, 200 J/cm2; ISR, Growth stages; ISR changed from 200 to 150 J/cm2).
일사제어에 따른 생육 초기 단계의 딸기 생육은 처리 간 차이가 없었다(Table 2). 생육 후기에는 생육단계별 처리구에서 초장, 엽병장, 관부직경이 가장 높은 값을 나타내었다. 딸기의 생육 지표인 엽병장은 22.4cm로 타이머 제어에 비해 15% 높았다. 엽장은 처리별 차이가 나타나지 않았으나 엽폭의 경우 150J·cm-2에서 10.1cm로 높은 값을 나타내었다. 이는 코이어를 이용한 멜론 수경재배 시 잎의 생육은 근권의 함수율이 높을수록 우수하다는 보고(Lim 등, 2021)와 일치하였다. 본 연구에서 생육단계별 처리구의 생육이 양호하였던 이유는 딸기의 생육단계에서 요구하는 적절한 수분을 외부환경 변화와 상호작용을 통해 급액 기준을 달리하여 급액 되었기 때문인 것으로 판단된다.
Table 2.
Plant height (PH), leaf length (LL), leaf width (LW), petiole length (PL) and crown diameter (CD) of strawberry ‘Seolhyang’ according to the different integrated solar radiation (ISR) at 120 and 180 days after transplanting.
| Treatmentz | Growth stage |
PH (cm) |
LL (cm) |
LW (cm) |
PL (cm) |
CD (mm) |
| Timer | Early | 32.3 ay | 12.7 a | 9.7 a | 20.0 a | 20.3 a |
| 150 J/cm2 | 32.6 a | 13.0 a | 10.0 a | 19.7 a | 20.3 a | |
| 200 J/cm2 | 33.3 a | 13.1 a | 9.9 a | 20.8 a | 20.4 a | |
| Growth stages | 33.0 a | 13.2 a | 10.0 a | 20.0 a | 20.5 a | |
| Timer | Late | 31.5 b | 12.4 a | 9.5 b | 19.3 c | 19.9 ab |
| 150 J/cm2 | 33.2 ab | 13.0 a | 10.1 a | 20.3 bc | 19.2 b | |
| 200 J/cm2 | 32.8 ab | 12.6 a | 9.5 b | 21.3 ab | 19.4 ab | |
| Growth stages | 34.5 a | 12.7 a | 9.6 b | 22.4 a | 20.2 a |
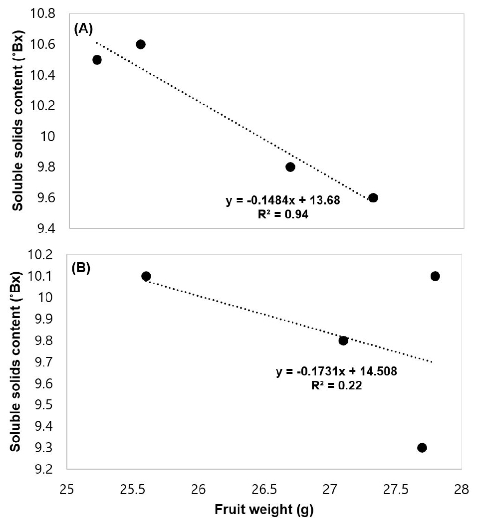
누적 일사량 기준에 따른 월별 평균 과중과 당도를 비교하였다(Table 3). 누적일사량이 낮았던 1월에는 타이머 처리구가 20.7g으로 누적일사량 기준 처리보다 과중이 유의하게 적었다. 생육단계별 처리구가 22.7g으로 가장 높은 값을 나타내었으며 타이머와 10% 차이를 보였다. 누적일사량이 증가한 2월에는 누적일사량 기준 200J·cm-2 급액 시 과중이 25.6g으로 가장 낮았다. 적산 일사량을 이용한 오이 재배 시 급액 방법에 따라 근권 환경의 영양소 균형과 수분 유지에 영향을 줄 수 있고(Roh와 Lee, 1997) 급액량에 따른 근권 함수율의 변화는 과실 생육에 영향을 미칠 수 있다(Hayata 등, 1998)고 보고하였다. 본 실험에서는 누적일사량이 낮았던 1월에는 외부 환경의 영향을 고려하지 않은 타이머 처리 시 급액 횟수가 낮았고 누적일사량이 증가했던 2월에는 200J·cm-2로 급액 시 급액 횟수에 비례하여 총 급액량이 감소하면서 근권 함수율이 낮아 과실 생육이 저조했던 것으로 판단된다. 과중과 당도 간의 상관분석 결과(Fig. 4), 과중과 당도 사이에는 음의 상관관계를 나타냈다. 특히, 누적일사량이 낮은 1월은 과중과 당도 사이에 r = ‒0.971로 강한 음의 상관관계가 있으며 이는 과실의 무게가 증가할수록 당도가 감소한다고 볼 수 있다(data not shown).
Table 3.
Fruit weight and soluble solids content of strawberry ‘Seolhyang’ according to different integrated solar radiation (ISR).
| Treatmentz | Fruit weight (g) | Soluble solids content (°Bx) | |||||
| Jan. | Feb. | Mar. | Jan. | Feb. | Mar. | ||
| Timer | 20.7 by | 27.1 ab | 20.5 a | 10.5 a | 9.8 ab | 11.9 a | |
| 150 J/cm2 | 21.8 ab | 27.8 a | 19.3 a | 10.6 a | 10.1 a | 11.6 a | |
| 200 J/cm2 | 21.9 ab | 25.6 b | 20.0 a | 9.8 b | 10.1 a | 11.8 a | |
| Growth stages | 22.7 a | 27.7 a | 20.7 a | 9.6 b | 9.3 b | 11.1 a | |
타이머 처리구의 총 수량은 주당 286.4g으로 생육단계별 처리구보다 총 수량이 낮았으며 150, 200J·cm-2 급액 시보다 높은 수량을 나타내었다(Table 4). 누적 일사량 기준 처리는 일사량, 증산량 등을 고려한 급액방법으로 작물이 수분을 필요할 때 적기에 급액이 가능하여 작물의 수량성을 증진시킬 수 있으나 본 연구에서는 생육단계를 고려하여 누적 일사량 기준을 변경하는 것이 작물의 수분 흡수 양상을 고려하여 타이머에 비해 생산성이 높은 급액 방식인 것으로 판단된다. 상품과율 또한 총 급액량이 많았던 150J·cm-2 급액 시 80.1%로 유의하게 낮은 값을 나타내었고 생육단계별 처리구에서 85.3%로 가장 높은 값을 나타내었다.
Table 4.
Total marketable yield and marketable fruit rate of strawberry ‘Seolhyang’ according to different integrated solar radiation (ISR).
| Treatmentz |
Total marketable yield (kg/10 a) |
Marketable fruit rate (%) |
| Timer | 286 aby | 84.4 ab |
| 150 J/cm2 | 265 b | 80.1 b |
| 200 J/cm2 | 260 b | 83.3 ab |
| Growth stages | 328 a | 85.3 a |
딸기의 수량 향상과 고품질의 과실 생산을 위하여 작물에 알맞은 정밀 급액 관리가 중요하다. 근권 환경의 균형과 수분 유지를 위하여 기상 환경을 고려한 급액 방법인 일사비례제어 방식을 적용하여 맑은 날에는 급액량을 충분히 급액하였고 흐리거나 비가 오는 날은 급액 횟수가 감소되어 배지 내 수분 함량의 과다를 조절할 수 있었다. 과실 생육에 알맞은 급액량이 공급되었을 때, 과실의 수량과 상품과율이 증가하였으며 오히려 타이머 제어보다 총 급액량이 많았던 누적 일사량 기준 150J·cm-2과 급액량이 부족했던 200J·cm-2 처리구에서는 수량과 상품과율이 감소하는 결과를 보였다. 멜론의 적산일사비례 제어 시 생육단계에 따라 1회 적산 값 또는 급액시간을 변경하여 급액하는 것이 바람직하다고 하였다(Kim과 Kim, 2000). 본 연구에서도 생육단계별 일사량 변화에 따른 누적일사량 기준을 달리 적용하는 것이 상품과의 생산과 과실 수량 향상에 효과적일 것으로 판단되었으나 동일 누적일사량 기준 적용 시 타이머제어보다 수량, 상품과율이 감소하는 결과를 통해 추후 관수주기 대기시간에 관련한 연구가 필요하다고 판단된다.




