서 언
1990년도에 국내에 공정육묘가 도입된 후 2014년 기 준 공정육묘장 수가 292개소, 그리고 육묘 면적이 195ha 로 확대되었으며(KREI, 2014), 최근의 국내 육묘 시장 규모는 약 4,000억 정도로 업계에서 추정하고 있다. 규모 적인 확대뿐만 아니라 접목 활착을 위한 활착실 및 LED 광 시설의 도입, 시설의 자동화 등 기술적인 측면에 서도 비약적인 발전이 있었다. 그러나 농업 인구의 고령 화, 인건비 상승, 노동력 부족 등으로 육묘 시장이 침체되 고 있으며, 이에 대한 해결책으로 육묘 및 본포 재배에서 높은 수준의 기계화 및 자동화가 요구되고 있다. 작물 생 산을 위한 여러 종류의 작업 중 관수 및 병충해 방제는 기계화 및 자동화 비율이 비교적 높지만 정식과 수확작업 의 자동화 비율은 여전히 미미한 실정이다(KREI, 2014).
파종, 육묘, 본포 정식, 본포 재배 및 수확의 농업생 산과정 중 가장 초기 단계에서 이루어지는 파종 및 육 묘를 위해 공정묘 생산농가는 주로 플라스틱 육묘 트 레이를 사용하고 있다. 플라스틱 트레이는 가볍고, 수 분에 의한 강도 저하가 미미하며, 가격이 저렴하다는 장점을 갖지만, 이식시 트레이 파손율이 높아 재 이용 율이 낮고, 난분해성 재질로서 환경오염 문제를 유발 하는 단점을 갖는다(Kim 등, 2010;Song 등, 2010). 만약 토양에서 자연 분해되는 생분해성 육묘포트를 이 용한다면 플라스틱 트레이의 단점을 극복할 수 있으므 로 이와 관련된 연구가 지속적으로 진행되고 있다(Lee 등, 2014;Song 등, 2010). 종이포트를 이용한 육묘는 육묘 과정 중 지하부 환경개선 그리고 육묘 후 정식 시 기계정식에 편리한 장점을 갖는다. 정식시 종이가 뿌리를 둘러싼 상토를 감싼 상태로 유지하므로써 뿌리 손상이 감소하고 활착률을 증가시키며, 종이는 토양 내에서 자연분해되어 환경오염도 방지할 수 있다(Seo 등, 2017).
이미 국내의 일부 육묘장에서 종이포트를 사용하여 채소류 공정묘를 생산하고 있지만 종이포트를 제조하기 위한 종이 및 상토가 외국에서 전량 수입되고 있어 육 묘의 생산단가 증가와 이를 이용하는 본포 재배농가의 경제적 부담으로 이어지고 있다. 또한 종이포트를 사용 한 육묘는 기존 플라스틱 트레이를 이용한 육묘와 구조 적 차이에 기인한 상토의 건조 정도가 다르고 시비농도 나 시비횟수 등의 변화가 필요하지만 관련 연구는 아직 미비한 실정이다(Jang 등, 2018;Seo 등, 2017).
이와 같은 배경 하에 종이포트 제조용 상토의 개발 과 시비체계를 확립하기 위한 연구를 본 실험실에서는 수행하고 있으며, 전체적인 연구 중 일부분으로서 상토 에 기비로 혼합된 질소의 수준 차이가 두 종류 엽채류 묘 생장에 미치는 영향을 구명하고자 본 연구를 수행 하였다.
재료 및 방법
실험을 위해 2.84mm 이하(10mesh)의 입도 비율이 80~90%인 피트모스와 유통규격 1~3mm인 펄라이트를 7:3(v/v)의 비율로 혼합하여 상토를 조제하였다. 조제한 상토를 Choi 등(1999)의 방법으로 물리성을 측정한 결과 공극률 84.3%, 용기용수량 71.7%, 그리고 기상률 12.6% 였고, Wallach 등(1992)와 Milks 등(1989)의 방법으로 총 보유한 수분 중 식물이 쉽게 흡수할 수 있는 수분 (easily available water)과 완충수(buffering water)의 양 을 측정한 결과 각각 34.1% 및 7.99%였다. 상토 조제 과정 중 질소를 0, 150, 250, 500 및 750mg·L-1로 농도 를 조절한 5처리구를 두어 기비로 첨가하였고 질소를 제외한 나머지 필수원소 및 미량원소의 농도는 모두 동 일하게 조절하였다. 질소 시비수준은 NH4NO3를 이용하 여 조절하였으며 각 처리별로 혼합된 비료의 종류 및 양 은 Table 1에 나타내었다. 종이포트 묘는 Ellegaard사의 Ellepot system(T-H112, Denmark)으로 제작하여 40cell tray에 안치하였으며, Ellepot(40-130-1400-Landscape FSC, Denmark) 종이를 사용하여 제조하였다.
Table 1. Amounts of pre-planting nutrient charge fertilizers incorporated into each N treatment during the formulation of peatmoss:perlite (7:3, v/v) medium in the paper raising of seedlings.
![]() |
조제된 상토에 기비를 혼합한 후 배추(Brassica campestris L. ssp. pekinensis) ‘춘명봄배추’와 청경채 (Brassica campestris L. ssp. chinensis) ‘하녹청경채’ 종 자를 파종하였다. 파종한 종자는 약 28°C의 발아실에서 1~2일간 발아시킨 후 온실로 옮겨 육묘하였고, 파종 14 일 후부터 13-2-13(N-P2O5-K2O) 비료를 질소 기준 120mg·L-1로 농도를 조절하여 2~3일 간격으로 두상관비 하였다. 정식하기에 적합한 크기로 생장하였다고 판단한 배추는 파종 21일 후, 청경채는 파종 20일 후 무작위로 15개체씩 식물체의 초장, 초폭, 엽장, 엽폭, 엽수 및 지 상부 생체중을 조사하였고 엽록소 측정계(Cholorophyll meter Konica Minolta Sensing, INC., Japan)를 사용하 여 SPAD값을 측정하였다. 지상부 생체중을 측정한 후 75°C 건조기에서 48시간 동안 건조한 뒤 무게를 측정하 여 건물중으로 삼았다. 작물 생장 기간 동안의 온도와 습도 변화는 Fig. 1에 나타내었다.
식물체 내의 무기원소 함량을 분석하기 위하여 수확한 식물체를 증류수로 수세하여 잎 표면의 이물질을 제거하 였다. 이후 75°C에서 48시간 건조시켰으며, 0.9mm체 (20mesh)를 통과하도록 분쇄한 후 전 질소(T-N) 및 기타 무기성분 함량 분석에 이용하였다. 분석방법 및 기자재 는 Lee(2015)의 방법에 준하였다.
혼합 상토의 pH 및 EC는 파종 후 매주 근권부 상토 를 채취하여 실온에서 풍건된 상토에 증류수를 첨가 (1:10, w/w) 하여 반죽(saturated paste)을 만들고 화학평 형상태에 도달하도록 실온에서 2시간 동안 기다렸다. 이 후 3겹의 거즈로 싼 후 압력을 주어 생성된 추출 용액 의 pH와 EC를 pH/EC meter(Multi meter CP-500L, Instek Co. Sungnam, Korea)로 측정하였고, 총 3반복으로 수행하 였다. 또한 이 추출용액으로 상토의 양이온농도를 원자흡 광분석기(Atomic Absorption spectrophotometer AA-7000, Shimadzu Co., Japan)로 분석하였고(Hendershot 등, 1993), NH4-N(Chaney와 Marback, 1962), NO3-N(Cataldo 등, 1975) 및 P2O5(Chapman 등, 1961) 농도는 분광광도계 (UV-VIS Spectrophotometer UVmini-1240, Shimadzu Co., Japan)로 비색 정량하였다.
본 실험은 완전임의배치법 3반복(각 반복당 25식물체) 으로 수행하였으며, 식물 생육조사 및 무기원소 분석 결 과는 CoStat 6.311(CoHort Software, Monetery, Califonia, USA)을 사용하여 Duncan 다중검정방법으로 5% 수준에서 처리 간의 차이를 비교하였다. 또한 질소 시비수준에 대한 생장반응을 1차 및 2차 회귀분석을 하 여 경향을 판단하고자 하였다.
결과 및 고찰
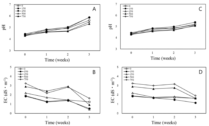
배추 ‘춘명봄배추’를 파종한 21일 후까지 각 혼합상토 의 pH와 EC의 변화를 매주 분석하여 Fig. 2에 나타내 었다. 파종 전 상토의 pH는 4.3~4.45의 범위 내로 측정 되었으며, 질소 750mg·L-1 처리구에서 pH가 가장 낮았다. 배추의 생장이 진행되면서 pH가 점차 상승하였으며 이 는 기비로 첨가한 고토석회와 탄산석회가 용해되어 pH 상승의 원인이 되었다고 생각한다. 작물 재배 중 뿌리를 둘러싼 상토의 pH가 5.6~6.2의 범위일 때 모든 필수원 소가 골고루 흡수될 수 있다고 다수의 연구자가 보고한 바 있다(Nelson, 2012;Sonneveld와 Voogt, 2009). 본 실험 결과에서 상토의 pH가 서서히 상승하여 3주 후에 5.6 이상으로 측정된 것을 감안할 때 반응이 빠른 탄산석 회 비율을 증가시키고 반응이 느린 고토 석회의 비율을 낮추는 것이 파종 후 초기 pH를 빠르게 상승시키면서 파 종 3주 후의 과도한 pH 상승을 방지할 수 있는 방법이라 고 생각한다. Sonneveld와 Voogt(2009)는 소석회[(Ca(OH)2], 탄산석회(CaCO3) 또는 고토석회[CaMg(CO3)2] 등이 혼합 상토의 pH 조절을 위해 이용될 수 있으며, 첨가량은 혼합 상토의 양이온치환용량 및 석회석 물질의 입경분포에 기 인한 용해도를 고려하여 변화시킬 수 있다고 보고하였다. 아울러 Lindasy(2001)은 CaCO3에 비해 CaMg(CO3)2의 용해도가 낮다고 보고하여 석회석의 종류를 변화시켜 상 토의 pH를 조절하는 것이 가능하다는 저자들의 주장에 대하여 논리적 배경을 제공하고 있다.

Fig. 2
Changes in pH and EC of the root media during the raising of Chinese cabbage (A and B) and pak-choi (C and D) seedlings as influenced by various amount of N concentrations (mg·L-1) in corporated as pre-planting fertilizer in the paper pot raising. The root medium was a mixture of peatmoss (80 to 90% of particles smaller than 2.84 mm) and perlite (1 to 3 mm grade) with the ratio of 7:3 (v/v).Fig. 2에 나타낸 배추 육묘기간 동안 상토의 EC 변화 에서 파종 전 상토는 질소 시비수준이 높아질수록 EC가 뚜렷하게 증가하였으며 모든 처리가 1.90~3.24dS·m-1의 범위로 측정되었다. 파종 2주 후까지 유사한 수준을 유 지하거나 낮아졌다 높아지는 등 각 처리별로 다른 양상 을 보였지만, 파종 2주 후에는 모든 처리에서 낮아졌다. 파종 3주 후 모든 처리의 EC는 0.36~1.63dS·m-1범위로 측정되었고, 기비로 혼합된 질소의 시비수준이 높은 처 리에서 EC가 높았다. 청경채 육묘기간 동안 상토의 EC 변화는 배추와 유사한 경향을 보였으며 파종 3주 후 모 든 처리가 1.02~2.39dS·m-1로 측정되어 배추를 육묘한 상토의 EC보다 높았고, 이는 동일한 육묘기간 동안 청 경채가 배추보다 질소를 제외한 나머지 영양분을 적게 흡수한 것이 원인이라고 판단한다(Table 3). 고농도 질소 시비구에서 저농도 질소 시비구보다 급격히 EC가 낮아 진 이유는 기비로 혼합된 NH4NO3가 토양수에 용해되면 서 NH4+와 NO3-가 생성되고 양이온치환 부위에 흡착되 지 못하는 NO3-가 관수시 쉽게 용탈되므로써 EC가 낮 아진 주요 원인이 되었다고 판단한다(Choi 등, 2009;Sonneveld와 Voogt, 2009;Raviv와 Lieth, 2008).
청경채를 육묘한 상토의 pH 경향은 배추와 유사하였 으나 파종 3주 후 상토의 pH가 배추는 5.3~5.9의 범위 로 측정되었고 청경채는 4.93∼5.39의 범위로 측정되어 청경채를 육묘한 상토의 pH가 낮았다. 이는 식물 뿌리 가 NH4+을 흡수하는 과정에서 발생된 H+가 근권부 pH 를 산성으로 변화시키며(Marschner, 2012;Shim 등, 2018) 질소 흡수량이 많은 청경채(Table 3)가 상토 pH를 더 산성으로 변화시켰다고 생각한다.
두 작물을 파종하기 전 상토의 NH4+-N와 NO3--N 농 도를 분석한 결과(Fig. 3), 질소 무시비구에서 NH4+-N와 NO3--N의 농도는 약 12 및 33mg·kg-1였으며, 질소 시비 수준이 가장 높은 750mg·L-1 처리구에서는 각각 152 및 300mg·kg-1로 분석되었다. NH4+-N와 NO3--N의 농도는 파종 3주 후 급격하게 낮아져서 500 및 750mg·L-1 처리 구를 제외한 처리구에서 매우 낮은 농도로 분석되었다. 파종 2주 후에 NH4+-N와 NO3--N 농도가 증가한 이유는 파종 2주 후부터 추비를 시작하였기 때문이라고 생각한 다. 파종 3주 후에 NH4+-N와 NO3--N의 농도가 낮아진 이유는 작물의 생장량이 급격히 증가함에 따라 무기 원 소 흡수량이 증가하였고, 잦아진 관수 횟수로 인해 상토 에 잔존하는 무기 이온이 관수 시 발생하는 배액과 함 께 배수공을 통해 용탈되었기 때문이라고 판단한다. Nelson(2012)도 작물 재배 기간중 상토에 기비로 혼합된 비료의 잔효 기간과 농도 저하에 관하여 본 연구 결과 와 유사하게 설명한 바 있으며 이상의 결과를 뒷받침하 고 있다. 청경채 육묘중 상토의 NH4+-N와 NO3--N의 농 도 변화 역시 배추를 육묘할 때와 유사한 경향을 보였다. 그러나 배추의 경우 250mg·L-1 처리구에서도 NO3-N의 농도가 분석되지 않았지만 청경채는 파종 3주 후 질소 250mg·L-1 처리구의 NO3-N 농도가 103.70∼114.35mg·kg-1 로 분석되었으며, 이는 청경채가 배추보다 NH4-N 흡수 량이 많고 NO3-N 흡수량이 적은 것을 의미한다고 생각 한다.

Fig. 3
Changes in the root medium concentrations of NH4+-N and NO3 --N during the raising of Chinese cabbage (A and B) and pak-choi (C and D) seedlings as influenced by various amounts of N (mg·L-1) incorporated as pre-planting nutrient charge fertilizers in the paper pot raising. The root medium was a mixture of peatmoss (80 to 90% of particles smaller than 2.84 mm) and perlite (1 to 3 mm grade) with the ratio of 7:3 (v/v).파종 전 상토의 Ca, Mg, K 및 P 농도는 각각 23.95~34.43, 103.17~147.63, 151.02~174.51, 21.83 ~28.61mg·kg-1의 범위로 분석되었다(Fig. 4). 엽채류 두 종의 육묘기간 동안 다량원소의 농도 변화도 EC 변화와 유사하게 파종 3주 후에 큰 폭으로 낮아졌다. 또한 모든 시비구에서 질소를 제외한 다량원소의 기비량을 동일하 게 조절하였는데 질소 750mg·L-1 처리구에서 상토 K, Ca 및 Mg 농도가 가장 높았으며, 이는 질소 농도의 차 이를 위해 다량으로 시비한 NH4NO3 비료(Table 1)로 인해 상토의 pH가 산성으로 변한 것이 원인이라고 판단 한다. 뿌리가 NH4+를 흡수할 경우 뿌리에서 H+가 방출 되어 상토의 pH가 산성으로 변하고, pH가 산성으로 변 하면 상토에 존재하는 무기 원소의 가용화가 촉진된다 (Choi 등, 2009;Silber, 2008;Lindsay, 2001). 배추의 근권부 pH 측정결과(Fig. 2), 질소 750mg·L-1 처리구에서 토양 산도가 가장 낮았고 이로 인해 상토 내의 다량원 소 농도가 가장 높았다고 생각한다. 종자 파종 3주 후 상토의 다량원소 농도를 분석한 결과 Ca, Mg, K 및 P 는 배추 육묘시 17.6, 43.5, 40.5 및 4.0mg·kg-1였고, 청 경채 육묘시 26.4, 74.2, 84.2 및 9.2mg·kg-1였다. 이상의 결과는 청경채가 배추보다 질소를 제외한 무기원소 흡수 량이 적음을 의미하는 것이라고 생각한다.

Fig. 4
Influence of varied N concentrations (mg·L-1) incorporated as pre-planting nutrient charge fertilizers on the changes in P, K, Ca, and Mg concentrations of root media during the raising of Chinese cabbage (A, B, C, and D) and pak-choi (E, F, G, and H) seedlings using paper pots. The root medium was a mixture of peatmoss (80 to 90% of particles smaller than 2.84 mm) and perlite (1 to 3 mm grade) with the ratio of 7:3 (v/v).파종 21일 후 배추의 지상부 생장을 조사한 결과 (Table 2), 질소 무시비구의 지상부 생장이 가장 저조하 여 초장, 지상부 생체중 또는 건물중이 가장 작거나 가 벼웠다. 질소 250mg·L-1 시비구의 식물체당 지상부 생체 중이 7.80g로 가장 무거웠고 500mg·L-1보다 시비농도가 낮거나 높을 때 생체중이 가벼워져 질소시비수준에 따른 2차 곡선회귀가 뚜렷하게 성립하였다. 또한 배추묘의 웃 자람 정도를 판단하기 위해 “지상부건물중/초장”으로 계 산하여 판단한 결과(Seo 등, 2018), 250mg·L-1 처리구에 서 생장이 가장 충실하였다(Fig. 5). 청경채는 파종 20일 후의 지상부 생장이 질소 250mg·L-1 시비구에서 가장 우수하였고, 이 처리의 지상부 생체중과 건물중이 식물 체당 7.80g 및 0.40g으로 조사되었다. 질소 시비수준에 따른 청경채 묘의 충실도(지상부건물중/초장)를 나타낸 결과 250mg·L-1 처리구에서 가장 충실한 묘가 생산되었 다. 질소 시비 수준에 따른 청경채의 생체중과 건물중 생 산을 비교할 때 5% 수준의 통계적 차이가 인정되었고, 2 차 곡선회귀가 0.1%수준에서 성립하여 경향이 뚜렷함을 나타내고 있다(Table 2).

Fig. 5
Influence of varied N concentrations (mg·L-1) incorporated as pre-planting nutrient charge fertilizers on the changes in fresh weight of above ground tissue and compactness (dry weight/plant height of above ground tissue) of Chinese cabbage (A) and pak-choi (B) seedlings using paper pots. The root medium was a mixture of peatmoss (80 to 90% of particles smaller than 2.84 mm) and perlite (1 to 3 mm grade) with the ratio of 7:3 (v/v).Table 2. Influence of varied N concentrations incorporated as per-planting nutrient charge fertilizers on the growth of Chinese cabbage and pak-choi 21 and 20 days after seed sowing, respectively, in the paper pot raising of seedlings.z
![]() |
배추 파종 21일 후에 지상부 식물체의 무기원소 함량 을 분석한 결과(Table 3), 질소 시비수준이 높아질수록 T-N함량이 상승하였고 처리간 통계적인 차이가 인정되 었다. 지상부 생장이 가장 우수하였던 질소 250mg·L-1 처리구의 T-N 함량이 6.03%로 분석되었다. 청경채의 파 종 20일 후 식물체 무기원소 함량을 분석한 결과도 배 추와 유사한 경향을 보였고, 지상부 생장이 가장 우수하 였던 250mg·L-1 시비구의 T-N 함량이 6.49%였다.
Table 3. Influence of varied N concentrations incorporated as per-planting nutrient charge fertilizers on the tissue nutrient contents of Chinese cabbage and pak-choi based on the dry weight of above ground tissue 21 and 20 days after seed sowing, respectively, in the paper pot raising of seedlings.z
![]() |
Bennett(1993)는 최대 식물체 생산량을 보인 처리의 90% 이상으로 식물 생장이 유지되도록 시비량을 조절하 여야 수량감소를 방지할 수 있다고 주장하였다. 배추는 생장이 가장 우수한 250mg·L-1 질소 시비구의 건물중이 식물체당 0.40g이었고(Table 2), 최대 건물중의 90%에 해당하는 건물중은 식물체당 0.36g이다. 질소 기비 수준 과 건물중의 회귀관계를 분석한 결과 y=-0.0036x2 +0.0021x+0.0635(R2=0.9826)의 방정식이 성립하였고, 건 물중 0.36g에서의 질소 기비 수준은 196mg·L-1으로 계산 된다. 따라서 종이포트를 사용하여 품질이 우수한 배추 묘를 생산할 때 기비 수준을 196∼250mg·L-1의 범위로 조절하는 것이 적합할 것으로 판단하였다. 이러한 결과 는 Sung 등(2016)이 배추의 플러그육묘시 질소기비수준 을 250mg·L-1로 조절하는 것이 바람직하다고 한 결과와 유사하였다. 청경채는 생장이 가장 우수했던 처리구의 건 물중인 0.16g의 90%는 0.144g이며 질소 기비 수준과 건 물 중의 회귀관계를 분석한 결과 y=-0.16x2+0.0009x +0.032 (R2=0.991)의 회귀관계가 성립하였고, 건물중 0.144g에서의 질소 기비 수준은 187mg·L-1으로 계산된다. 연구결과와 계산식을 적용할 때 종이포트를 사용하여 품 질이 우수한 청경채 묘를 생산하려면 질소의 기비 수준 을 187~250mg·L-1의 범위로 조절하는 것이 적합할 것으 로 판단한다. 또한 청경채의 식물체 내 질소함량이 배추 보다 약 1% 높은 결과는 작물 생장의 건물중 생산과 연관지어 판단할 수 있다. 생장이 가장 우수하였던 250mg·L-1시비구에서 배추는 식물체당 0.40g, 청경채는 0.16g의 지상부 건물중을 생산하였으며, 지상부 생장이 많았던 배추에서 희석효과(dilution effect)가 발생하여 식 물체내 무기원소 함량이 낮아졌다고 생각한다(Marschner, 2012).
기비로 상토에 혼합된 질소 수준이 높아질수록 식물체 인산 함량이 감소하였다(Table 3). 이는 질소 시비량이 증가할수록 흡수 과정에서 음이온 간 길항작용이 발생하 여 인산 흡수량이 적어진 원인이 되었다고 생각한다 (Marschner, 2012). 또한 질소시비 수준이 높아질수록 알 칼리성 원소인 K, Ca 및 Mg의 식물체 내 함량이 낮아 졌으며, 이는 상토의 양이온치환 부위에 양이온이 흡착 될 때 발생하는 길항작용이 원인이라고 판단한다. 본 연 구에서 질소 시비수준을 높이기 위해 NH4NO3의 시비량 을 증가시켰다(Table 1). 시비 후 물에 용해되어 NH4+와 NO3-가 생성된 후 NH4+가 상토의 양이온 치환부위를 점 유하고, 흡착되지 못한 K, Ca 및 Mg이 관수 시 배수공 을 통해 용탈되어 흡수량 감소의 원인이 되었다고 판단 한다. 이미 Nelson(2012) 및 Marschner(2012)도 유사한 보고를 한 바 있다.
이상의 결과를 요약하면 다음과 같다. 배추와 청경채 종이포트 육묘를 위해 기비로 혼합된 질소 시비 수준을 변화시키고 작물 생장에 미치는 영향을 조사한 결과 배 추는 196~250mg·L-1의 범위로, 청경채는 187~250mg·L-1 의 범위로 질소 농도를 조절하는 것이 충실한 종이포트 묘 생산에 바람직하다고 생각한다.






