서 론
냉난방부하 계산은 온실의 냉난방시스템 설계에서 가 장 기초가 된다. 이 계산은 온실의 환경을 조절하는 시 스템 요소들의 치수 결정에 영향을 주며, 온실 건축의 초기비용, 생산성, 운전비용 및 에너지 소비에 영향을 주기 때문이다. 냉난방부하는 실내 환경을 요구되는 온 도와 습도로 유지하기 위해서 공급되거나 제거되어야 할 에너지 전달율이다. 냉난방시스템과 공기조화시스템은 그와 같은 에너지 전달을 성취하기 위해서 설계되고 제 어되어야 한다(SAREK, 2011).
온실의 난방부하를 산정하는 방법은 국가별로 차이를 보이고 있으나 일반적으로 관류열부하, 환기전열부하 및 지중전열부하로 구성되어 있다(ASABE, 2008;JGHA, 2007;Kim 등, 1997). 최근에 일부 연구진에 의해 국내 에 적용하기 위한 온실 난방부하 산정 방법을 개발하고, 대규모 플라스틱 온실에서 난방실험을 통하여 각각의 부 하산정 방법을 검증한 바가 있다(Nam과 Shin, 2015;Shin과 Nam, 2015;Shin과 Nam, 2016).
온실은 경제적인 이유로 기계적인 냉방을 도입하기가 어렵기 때문에 환기나 증발냉각에 의존하는 냉방방식이 대부분을 차지하고 있다. 미국의 온실 냉방설계 기준은 강제환기와 증발냉각으로 구성되어 있으며 열수지식을 이용하여 기온과 환기율 관계를 구하는 방법으로 설계한 다(ASABE, 2008). 일본의 온실 냉방설계 기준도 환기 와 증발냉각으로 구성되어 있으며 VETH 선도를 이용하 여 설계한다(JGHA, 2007). 우리나라는 명확한 설계기준 이 제시되어 있지 않았으나, 최근에 포그시스템과 같은 증발냉각법의 도입이나 지열히트펌프를 이용한 기계적인 냉방이 보급되고 있는 추세를 감안하여 냉방부하 산정방 법을 개발하고, 실험을 통하여 검증한 바 있다(NAAS, 2015;Nam 등, 2015).
시설재배의 생산성, 시설설치의 경제성 및 에너지의 효율적 이용 측면에서 냉난방 설비의 적정 용량 결정은 매우 중요하며, 이를 위해서는 정확한 냉난방부하의 산 정이 필요하다(Nam과 Shin, 2017). 어떤 시간에 요구되 는 냉난방부하의 양은 외부와 내부의 요소에 따라 광범 위하게 변한다. 냉난방부하 계산에 영향을 주는 변수들 은 매우 많으며, 간단히 정의 내리기가 어렵고 항상 복 잡한 상호관계를 갖는다(SAREK, 2011). 온실의 냉난방 부하도 실내조건이나 온실의 구조조건, 외부 기상조건 등 영향요소들이 매우 많으므로 설계 변수의 선택에 신 중을 기하여야 한다.
따라서 본 연구에서는 온실의 냉난방부하 산정을 위해 설계자가 선택해야할 주요 변수들에 대하여 이들 설계 변수가 냉난방부하에 미치는 영향을 평가하기 위해서 각 각의 설계 변수값을 변화시키면서 시뮬레이션을 실시하 였으며, 이를 바탕으로 특별히 선택에 주의를 기울여야 할 설계 변수를 제안하였다.
재료 및 방법
온실의 난방부하는 관류열부하, 틈새환기전열부하, 지 중전열부하의 항으로 구성되어 있다. 이에 대하여 Shin 과 Nam(2015)이 제안한 온실의 난방부하 산정 방법을 동일한 항목끼리 묶어서 간단히 정리하면 다음과 같다.
| $$H_T\;=\;w(T_i-T_o)-\theta\;\cdot F\cdot L_p$$ | (1) |
| $$w=U\cdot A_c+\rho_i\cdot c_pN\cdot V+F\cdot L_p$$ | (2) |
여기서, HT는 온실의 난방부하(W), U는 피복재의 열관 류율(W/m2°C), Ac는 온실의 피복면적(m2), Ti는 실내 설 정온도(°C), To는 설계 외기온(°C), ρi는 실내공기의 밀 도(kg/m3), cp는 실내공기의 비열(J/kg °C), N은 틈새환기 율(회/s), V는 온실의 체적(m3), F는 온실의 외주부 단 위길이당 열손실계수(W/m°C), Lp는 온실의 둘레길이(m), θ는 지중전열 부하저감 기준온도차(°C)이다.
난방부하 계산에서 공기의 밀도는 1.18 kg/m3, 비열은 1,006 J/kg°C, 실내 설정온도는 16°C의 상수로 가정하였 다(Albright, 1990;ASABE, 2008). 온실의 피복면적, 체 적, 둘레길이는 온실의 규격이 결정되면 계산할 수 있으 므로, 설계자가 선택해야 할 설계 변수는 피복재의 열관 류율, 설계 외기온, 틈새환기율, 외주부 단위길이당 열손 실계수 및 지중전열 부하저감 기준온도차 등이다.
이들 설계 변수가 온실의 난방부하에 미치는 영향을 평가하기 위해서 각각의 설계 변수 값을 기본 값에 대 하여 ±25% 범위에서 변화시키면서 시뮬레이션을 실시 하였으며, 설계 변수의 기본 값은 Table 1과 같이 설정 하였다(NAAS, 2015).
온실의 냉방부하는 온실의 취득열량(온실 내로 유입되 는 일사량)과 온실로부터의 손실열량(온실 피복재를 통 한 관류열량, 환기로 배출되는 열량 및 작물의 증발산에 의해 소비되는 열량)의 차이로 주어진다. 이에 대하여 Nam 등(2015)이 제안한 온실의 냉방부하 산정 방법을 동일한 항목끼리 묶어서 간단히 정리하면 다음과 같다.
| $$Q_T=\alpha I_s-\beta(T_i-T_o)$$ | (3) |
| $$\alpha=\tau(1-E_p)A_s$$ | (4) |
| $$\beta=U\cdot A_c+\rho_ic_pV_r$$ | (5) |
여기서, QT는 온실의 냉방부하(W), IS는 설계 외부일사 량(W/m2), Ti는 실내 설정온도(°C), To는 설계 외기온 (°C), τ는 피복재의 일사 투과율, Ep는 작물의 증발산계 수, As는 온실의 바닥면적(m2), U는 피복재의 열관류율 (W/m2°C), Ac는 온실의 피복면적(m2), ρi는 실내공기의 밀도(kg/m3), cp는 실내공기의 비열(J/kg °C), Vr은 온실의 환기율(m3/s)이다.
냉방부하 계산에서도 실내공기의 밀도와 비열, 실내 설정온도는 상수로 가정하였다. 온실의 피복면적과 바닥 면적은 온실의 규격이 결정되면 계산할 수 있으므로, 설 계자가 선택해야 할 설계 변수는 설계 외부일사량, 피복 재의 일사 투과율, 열관류율, 설계 외기온, 환기율 및 작 물의 증발산계수 등이다.
여름철 온실의 기온은 매우 높은 일사부하로 인하여 외기온 보다 낮게 유지하는 것이 거의 불가능하다. 온실 의 환기시스템을 설계할 때는 보통 외기온 +5°C 이내를 목표로 하고, 증발냉각시스템을 설계할 때는 대부분 32°C를 목표온도로 설정한다(Lindley와 Whitaker, 1996). 온실에서 냉방 시 실내 목표온도를 달성하기가 쉽지 않 으므로 설계 변수 중 설계 외기온을 실내외 기온차로 대 체하였으며, 피복재의 일사 투과율과 설계 외부일사량은 곱하여(τIs) 온실 내로 유입되는 일사량으로 취급하였다.
앞의 난방부하에서와 마찬가지로 이들 설계 변수가 온 실의 냉방부하에 미치는 영향을 평가하기 위해서 각각의 설계 변수 값을 기본 값에 대하여 ±25% 범위에서 변화 시키면서 시뮬레이션을 실시하였으며, 냉방부하 설계 변 수의 기본 값은 Table 2와 같이 설정하였다(NAAS, 2015).
이상의 설계 변수값에 따른 냉난방 부하의 변화를 시 뮬레이션하기 위해 선정한 대상 온실의 규격은 Table 3 과 같다. 원예특작시설 내재해형 규격 설계도·시방서 (RDA, 2015)에서 제시한 온실 모델 중 최신 모델인 12- 단동-1과 12-연동-1을 선택하였으며, 연동의 경우에는 온 실의 규모에 따른 영향을 분석하기 위하여 7연동 및 14 연동 온실을 대상으로 시뮬레이션을 실시하였다.
단동 온실을 S-1, 7연동 온실은 S-7, 14연동 온실은 S-14로 표기하였으며, 각각의 온실 길이는 모두 100m로 하고, 냉난방부하 산정에 필요한 고정 변수인 온실의 바 닥면적, 피복면적, 체적 및 둘레길이는 Table 4와 같이 계산되었다. 냉난방부하에 미치는 설계 변수들의 영향을 분석하기 위한 온실의 규모는 개략적으로 단동온실 0.1ha, 연동온실 0.5ha 및 1.0ha를 선정하였다.
결과 및 고찰
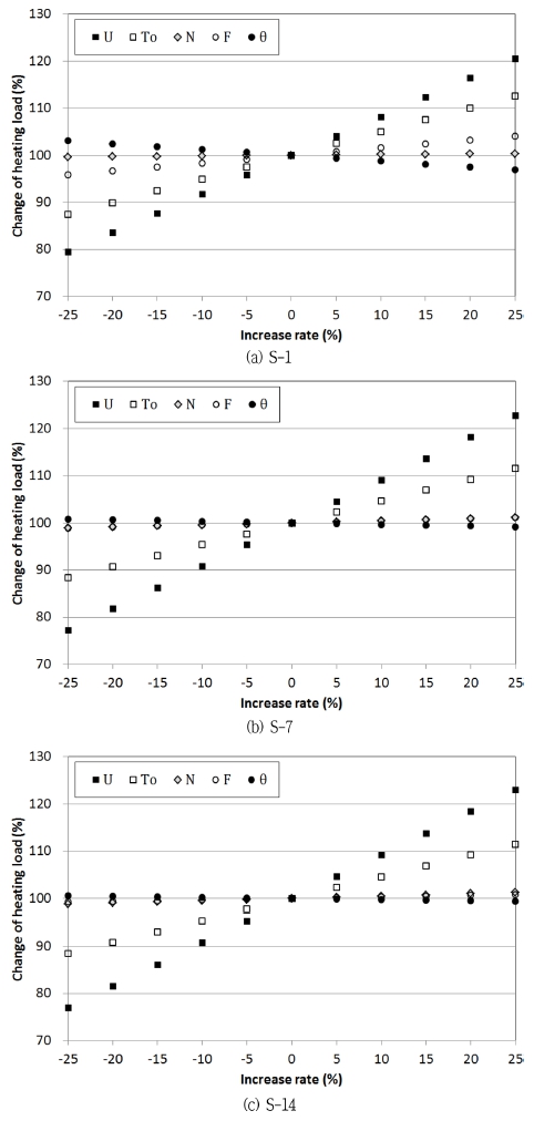
난방부하를 산정할 때 설계자가 선택해야 할 설계 변 수는 피복재의 열관류율(U), 설계 외기온(To), 틈새환기 율(N), 외주부 단위길이당 열손실계수(F) 및 지중전열 부하저감 기준온도차(θ)이다. 이들 설계 변수가 난방부 하에 미치는 영향을 평가하기 위해서 시뮬레이션을 실시 하였으며, Fig. 1은 각 설계 변수의 증가율에 따른 난방 부하의 변화를 나타낸 것이다.
단동 온실의 경우 Fig. 1(a)에서 보는 바와 같이 U, To, N, F값이 각각 10% 증가할 때 난방부하는 각각 8.2%, 5.0%, 0.1%, 1.6% 증가하는 것으로 나타났으며, θ값이 10% 증가할 때 난방부하는 1.2% 감소하는 것으 로 나타났다. 7연동 온실의 경우 Fig. 1(b)에서 보는 바 와 같이 U, To, N, F값이 각각 10% 증가할 때 난방부 하는 각각 9.1%, 4.6%, 0.4%, 0.4% 증가하는 것으로 나 타났으며, θ값이 10% 증가할 때 난방부하는 0.3% 감소 하는 것으로 나타났다. 14연동 온실의 경우 Fig. 1(c)에 서 보는 바와 같이 U, To, N, F값이 각각 10% 증가할 때 난방부하는 각각 9.2%, 4.6%, 0.5%, 0.3% 증가하는 것으로 나타났으며, θ값이 10% 증가할 때 난방부하는 0.2% 감소하는 것으로 나타났다.
7연동과 14연동 온실을 비교해 보면 연동수에 따른 차 이는 거의 없는 것으로 나타났다. 난방부하에 가장 큰 영향을 미치는 설계 변수는 U값이고, 다음으로 To값인 것으로 나타났다. 단동 온실의 경우에는 F, θ값의 영향 도 무시할 수 없을 것으로 생각되지만, 연동 온실의 경 우에는 F, θ, N값의 영향이 미미한 것으로 판단되었다.
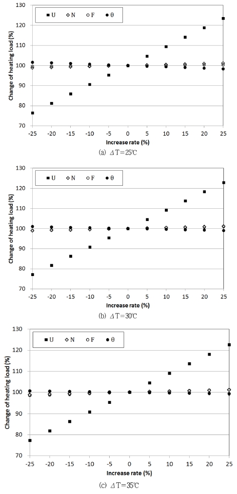
위에서는 난방부하를 산정할 때 실내 설정온도를 상수 로 취급하고 설계 외기온을 변화시키면서 시뮬레이션을 수행하였지만, 실내 설정온도 역시 변수가 될 수 있으므 로 이들을 묶어서 실내외 기온차(ΔT = Ti − To)를 몇 가지 로 고정시키고 시뮬레이션을 수행하였다. Fig. 2는 실내 외 기온차를 25, 30, 35°C로 하였을 때 다른 설계 변수 들의 증가율에 따른 난방부하의 변화를 나타낸 것이다.
Fig. 2(a), (b), (c)에서 보는 바와 같이 ΔT에 따른 차 이는 발견할 수 없었으며, 전체적으로 U값이 10% 증가 할 때 난방부하는 9.1~9.2% 증가하는 것으로 나타났으 나, N, F, θ값이 각각 10% 증가할 때 난방부하는 0.3~0.5% 증가 또는 감소하는 것으로 나타나 영향이 미 미한 것으로 판단되었다.
냉방부하를 산정할 때 설계자가 선택해야 할 설계 변 수는 설계 외부일사량(Is), 피복재의 일사 투과율(τ), 열 관류율(U), 설계 외기온(To), 환기율(Vr) 및 작물의 증발 산계수(Ep)이다. 그러나 여기에서는 재료 및 방법에서 설명한 바와 같이 τ와 Is 대신 이들을 결합한 유입 일사 량(τIs), 그리고 To 대신 실내외 기온차(ΔT)를 설계 변수 로 대체하였다. 이들 설계 변수가 냉방부하에 미치는 영 향을 평가하기 위해서 시뮬레이션을 실시하였으며, Fig. 3은 각 설계 변수의 증가율에 따른 냉방부하의 변화를 나타낸 것이다.
단동 온실의 경우 Fig. 3(a)에서 보는 바와 같이 τIs값 이 10% 증가할 때 냉방부하는 15.3% 증가하는 것으로 나타났으며, Ep, U, Vr, ΔT값이 각각 10% 증가할 때 냉방부하는 각각 15.3%, 1.7%, 3.6%, 5.3% 감소하는 것으로 나타났다. 7연동 온실의 경우 Fig. 3(b)에서 보 는 바와 같이 τIs값이 10% 증가할 때 냉방부하는 26.6% 증가하는 것으로 나타났으며, Ep, U, Vr, ΔT값 이 각각 10% 증가할 때 냉방부하는 각각 26.6%, 2.4%, 14.2%, 16.6% 감소하는 것으로 나타났다. 14연 동 온실의 경우 Fig. 3(c)에서 보는 바와 같이 τIs값이 10% 증가할 때 냉방부하는 26.3% 증가하는 것으로 나 타났으며, Ep, U, Vr, ΔT값이 각각 10% 증가할 때 냉 방부하는 각각 26.3%, 2.2%, 14.0%, 16.3% 감소하는 것으로 나타났다.
단동 온실과 연동 온실의 차이는 크게 나타났으나, 7 연동과 14연동 온실을 비교해 보면 연동수에 따른 차이 는 거의 없는 것으로 나타났다. 냉방부하에 가장 큰 영 향을 미치는 설계 변수는 τIs와 Ep값이고, 다음으로 ΔT, Vr값인 것으로 나타났다. U값은 단동 온실이나 연동 온 실 모두 영향이 미미한 것으로 나타났지만, ΔT 및 Vr값 의 경우에는 냉방부하에 미치는 영향을 무시할 수 없을 것으로 생각되며, 특히 연동 온실에서 그 영향이 더 큰 것으로 판단되었다.
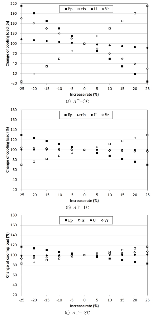
위에서는 냉방부하를 산정할 때 실내온도를 설계 외기 온 보다 높게(ΔT>0) 설정하여 시뮬레이션을 수행하였지 만, 외기온 보다 낮게 냉방하는 조건을 고려하여 ΔT값 을 몇 가지로 고정시키고 시뮬레이션을 수행하였다. Fig. 4는 ΔT값을 -3, 1, 5°C로 하였을 때 다른 설계 변수들의 증가율에 따른 냉방부하의 변화를 나타낸 것이다.
ΔT값이 5°C인 경우 Fig. 4(a)에서 보는 바와 같이 τIs 값이 10% 증가할 때 냉방부하는 45.6% 증가하는 것으 로 나타났으며, Ep, U, Vr값이 각각 10% 증가할 때 냉 방부하는 각각 45.6%, 5.2%, 30.5% 감소하는 것으로 나 타났다. ΔT값이 1°C인 경우 Fig. 4(b)에서 보는 바와 같 이 τIs값이 10% 증가할 때 냉방부하는 11.9% 증가하는 것으로 나타났으며, Ep, U, Vr값이 각각 10% 증가할 때 냉방부하는 각각 11.9%, 0.3%, 1.6% 감소하는 것으로 나타났다. ΔT값이 -3°C인 경우 Fig. 4(c)에서 보는 바와 같이 τIs, U, Vr값이 각각 10% 증가할 때 냉방부하는 각각 6.8%, 0.5%, 2.7% 증가하는 것으로 나타났으며, Ep값이 10% 증가할 때 냉방부하는 6.8% 감소하는 것으 로 나타났다.
냉방부하를 산정할 때 실내 목표온도를 어떻게 설정하 느냐에 따라서 설계 변수들의 영향은 크게 달라지는 것 으로 나타났다. ΔT값이 낮아질수록 τIs와 Ep값에 따른 냉방부하의 변화율은 감소하는 것으로 나타났으나, 다른 설계 변수들에 대한 상대값은 훨씬 큰 것을 알 수 있으 며 이는 ΔT값이 낮을수록 설계 변수의 선택에 신중해야 함을 의미한다. 특히, 실내 목표온도를 외기온 보다 낮 게 설정하여 Δ값이 음수(-)로 되는 경우에는 U, Vr값이 냉방부하를 증가시키는 방향으로 바뀌므로 더욱 주의해 야 한다.
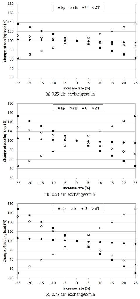
자연환기 온실의 경우 냉방부하를 산정할 때 설계 변 수 중에 환기율은 정확한 값을 알기 어렵다. 온실의 형 태별로 개략적인 자연 환기율은 알 수 있지만 변동이 심하므로 증발냉각시스템의 설계에서는 환기율의 변화에 따른 실내온도 상승을 예측하는 가습환기 그래프를 작성 하여 목표온도와 필요 환기율을 결정하는 경우가 많다 (NAAS, 2015). 따라서 자연환기 조건을 고려하여 Vr값 을 몇 가지로 고정시키고 시뮬레이션을 수행하였다. Fig. 5는 Vr값을 0.25, 0.5, 0.75회/min로 하였을 때 다른 설 계 변수들의 증가율에 따른 냉방부하의 변화를 나타낸 것이다.
Vr값이 0.25회/min인 경우 Fig. 5(a)에서 보는 바와 같 이 τIs값이 10% 증가할 때 냉방부하는 14.6% 증가하는 것으로 나타났으며, Ep, U, ΔT값이 각각 10% 증가할 때 냉방부하는 각각 14.6%, 1.3%, 4.6% 감소하는 것으 로 나타났다. Vr값이 0.5회/min인 경우 Fig. 5(b)에서 보 는 바와 같이 τIs값이 10% 증가할 때 냉방부하는 21.5% 증가하는 것으로 나타났으며, Ep, U, ΔT값이 각 각 10% 증가할 때 냉방부하는 각각 21.5%, 1.9%, 11.5% 감소하는 것으로 나타났다. Vr값이 0.75회/min인 경우 Fig. 5(c)에서 보는 바와 같이 τIs값이 10% 증가할 때 냉방부하는 41.3% 증가하는 것으로 나타났으며, Ep, U, ΔT값이 각각 10% 증가할 때 냉방부하는 각각 41.3%, 3.7%, 31.3% 감소하는 것으로 나타났다.
냉방부하를 산정할 때 환기율을 어떻게 설정하느냐에 따라서 설계 변수들의 영향은 크게 달라지는 것으로 나 타났다. Vr값이 커질수록 τIs와 Ep값에 따른 냉방부하 의 변화율이 크게 증가하는 것으로 나타났으나, 다른 설계 변수들에 대한 상대값은 작아지는 것으로 나타났 다. 이는 Vr값이 낮을수록 설계 변수 중 τIs와 Ep값의 선택에 주의해야 하고, Vr값이 높을수록 ΔT값의 선택 에 신중을 기해야 함을 의미한다. 한편, 모든 경우에서 냉방부하에 미치는 U값의 영향은 크지 않은 것으로 판 단되었다.











