서 론
재료 및 방법
1. 연동온실의 환기창 실태 조사
2. 환기창 형태에 따른 온실의 모델링
3. 수치해석 모델 및 방법
결과 및 고찰
1. 연동온실의 환기창 실태 조사
2. 연동온실의 환기창 형태에 따른 자연환기 효과 분석
서 론
국내 원예시설 면적은 2017년 기준으로 54,631ha이며, 이 중 시설채소 단동 온실 면적은 2012 40,788ha에서 2017 44,527ha로 약 8% 증가하였고, 연동 온실의 면적은 2012 5,227ha에서 2017 6,365ha로 약 18% 증가하였다. 연동 온실 면적의 증가 비율은 단동 온실 면적의 증가비율 대비 약 2배 이상으로 증가한 것으로 나타났으며, 이는 국내 시설 온실이 점차 대면적화 및 대규모화되고 있는 것으로 볼 수 있다(MAFRA, 2018). 또한, 최근 지구온난화로 인한 급격한 기온상승 및 폭염, 이상고온 등과 같은 기후변화가 가속화됨에 따라 시설 재배 농가들이 많은 어려움을 겪고 있다. 특히 여름철과 같이 온도와 일사량이 높은 계절에는 고온장해 등으로 온실 내 작물의 생장에 피해를 줄 수 있으며, 이는 생산량 저하 및 농가 소득 저하로 이어질 수 있다(Lee 등, 2017). 이와 같은 고온 피해를 줄이기 위한 냉방 방법으로는 물이 증발되는데 필요한 잠열량 만큼 공기를 냉각시켜 온실의 실내 온도를 낮추는 증발냉각법이 있으나 설치비용이 고가이며 냉방 필요기간 대비 설비투자 효과가 낮은 단점이 있어 실질적인 농가 설치에 어려움이 있다(Nam 등, 2013). 가장 경제적인 고온극복 방법으로는 자연환기를 극대화시켜 온실 내 뜨거운 공기를 외부공기로 치환하여 온실 내 온도 상승을 억제하고 온도 및 유해가스 농도를 조절함으로써 충분한 환기가 이루어질 수 있도록 하는 것이다(Sethi 등, 2007). 여름철 온실에서 에너지 투입율을 최소화하여 작물을 재배하기 위한 방법 중 하나로 온실 및 환기창 구조를 개선하여 자연환기 효율을 높일 수 있는 다양한 환기창을 가진 온실이 증가하고 있는 추세이다(Yu 등, 2012; Nam 등, 2013).
최근 열유동 해석용 상용수치해석 코드의 신뢰성이 높아지면서 전산유체역학(Computational fluid dynamic. CFD)을 통해 다양한 형태의 농업시설의 열유동 해석이 수행되고 있다. Mistriotis 등(1997)이 상용CFD 코드를 이용하여 온실의 자연환기효율을 분석한 이래, 자연환기와 온실구조 및 온실내외부 열유동장의 분석에 많이 이용되어 왔으며(Al-helal, 1998; Al-arifi, 1999; Kwon 등, 2011; Davide 등, 2012)), 최근에도 단동온실의 천창 유무와 형태에 따른 자연환기효율을 분석하고(Teitel 등, 2014; Song 등, 2017; Rasheed 등, 2019)) 연동온실의 실내환경 조절을 위한 환기창 구성 및 환기 방법에 대한 연구도 수행된바 있다(Bartzanas 등, 2004; Hong 등, 2008). 이처럼 비닐하우스나 유리온실 등 농업시설 내의 구조나 환기구의 변경을 통해 시설 내 최적 환경을 조성하는 조건을 구명할 목적으로 CFD를 활용한 연구가 활발하게 이루어지고 있다.
본 연구에서는 국내 연동온실의 규격 및 환기창 형태를 조사하고, 이를 바탕으로 천창 형태에 따른 자연환기 특성을 상용 CFD코드(FLUENT 19 R2, ANSYS, USA)를 이용한 수치해석을 수행하여 분석하고자 하였다.
재료 및 방법
1. 연동온실의 환기창 실태 조사
본 연구에서는 연동온실의 환기창 형태가 자연환기 효율에 미치는 영향을 분석하기 위한 기초자료를 수집하기 위하여 연동 온실 규격 및 환기창 형태에 대하여 실태 조사를 수행하였다.
연구조사대상지는 국내 원예시설 분포현황에 따라(MAFRA, 2016) 현대화된 연동형 비닐온실 면적이 넓은 지역을 중심으로 경상남도 진주시(Gyeongsangnam-do Jinju, JJ), 부산광역시(Busan, BS), 경기도 고양시(Gyeonggi-do Goyang, GY) 지역의 시설원예단지를 대상으로 하였다. 조사 연동 비닐하우스는 원예특작시설 내재해형 규격 설계도·시방서의 내재해형 연동비닐하우스 5개의 규격 중 많이 보급되어있는 07-연동-1/1-2W형(07-multi-1/1-2W roll up), 10-연동-1/1-2W형 권취식 천창개폐(10-multi-1/1-2W roll up), 10-연동-2/1-2W형 랙피니언식 천창개폐(10-multi-2/1-2W rack and pinion) 규격을 대상으로 조사하였다. 내재해형 비닐하우스 규격 중 조사대상에서 제외한 08-연동-1/2스팬 벤로형과 12-연동-1/1-2W형 규격은 대상온실의 개수가 적고 시공 자재의 생산이 중단되어 더 이상 보급되지 않는 것으로 조사되어 제외하였다.
대상 농가 선정 및 조사는 각 지역의 농업기술센터를 통해 사전자료를 얻고 현장 방문 후, 설문, 면담 및 현장실측을 통하여 이루어졌다. 조사농가는 Fig. 1과 Table 1의 각 지역 및 규격별 3농가를 대상으로 경기도 고양시 10농가, 경상남도 진주시 9농가, 부산광역시 9농가로서 총 28개 농가이다. 고양시의 10-연동-2/1-2W형 랙피니언식 천창개폐의 경우, 시설의 노후화 등의 사유로 천창을 교체하여 랙피니언식 천창 1농가, 몽골식 천창 3농가 총 4농가에 대하여 조사하였다. 조사항목은 시설물의 폭, 길이, 측고, 동고, 천창 형태, 천창의 유무 및 크기, 환기장치 설치 현황 등을 조사하였다. 온실 현황 및 실태 조사는 2018년 4월부터 2019년 4월까지 총 12개월 동안 수행하였다.
Table 1. The number and location surveyed greenhouse.
2. 환기창 형태에 따른 온실의 모델링
본 연구에서는 내재해형 연동 비닐하우스 1-2W형 10-연동-1 규격(폭 8m, 측고 5.4m, 높이 7.4m)을 기준 모델로 선정하여 시설원예단지의 실태조사를 통해 조사된 환기창을 중심으로 권취식, 랙피니언식, 외몽골식, 몽골식의 4가지 환기형태의 천창에 대하여 온실 모델링을 실시하였다. Fig. 2와 Fig. 3은 환기창 형태에 따른 모델별 2차원 형상 특성 및 계산 격자를 나타낸 것이다. 온실 환기창의 경우에는 별도의 크기 기준이 정해져 있지 않아 원예특작시설 내재해형 규격 설계도에 제시되어 있는 크기인 1m로 설정하여 모델링하였다.
3. 수치해석 모델 및 방법
내재해형 온실 내외부의 공기유동은 비압축성의 정상상태, 2차원의 난류 유동으로 가정하였으며, 열전달은 복사를 고려하였다. 난류 유동상태는 보다 사실적으로 모의가능하고 많이 사용되고 있는 realizable k-Ɛ 모델을 적용하였으며, 온실의 바닥면과 피복면 근처의 유동장은 standard wall functions 함수 모델을 적용하였다. 투명한 온실 피복재에 대한 투과 효과를 고려하여 복사모델은 DO모델을 적용하여 해석을 수행하였다. 수치해석을 위한 경계조건 및 재료의 물성치는 Table 2에 나타내었으며 토양 및 비닐의 비열, 밀도, 열전도계수 등은 일반적인 건축물에 적용되는 값을 이용하였다(Bergman 등, 2012).
Table 2. Boundary conditions and physical properties for CFD simulations.
결과 및 고찰
1. 연동온실의 환기창 실태 조사
1.1 연동온실의 규격 및 환기창 현황 분석
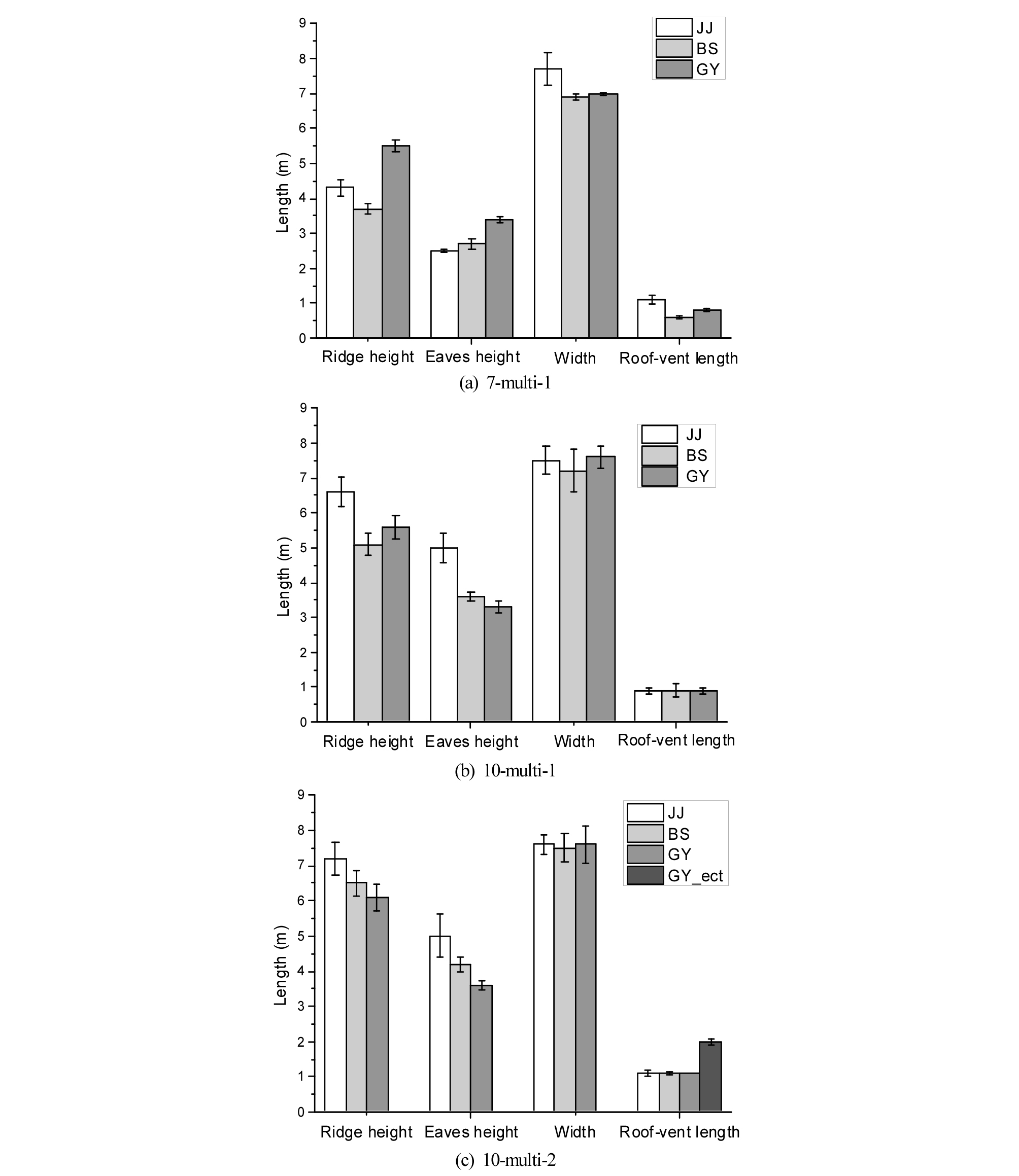
조사대상지의 1-2W 연동온실의 규격 및 환기창 형태 조사결과는 Fig. 4와 같다. 내재해형 온실 규격 07-연동-1 모델의 경우, 온실의 동고는 고양시가 5.5m, 진주시 4.3m, 부산시3.7m 순으로 나타났으며, 측고는 고양시 3.4m, 부산시 2.7m, 진주시 2.5m로 동고와 측고 모두 고양시가 가장 크게 나타났다. 온실의 폭은 진주시가 7.7m 로 가장 크게 조사되었으며 고양시 7m, 진주시 6.9m로 비슷하게 조사되었다. 천창 폭의 경우는 진주시 1.1m, 고양시 0.8m, 부산시 0.6m 순으로 조사되었으며 부산시는 바람이 많이 부는 기상조건의 영향으로 다른 곳에 비해 작은 것으로 판단된다.
내재해형 온실 규격 10-연동-1의 권취식 천창을 가진 모델의 경우, 온실의 동고는 진주시 6.6m, 고양시 5.6m, 부산시 5.1m로 조사되었고, 측고는 진주시 5m, 부산시 3.6m, 고양시 3.3m 순으로 조사되었다. 온실의 폭은 고양시 7.6m, 진주시 7.5m, 부산시 7.2m 로 비슷하게 조사되었으며, 내재해형 온실의 규격보다는 약간 작게 조사되었으며 이는 농가의 온실규모에 맞추어 설계시공을 하였기 때문으로 판단된다. 온실의 천창 폭은 세지역 모두 0.9m로 동일하게 조사되었다.
고양시 시설원예단지의 내재해형 온실 규격 10-연동-2 모델의 경우, 시설의 노후화 및 구조변경을 위해 처음 분양 당시의 천창을 외몽골식 천창으로 변경 시공한 것으로 나타나 10-연동-2 의 랙피니언식 모델의 경우에는 외몽골식 천창을 포함하여 4농가에 대하여 조사하였다.
내재해형 온실 규격 10-연동-2의 랙피니언식과 외몽골식 천창을 가진 모델의 경우에는 온실의 동고는 진주시 7.2m, 부산시 6.5m, 고양시 6.1m 로 조사되었고, 측고는 진주시 5m, 부산시 4.2m, 고양시 3.6m 순으로 조사되었다. 온실의 폭은 고양시 7.6m, 진주시 7.6m, 부산시 7.5m로 세지역 모두 비슷하게 조사되었다. 진주시, 부산시, 고양시 세지역의 랙피니언식 천창의 크기는 모두 1.1m로 조사되었으며 고양시의 외몽골식 천창은 2m로 상대적으로 크게 조사되었다.
1.2 연동온실의 적정 환기창 면적 분석
일반적으로 자연환기의 경우에 시설 표면적 대비 환기창의 면적 비율은 15% 정도가 적당하며(Lee 등, 2004) 조사농가의 시설표면적 대비 환기창 면적 비율을 분석하였다. 조사된 연동 비닐온실의 시설 표면적 대비 환기창 면적 비율은 10-연동-1, 10-연동-2가 10%, 07-연동-1이 9%로 세 규격 모두 비슷하게 나타났으며 지역에 따른 차이는 크게 없었으나 부산의 경우에는 바람이 많이 부는 기상조건으로 인해 다른 지역보다 다소 작은 비율을 나타냈다. 전체 조사농가의 환기창면적 비율은 평균 10%로 적정 비율인 15%에 미치지 못하므로 자연환기를 위한 시설면적 대비 환기창 면적설계가 부적절한 것으로 판단된다. 효율적인 자연환기가 이루어지기 위해서는 온실 설계 시 환기창의 면적 비율을 고려하여 환기창 형태 등을 선정하거나 기존 온실의 경우에는 환기창의 개선이 필요할 것으로 판단된다.
2. 연동온실의 환기창 형태에 따른 자연환기 효과 분석
2.1 유속분포
Fig. 5는 풍속이 2m/s 일 경우, 1-2W 비닐하우스 10-연동-1, 2규격의 천창형태에 따른 유속 분포를 온실 중심을 기준으로 동쪽에서 서쪽 평면으로 비교하여 나타낸 것이다. 권취식 천창의 경우에는 대부분의 기류가 온실의 하류를 통해 유입되면서 온실 내 상부를 지나 하부로 이동하여 온실 상류와 중류의 천창을 통해 유출된다. 이로 인해 온실 내부에서는 시계방향으로 선회류가 형성되는 것으로 나타났다. 랙피니언식 천창의 경우에는 다른 형태의 천창에서의 유입속도 보다 빠른 속도로 외기의 대부분이 온실 상류천장을 통해 유입되어 온실 상류에서 선회류가 형성되면서 온실 상류로 빠져나가고 일부는 중, 하류로 이동하면서 반시계방향의 기류가 형성되어 온실의 중, 하류 천창을 통해 빠져나가는 것으로 나타났다. 외몽골식 천창의 경우에는 온실의 하류 천창을 통해 대부분의 기류가 유입되어 온실 하류에서 시계방향의 선회류가 형성되고 일부 기류는 온실 하부를 통해 온실 상류로 이동하면서 시계방향의 기류를 형성하여 온실의 상류 천창을 통해 유출되는 것으로 나타났다. 몽골식 천창은 외몽골식 천창과 유사한 형태로 온실의 하류 천창을 통해 대부분의 기류가 유입되어 온실의 하류에서 시계방향의 선회류가 형성되었고, 온실 하류에서 유입된 일부 기류와 온실 중류를 통해 유입된 일부 기류는 온실 하부를 이동하여 상류쪽으로 이동하면서 온실의 상류 천창을 통해 빠져나오는 것으로 나타났다. 환기창 형태에 따라 온실 높이 방향으로 유속 특성을 분석한 결과, 권취식 천창, 외몽골식 천창, 몽골식 천창에서는 유속 변화 폭이 비슷하게 나타났으며 랙피니언식 천창의 유속 변화 폭이 가장 크게 나타났다.
2.2 온도분포
Fig. 6은 외기온도 30°C, 풍속 2m/s 일 때의 천창 형태에 따른 각 모델의 온도 분포를 온실 중심을 기준으로 동쪽에서 서쪽 평면에 대하여 나타내었다. 권취식 천창의 경우 온실의 하류를 통해 외부 공기가 유입되면서 공기 유동이 일어나면서 온실의 상류보다 하류의 온도가 더 낮게 나타났으며, 랙피니언식 천창의 경우에는 온실 상류를 통해 유입된 공기로 인해 유동이 일어나면서 온실 중류의 온도가 가장 낮게 분포되는 것으로 나타났다. 외몽골식 천창의 경우에는 온실의 하류에서 공기가 유입되면서 온실 중류 상부 부분의 온도가 가장 낮게 나타났으며, 몽골식 천창의 경우 온실의 하류에서의 공기유입으로 인해 온실 중류에서 온도가 낮게 분포되는 것으로 나타났다.
Table 3은 천창 형태별 비닐하우스 내부의 작물높이인 1.2m 높이에서의 온도 값을 나타낸 것이다. 내부 작물 높이의 온도분포는 몽골식 천창이 가장 낮은 온도 값을 나타났으며, 그 다음으로는 랙피니언식 천창, 권취식 천창, 외몽골식 천창 순으로 나타났다.
Table 3. Inside air temperature of the greenhouse at 1.2 height.
| Type | Air temperature (°C) |
| (a) Roll up | 32.3 |
| (b) Rack and pinion | 32.0 |
| (a) Half conical | 34.0 |
| (a) Conical | 31.7 |








