서 론
배추의 2015년도 재배면적, 생산량 및 단수는 각각 약 26,000ha, 2,060천 톤, 7,170kg/10a이며, 생산액은 6,639 억 원이었다(MAF, 2016). 그리고 배추의 종자 생산량과 연간 매출액은 각각 118톤과 174억 원으로, 배추는 종 자매출에서도 주요한 작물이다(KOSA, 2015). 저온 채소 인 배추는 생육적온보다 높은 고온에서는 생육 및 품질 저하와 생산량이 감소된다(Lee et al., 2011; Lee et al., 2012; Oh et al., 2014). 여름철 평지에서는 고온으로 인 하여 토양의 증발산량이 증가하며, 이로 인한 배추의 생 리장해와 병해충이 발생하기 때문에 주로 고랭지 지역에 서 이 시기에는 배추가 생산된다. 그러나 최근 고랭지 지역에 기후변화로 인한 이상기상(폭염, 가뭄 및 집중 호 우)에 따라 가을배추의 가격 변화에도 영향을 받고 있다 (Hwang et al., 2003). 기후변화 시나리오(대표농도변화경 로)에 따르면, 100년 후 지구의 기온은 현재보다 6°C가 증가하고 대기 중 이산화탄소농도는 940mmol·mol-1이 될 것이며, 강수량도 현재보다 20% 증가될 것이다. 이 조 건에서 배추는 속 썩음 증상이 심하게 발생하여 정상적 인 결구를 할 수 없었고, 광합성과 카르복실화 효율도 크게 떨어지는 것을 확인하였다(Lee et al., 2016). 배추 는 수분함량이 많은 채소로서 토양 다습조건은 무름 증 상 피해를 더욱 심하게 발생시키는 것으로 알려져 있다 (Lee et al., 2016). 한편 건조 스트레스에 의한 연구는 양배추와 유채 등의 배추과에서 수행되었고, 토양수분 함량 감소로 인한 배추과 채소의 생리적 피해 양상과 내건성 기작이 연구되었다(Hajiboland and Amirazad, 2010; Hashem et al., 1998). 재배 기간 중 가뭄이 2주 지속되면 배추 잎의 엽육 조직이 붕괴되는 등 피해를 주며, 4주 이상 가뭄이 지속되면 충분히 관수한 처리구 생산량의 34%에 불과할 정도로 정상적인 배추 생산이 불가하다고 보고되었다(Lee et al., 2015).
그러나 최근 이상기상의 경향을 살펴보면, 정식 후 단 기간의 가뭄 또는 고온 현상 등이 빈번히 발생되며 이 에 대한 연구결과들이 미미한 실정이다. 또한, 최근 외 부 기상(가뭄)과 무관하게 비가림 형태의 시설에서 배추 를 생산하는 재배형태가 도입되고 있어 시설 내에서 관 수 개시점 및 최적 관수량 설정을 위한 연구도 필요하 다. 본 연구의 목적은 정식 후 토양의 수분 함량에 따른 배추의 생장, 광합성 및 기공전도도에 미치는 영향을 구 명하고, 토양 수분에 따른 배추의 생리 반응 모델 개발 을 위한 유효 매개변수를 찾기 위함이다.
재료 및 방법
‘춘광’ 배추(Sakada Seed Co., Japan)는 2016년 2월 15일에 파종하였고, 발아 후에는 1주씩 남기고 솎아 주 었으며, 국립원예특작과학원 유리온실(전북 완주군)에서 육묘하였다. 파종 후 36일에 2.2L 용량의 플라스틱 포트 (1/5,000a Wagner pot, Kenis, Japan)에 처리당 4개체씩 총 20개의 배추를 각각 정식하였고, 인공기상환경제어 모듈(EWGC; Modified CEEWS model, Environmental Growth Chambers, Chagrin Falls, OH, USA)의 환경조건 은 전주지역의 3년 기간 동안의 평균 기온, 상대 습도, 일사량 및 강수량을 적용하였다. 2013, 2014 및 2015년 의 3월21일부터 4월13일까지 전주기상청의 기상데이터( 기온, 상대습도와 일사량)들을 1시간 단위로 평균하여 이를 인공기상환경제어 모듈의 환경 제어 설정 값들로 프로파일하여 적용하였다. 단, 정식 후 7일 간은 주/야간 기온을 25/18°C로 설정하고 광량은 500μmol·m-2·s-1로 일 장은 14h/d로 설정하였다. 그리고 전주 기상청 데이터의 적산 강수량(2013, 2014 및 2015년의 3월과 4월 평균) 을 참고하여 실험기간 동안 총 3회에 걸쳐 1회당 약 10mL/min로 15분간 인공강우가 내리도록 설정하였다. 본 강우량은 관수 실험 결과에 영향을 미치는 수준은 아니며, 그 회수도 3회로 인공 강우에 의한 실험의 오차 는 없을 것으로 사료된다. 실험 기간 동안의 기온, 상대 습도, 일사량 데이터는 인공기상환경제어 모듈에 설치된 시스템(SIMATIC WinCC Runtime Advanced V13 SP1, Siemens, Munich, Germany)에 10분 간격으로 저장되었 고, 정식 후 일수에 따른 일 평균 기온, 상대습도, 수증 기압 포차 및 일적산 일사량을 Fig. 1에 나타내었다. 관 수량은 5개 처리 수준으로 각각 0, 200, 300, 400 및 500mL/d/plant로 매일 오전(9~10시)에 관수하였다. 관수 량 처리 개시 후 약 30일간 6일 간격으로 총 5회 토양 수분 함량과 배추 잎의 기공 확산 전도도를 측정하였다. 토양수분 함량은 frequency domain reflectometry 타입의 센서(10TM, Decagon devices, Inc., Pullman, WA, USA)와 측정기(Procheck, Decagon devices, Inc., Pullman, WA, USA)를 활용하여 각각의 포트에서 임의 의 3점을 지정하여 10cm 깊이로 측정하여 평균값으로 결과를 제시하였고(Fig. 2), 배추의 외엽(3-5째 잎)의 기 공 확산 전도도를 관수 1시간 후에 leaf porometer(SC- 1, Decagon devices, Inc., Pullman, WA, USA)를 사용 하여 측정하였다.
광합성기구의 활성을 알아보고자 500mL/d/plant와 토 양수분 결핍 처리구(0mL/d/plant)에서 정식 후 25일에 광합성 측정기(Li-6400, LI-COR Co., Inc., Lincoln, NE, USA)를 사용하여 이산화탄소 포화 곡선을 작성하였다. 광합성 속도는 측정기 잎챔버 내부 기온 25°C, 상대습도 70~80%, 광량 500μmol·m-2·s-1 및 공기 유속 300mol·s-1 로 유지하였으며, 이산화탄소 농도는 50~1,500μmol·mol-1 으로 변화해 가면서 측정하였다. 이산화탄소포화곡선의 실측 값으로 광합성 기구의 생화학적 모델들(수식 1~4, Sharkey et al., 2007)을 활용하여 카르복실화 속도, 전자 전달계 효율, 삼인산화율 및 호흡율을 계산하였다.(1)(2)(3)(4)
여기서 A, Ac, Aj, Ap : A (net CO2 assimilation rate), Ac (Rubisco), Aj (RuBp regeneration), Ap (triose phosphate utilization), Vmax : maximum rate of Rubisco carboxylation (mmol·m-2·s-1), Ci : intercellular CO2 concentration (μmol·mol-1), Rd : respiration rate (μmol·m-2·s-1), τ* : CO2 compensation point in the absence of Rd (μmol·mol-1), Kc and Ko : Michaelis- Menten constants of Rubisco for CO2 and O2 (μmol·mol-1), O : oxygen partial pressure (μmol·mol-1), J : electron transport rate (μmol·mol-1), TPU : triose phosphate utilization rate (μmol·m-2·s-1)이다.
그리고 배추의 생장은 정식 후 38일에 지상부 및 지 하부의 생체중과 건물중, 최대 엽장과 엽폭, 엽수 및 엽 면적(LI-3100, LI-COR Co., Inc., Lincoln, NE, USA)을 조사하였고(단, 관수량 처리구 0과 200mL/d/plant는 위 조로 정식 후 29일에 생장 조사), 엽면적 결과를 이용하 여 엽면적 지수를 계산하였다. 생장조사에 대한 결과는 관수량에 따라 분산분석을 하였고, 평균간의 유의차 검 정은 p<0.05에서 Duncan 검정을 수행하였다. 또한 토양 수분 함량과 엽면적 지수와 뿌리의 건물중과의 상관관계 를 분석하였다.
결과 및 고찰
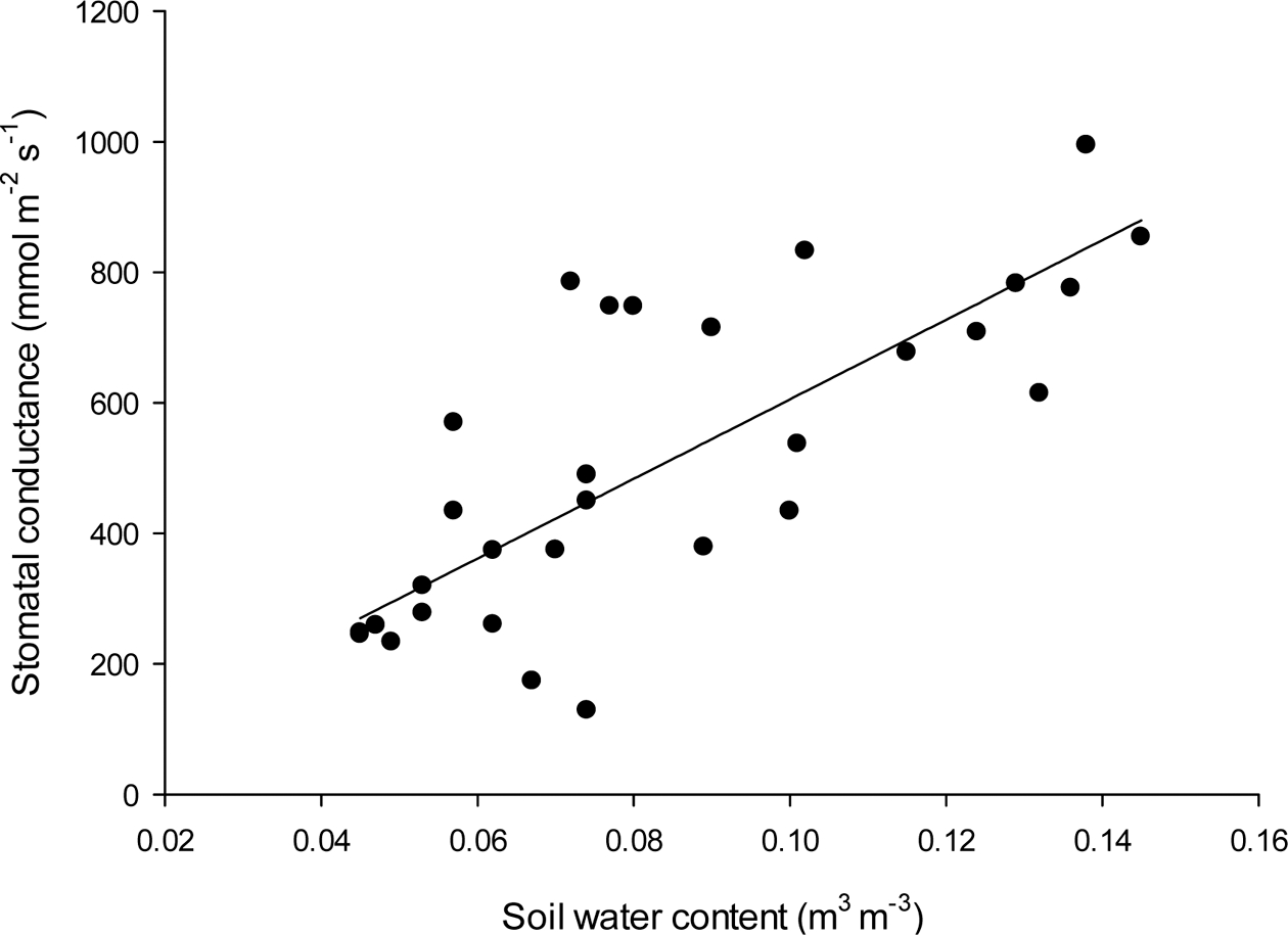
토양수분과 배추의 기공전도도는 상관관계가 매우 높 았으며(r2=0.999), 직선의 정의 상관관계로 y = 6097.4x − 4.2984였다(Fig. 3.). 토양의 수분함량이 0.05m3/m3 미만 에서 기공전도도가 300mmol·m-2·s-1로 낮았으며, 토양의 수분함량이 0.15m3/m3로 유지되면 기공전도도가 880mmol·m-2·s-1으로 토양수분이 결핍된 처리구보다 약 3배 높았다. 토양수분이 부족하게 되면 배추의 기공전도 도는 급격히 떨어지며, 이로 인한 광합성 및 증산 부족 에 의한 생리장해(칼슘결핍 증상)가 발생하고 결구하기 위한 동화 산물 축적 및 분배량도 줄어들었다(Lee et al., 2015, Son et al., 2015). 그리고 광합성 측정의 결과 도 유사하게 토양수분 부족으로 배추의 기공을 닫고 이 로 인하여 세포 내 이산화탄소가 확산되어 들어가지 않 는 것을 확인하였다(Fig. 4A). 충분히 관수(500mL/d/ plant)된 배추의 이산화탄소 포화 곡선은 최대 순 광합성 속도가 약 23μmol·m-2·s-1인 정상 곡선이었으며, 이산화 탄소 포화점과 보상점은 각각 805.6과 60.7μmol·mol-1였 다(Fig. 4A). 지난 연구 결과(Lee et al., 2016)에서 배추 의 이산화탄소 보상점 값과 본 연구결과의 500mL/d/ plant 처리구의 배추 이산화탄소 보상점은 유사하였다. 그러나 토양 수분이 극도로 결핍(0/mL/d/plant)된 배추는 체내로 이산화탄소가 확산되지 않아 최대 세포 내 이산 화탄소 농도가 약 700μmol·mol-1이었으며, 최대 광합성 속도도 약 6.5μmol·m-2·s-1 미만으로 500mL/d/plant 처리 구 배추보다 약 3.5배 낮았고, 이산화탄소 포화점과 보 상점은 각각 537.2와 123.3μmol·mol-1였다. 작물은 수분 스트레스를 받게 되면 이산화탄소 보상점이 높아지는데 (Janoudi et al., 1993) 본 연구결과와 일치하였다. 광합 성 기구의 생화학적 모델들을 활용하여 충분히 관수된 배추의 광합성 효율들을 계산하였고, 이때 배추의 최대 카르복실화 속도(Vmax), 전자전달계 효율(J), 삼인산화율 (TPU) 및 미토콘드리아의 광호흡율(Rd)은 각각 75.0, 118.0, 8.3 및 2.8μmol·m-2·s-1였으나(Fig. 4B), 수분 결핍 처리구에서는 세포 내 이산화탄소 농도가 극도로 제한을 받아 정상적인 이산화탄소 포화곡선을 작성할 수 없었으 므로 생화학적 반응에 대한 변수들을 계산할 수 없었다. 토양의 수분이 부족하면 잎의 수분포텐셜은 극도로 낮아 져 기공을 닫게 되며, 세포 내로 이산화탄소가 정상적으 로 공급되지 못하여 C3회로가 기능을 하지 못하는 것으 로 알려져 있다(Oh et al., 2014; Oh et al., 2015). 봄철 배추 재배에서 최대 외엽의 광합성 효율과 관계된 요인 들(Vmax, J, TPU)의 값은 본 실험에서 충분히 관수된 배 추의 결과와 유사하였으나 Rd의 값은 다소 높은 경향이 었다. Rd값의 계산은 최대 순광합성 속도, Rubisco 활성 도, RuBp regeneration 속도, TPU 속도와의 관계식으로 되어 있는데, 본 연구결과에서 Rd 값이 다소 높았던 것 은 비교된 기존 문헌(Lee et al., 2016)보다 최대 순 광 합성 속도가 약 10%정도 낮았기 때문이었다. 배추 정식 후 초기에 가뭄과 토양 건조로 인한 토양의 수분이 결 핍되면, 광합성 속도 및 생화학적 반응의 활성이 극도로 낮아지므로 정식 후 생육 초기에 밭의 물 관리가 매우 중요하다고 할 것이다.
정식 후 초기(약 40일, 결구태세기)의 관수량은 생장, 광합성 및 기공전도도에 크게 영향을 미치므로 생육 모 델을 개발하는데 있어서도 생육상의 단계를 구분하여 데 이터를 분석하는 것이 일반적인 접근 방법이다. 또한 농 가에서는 정식 후 초기 토양의 수분 관리가 배추의 생 산량과 밀접한 관련이 있으며, 정식 후 초기의 관수 계 획을 결정하는데 본 연구결과를 활용할 수 있기 때문에 본 연구에서는 우선적으로 정식 후 초기 단계에서의 결 과를 도출하였다. 정식 후 초기 생육 기간 동안 관수량 에 따라 생장에는 유의한 차이가 있었고(Table 1), 500mL/d/plant 처리구에서 지상부 생체중 및 건물중은 각각 84.0과 11.5g/plant로 처리구들 중 가장 무거웠다. 그리고 충분히 관수된 처리구(500mL/d/plant)에 비하여 토양 수분이 결핍된 처리구(0mL/d/plant)에서 약 6.8배 이상 지상부의 건물 생산량이 감소하였다. 토양 수분이 결핍된 처리구의 엽수는 10매/plant였으나, 300~500mL/ d/plant 처리구에서는 엽수가 약 20매 이상으로 전개가 되었고, 엽면적은 충분히 관수된 처리구에서 1,223.8cm2/ plant로 처리구 중 가장 넓었다. 지하부의 생장 또한 지 상부와 유사한 결과였으며, 특히 뿌리의 건물중은 토양 수분 함량 수준에 따라 명확한 유의차를 보였다. 작물의 생장과 수분은 밀접한 관계를 가지고 있는데, 배추과 채 소(양배추)에서 토양 수분 결핍은 생장 지연, 구형성과 비대를 저해했다고 보고하였다(Smittle, 1994). Kim et al.(2015)은 배추의 구중 예측회귀식을 보정하기 위하여 토양 수분 함량과 잎 생장속도와의 관계를 구명하였는데, 토양수분의 유효수분 함량이 25%로 유지되면 토양수분 이 결핍된 곳(토양수분 함량 10%)보다 잎 생장속도가 2~3배 빠르다고 보고하였다. 반면에 Lee et al. (2015)의 보고에 따르면, 배추는 관행 재배의 생산량에 대비하여 가뭄 시 생산량이 34%정도이므로 배추 밭에서 물 관리 가 생산량에 있어서는 무엇보다도 중요한 요인이라고 강 조하였다. 엽면적 지수를 토양의 수분 함량과 상관 관계 를 분석한 결과, 로그함수적(y = 16.573 + 3.398 ln x)으로 결정 계수(r2=0.913)가 높게 상관이 되었다(Fig. 5A).
Table 1. Growthz of Kimchi cabbage as affected by irrigation amount at 38 days after transplanting.
| Irrigation amount (mL/d/plant) | Shoot (g/plant) | Maximum leaf (mm/plant) | No. of leaves (/plant) | Leaf area (cm2/plant) | Leaf area index | Root (g/plant) | |||
|---|---|---|---|---|---|---|---|---|---|
| FW | DW | Width | Length | FW | DW | ||||
| 0 | 15.2dy | 1.7c | 11.9c | 8.3c | 10.0c | 369.3c | 3.3c | 2.2c | 0.5c |
| 200 | 33.0c | 4.3c | 14.5b | 10.9b | 15.3b | 812.7b | 7.2b | 2.7c | 0.6c |
| 300 | 60.4bc | 7.8b | 15.0b | 11.3ab | 19.8ab | 846.8b | 7.5b | 4.5b | 1.0b |
| 400 | 77.7ab | 9.6ab | 17.7a | 13.0a | 20.8a | 952.5ab | 8.4ab | 5.5ab | 1.3ab |
| 500 | 84.0a | 11.5a | 17.6a | 12.5ab | 23.8a | 1223.8a | 10.8a | 6.0a | 1.4a |
그리고 뿌리의 건물중과 토양수분함량과의 상관관계는 직선의 정의 상관(y = 0.433 + 6.267x)이었으며, 결정 계 수(r2=0.796)는 다소 낮았다(Fig. 5B). 400mL/d/plant와 500mL/d/plant 처리구의 뿌리 건물중이 각각 1.3 및 1.4g/plant로 유사하였고, 이로 인하여 토양의 수분 함량 과 뿌리 건물중의 직선의 회귀식에서 결정계수가 낮아지 는 결과를 얻었다. 환경요인은 생육구간 또는 생태적 특 성에 따라 작물의 생육에 미치는 영향이 다르게 나타날 수 있다(Park, 1988). 환경 요인 중 토양의 수분 함량은 배추과 작물에서 특히 민감한 것으로 알려져 있다(Kuo et al., 1988). 생육에는 배추의 수분 함량은 약 95%로, 체내 생체 대사뿐 아니라 중량의 변화에도 큰 영향을 미친다(HARI, 2000). 고랭지배추 재배기간 중 재배 지 의 토양수분 함량 범위는 대체로 10~27%였으며, 토양 수분 25%에서 잎 생장속도는 10%이하일 때보다 2~3배 빠르며, 토양수분이 부족한 경우 생장속도가 매우 지연 된 결과를 보고하였고(Kim et al., 2015), 이는 본 연구 결과와 유사하였다.
본 연구결과를 종합하면, 정식 후 초기 생장기의 토양 수분 결핍은 배추의 생장과 광합성 효율을 저해하였으며, 토양 수분 함량과 배추의 생장과의 생육 모델 개발에서 기공전도도와 엽면적 지수를 변수로 사용한다면 동적인 생장 변화를 예측할 수 있을 것으로 기대된다.







