서 론
온실의 역사는 피복재의 발달과 밀접한 연관을 가져 왔다(Takakura, 1993). 온실은 크게 유리 온실과 플라스 틱 온실로 구분되며, 설치의 간편함과 투자 대비 효율성 측면에서 플라스틱 온실이 널리 보급되고 있다. 일반적 으로 작물의 수량과 품질에 직접적으로 관련된 피복재의 광이용 효율은 매우 중요하기 때문에(Nicolas, 2013), 플 라스틱 온실의 기능성을 높이기 위해 1939년 염화비닐 (PVC) 필름의 적용을 시작으로 최근 PO계 필름까지 다 양한 필름이 적용되었다. 이는 피복재의 특성이 온실 내 의 미기상과 작물의 생산성 및 품질 향상에 밀접한 관 계가 있다는 것을 의미한다(Gruda, 2005).
태양광이 온실 피복재를 통과하면서 광학적 특성이 변 화되기 때문에(Vanninen 등, 2010), 최근 작물의 광이용 효율을 높이기 위한 광전환 필름에 대한 연구가 시도되 고 있다(Hemming 등, 2006; Nishimura 등, 2012). 광전 환 필름은 광합성 효율인 낮은 파장대의 에너지를 이용 하여 적색광과 같은 광합성 이용 효율이 높은 영역으로 광을 전환시키는 기능성 필름이다(Espi 등, 2006). 즉, 높은 에너지를 가지면서 낮은 광합성 효율의 파장 대의 광양자를 광전환재인 형광 물질에 조사하면 낮은 에너지 를 가지면서 광합성 효율이 높은 파장 대의 광양자로 방출하는 기능을 가진 필름을 지칭한다(Lamnatou and Chemisana, 2013). 광전환 필름은 일반 필름에 비해 광 이용 투과율이 현저히 높고, 동일 광 조건에서도 약 10% 전후로 생산성을 높일 수 있는 장점이 있다고 알려 져 있다(Hemming 등, 2006).
광전환 필름에 관한 기존 결과들을 살펴보면 Wilson and Rajapakse(2001a)는 태양광의 근적색광을 흡수하여 샐비어 초장을 조절하였고, Baille 등(2001)은 피복재에 석회를 산포하여 투광률을 낮추고 산란광을 증가시켜 고 온기 온실의 실내 온도를 내리고자 하였다. Nishmura 등(2012)은 광합성 효율이 낮은 녹색광을 적색광으로 전 환시켜 오이 재배에 적용하였다. 특히 자외선을 흡수하 여 청색광 또는 적색광으로 변환시키는 필름을 피복한 경우, 딸기의 수확량이 11% 향상되었고(Hemming 등, 2006), 목본성 과수인 복숭아의 경우는 신초 생장량이 증 가하였다고 보고되었다(Schettini and Vov, 2010). Tatineni 등(2000)과 Wilson and Rajapakse(2001b)는 원적색광 조절 필름을 적용하여 원예작물에 생장조절제 사용을 줄이고자 하였고, Papaioannou 등(2012)은 자외선 차단 필름을 토 마토 재배에 적용하여 해충 피해를 줄이고자 하였다. Lamnatou와 Chemisana(2013)는 광전환 필름에서 파장 전 환의 비효율성을 고려한다면 녹색을 적색으로 바꾸는 방 식보다 광합성 유효광이 아닌 자외선을 광합성 유효 파장 으로 바꾸는 광전환 필름이 바람직하다고 하였다.
이처럼 최근까지의 광전환 필름에 관한 연구는 광전환 필름의 광질 변화에만 집중되어 왔다. 즉, 다양한 광전 환 필름을 피복하여 투광률을 분석하고 선발하는 방식 (Pearson 등, 1995) 이외에는 광전환 필름의 광합성 유 효광량자속의 투광률을 높일 수 있는 방법은 거의 없었 다. 이에 본 연구는 입자 크기가 10μm 이상인 광전환재 와 최대 500nm의 나노 사이즈의 광전환재를 기반으로 하는 광전환 필름의 물리적, 광학적 특성을 비교하고, 온실 내 미기상 및 작물의 수량과 품질에 미치는 영향 을 분석하고자 수행하였다.
재료 및 방법
1. 광전환 필름의 제조 및 온실 피복 처리
자외선 광전환재는 전이금속 희토류 전이금속 이크륨 (원자번호 39)과 유로퓸(원자번호 63)의 복합물(Y2O2S + Eu2O2S)을 고열 합성법으로 제조하였고, 제조된 광전환 재는 자외선(370nm)을 받으면 붉은색(628nm, 710nm)과 청색(430nm) 파장으로 전환되는 특성을 갖고 있다(Fig. 1). 고열합성법을 이용해 입자 크기가 10μm 이상인 마 이크로 광전환재를 만들었고, 마이크로 광전환재를 11% 배합하여 마스터배치를 만들어 광전환 필름(이하, Micro 필름)을 제작하였다. 또한 마이크로 사이즈의 광전환재 를 마이크로웨이브 플라즈마 토치를 사용하여 500nm 이 하로 합성한 후, 마스터배치로 만들어 광전환 필름(이하, Nano 필름)을 제작하였다. 대조구로는 폴리에틸렌(PE) 필름을 사용하였고, 모든 필름의 두께는 0.06mm로 하였 다. KS M 3503(KATS, 2010)에 명시된 방법으로 광전 환 필름과 PE 필름의 초기 인장강도, 신장율, 인열강도 를 측정하였다. 작물 재배 실험을 위하여 국립원예특작 과학원 시설원예시험장의 동서동 2중피복 단동형 비닐 온실에 2종류의 광전환 필름과 PE 필름을 외부 피복재 로 사용하였다(측고 1.7m, 동고, 2.0m, 폭 10m, 길이 28m, 내피복재 PE 0.06mm).
2. 작물 재배
적축면 상추(Lactuca sativa L.)를 128공 트레이에 파 종하여 3주간 육묘를 하였고, 하우스 도태랑 토마토 (Lycopersicum esculentum Mill.)을 50공 트레이에 파종 하여 4주간 육묘하였다. 10a에 퇴비 2톤을 시비하였고, 2009년 1월 14일에 상추는 15×15cm 간격으로 한 이랑 에 5줄 정식하였고, 토마토는 한 이랑에 간격을 40cm로 2줄로 정식하였다. 온수 난방을 통하여 야간에 9°C 이상 으로 유지하였다. 토마토는 개화하면 토마토톤 50배 액 을 주두에 뿌려 착과 하였고, 실내 온도가 32°C가 넘으 면 측창 환기를 실시하였다.
3. 환경측정 및 생육 조사
광전환 필름이 피복된 온실에 맑은 날 2일 동안 분광 광도계와 일사계를 설치하여 2009년 2월8일부터 2월10 일까지 광질과 복사 광량을 조사하였다. 온실 내의 광량 은 일사계(SP200, Apogee, Logan, UT, USA)와 데이터 로거(CR-10X, Campbell, Logan, UT, USA)를 이용하여 한 시간 동안의 평균값으로 수집하였다. 파장별 분광 데 이터는 분광기(Li-1800, Li-Cor, Lincoln, NE, USA)를 이용해 측정하였다. 온실 내 온도와 지온은 온습도 측정 이 가능한 데이터로거(U12-013, Onset, Bourne, USA)와 지온센서(S-TMB-M002, Onset, Bourne, USA)를 이용해 기온은 지상 1m, 지온은 지하 10cm의 온도를 측정하여 한 시간 평균값을 저장하였다. 상추는 1-2주 간격으로 수 확하여 엽생체중, 엽건물중, 엽수, 엽면적, 뿌리 생체중을 측정하였고, 색차계(CR-300, Minolta, Tokyo, Japan)를 이 용하여 Hunter L, a, b값을 측정하였다. 토마토 생육은 정식 후 1개월후부터 초장, 엽생체중, 엽수, 엽면적 등을 조사하였다. 토마토는 과일 착색이 완전히 되면 수확을 시작하였고 1주 간격으로 과실 생체중을 측정하였다. 당 도는 굴절당도계(PAL-1, Atago, Tokyo, Japan)를 이용하 였고, 착색도는 색차계(CR-300, Minota, Osaka, Japan) 를 이용하였다. 통계분석은 SAS v9.0 (SAS Institute, Cary, NC, USA)의 LSD(Least Significant Difference) 검정으로 분석하였다.
결과 및 고찰
1. 광전환 필름의 물성 및 광학적 특성
Nano 필름과 Micro 필름의 인장강도, 인열강도, 신장 율은 기존의 PE 필름과 유사하였고, 인장강도 1,670N/ cm2 이상, 신장율 300% 이상, 인열강도 690 N/cm 이상 이라는 KS M 3503 기준(KATS, 2010)을 만족하였다 (Table 1).
Table 1.
Comparison of tensile strength, elongation, and tearing resistance among spectrum conversion films using different phosphor particle sizes and PE film.
| Item (unit) | Microz | Nanoy | PEx |
|---|---|---|---|
| Tensile strength (N/cm2) | 2,470±170w | 2,391±226 | 2,396±195 |
| Elongation (%) | 597±80 | 612±37 | 604±50 |
| Tearing resistance (N/cm) | 1,201±88 | 1161±42 | 1,181±71 |
광전환 필름 온실 내의 분광 분포를 측정한 결과, 자 외선이 적색광과 원적색광의 파장으로 변환되었지만, 청 색 파장은 광전환재 배합으로 낮아진 투광률 때문에 분 광 분포의 측정만으로는 확인할 수 없었다(Fig. 2a). 전 체적으로 Nano 필름이 Micro 필름보다 광 파장을 전환 하는 효율이 높고, 투광률이 높았다(Fig. 2b). 이것은 광 전환 필름에서 마이크로 크기의 광전환재에 비해 나노 크기의 광전환재 효율이 높고, 그 결과로 투광률이 증가 되었음을 보여주었다. 실제로 Nishimura 등(2012)의 연 구에 의하면 광전환 필름의 투광률이 PE 필름에 비하여 광합성 유효파장 영역(400-700nm)에서 감소하는 것으로 나타났으나, Hemming 등(2006)은 최근 개선된 광전환 필름에서는 PE 필름보다 투광률이 높은 경우를 보이기 도 하였다.

Fig. 2.
Spectral irradiance (a) and spectral transmittance (b) in the double layered greenhouses under solar radiation on Feb. 8, 2009 at noon. Micro, Nano, and PE mean the greenhouses using spectrum conversion films using phosphor particles larger than 10μm, smaller than 500 nm in radius, and poly-ethylene film as outer films, respectively. All the greenhouses used the polyethylene film as inner film. Thickness of each film is 0.06 mm.
Micro, Nano, PE 필름을 외측에 피복한 온실 내의 단 파 투광률(300-1100nm)은 각각 77.0%, 79.4%, 78.5%로 나타났다(Table 2). 광전환 필름 온실 내의 파장별 투광 률은 파장이 길어질수록 증가하였고, 단파복사 투광률 (300-1100nm)은 Nano, PE, Micro 필름 온실의 순으로 높았다(Table 2). 녹색광을 적색광으로 변환하는 분홍색 광전환 필름보다 본 연구에 사용된 자외선 파장을 적색 파장으로 변환하는 필름은 무색 투명하며, 단파 투광률 (300-1100nm)이 더 높다(Nishimura 등, 2012). 특히 Nano 필름 온실은 오히려 PE 필름 온실보다 더 높은 투광률을 보였기 때문에 작물의 광 이용 측면에서 유리 할 수 있다. PE 필름 온실을 기준으로 파장 별 분광 투 과율의 차이를 살펴보면 Nano 필름 온실을 투과한 태양 광의 자외선 영역과 600-750nm 파장의 투광률이 PE 필 름 온실보다 뚜렷하게 높았다.
Table 2.
Comparison of transmittance (%) according to wavelength among spectrum conversion films using different phosphor particle sizes and PE film.
| Film | Ultraviolet radiation (300-400nm) | Photosyntheticallyactive radiation (400-700nm) | Near infra-red radiation (700-1100nm) | Short-wave radiation (300-1100nm) |
|---|---|---|---|---|
| Micro+PEz | 55.3 | 71.9 | 86.2 | 77.0 |
| Nano+PEy | 55.3 | 73.5 | 89.8 | 79.4 |
| PE+PEx | 45.7 | 72.9 | 90.9 | 78.5 |
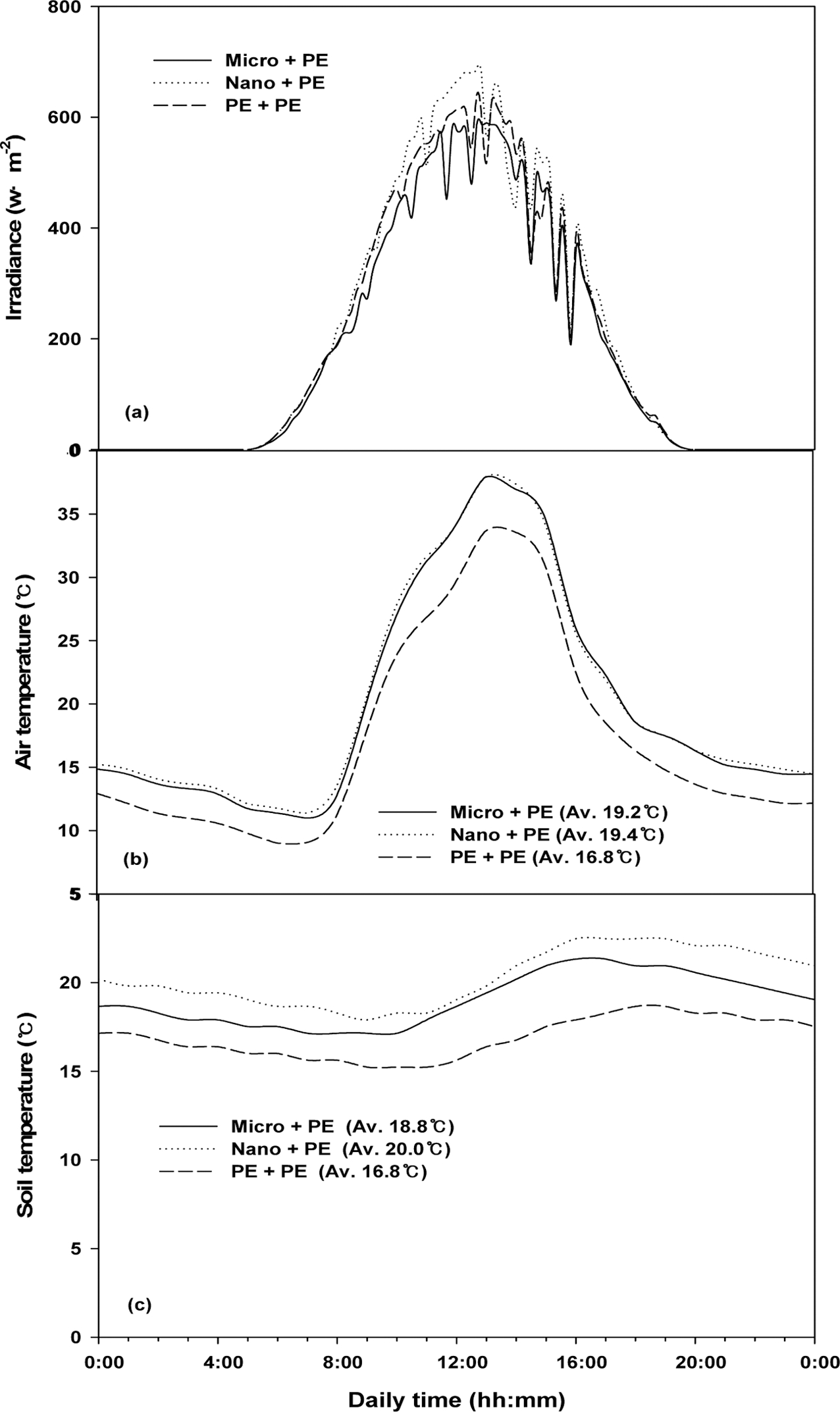
광합성이 유효한 파장 영역(400-700nm)에서 외부에 Nano 광전환 필름을 피복한 하우스의 광 투과율이 PE 필름을 이중으로 피복한 보다 0.6% 높게 나타났다 (Table 2). Espi 등(2006)은 형광체를 이용한 광전환 필 름의 투광률이 PE 필름보다 감소하였다고 보고하였지만, 본 연구를 통해 나노 사이즈의 광전환재를 이용하면 광 전환 필름의 광합성 유효 파장대의 투광률이 감소되지 않을 수 있음을 보였다. 온실 내 일중 일사량은 Nano 필름을 사용한 경우 PE 필름보다 1% 정도 높게 나왔지 만, Micro 필름은 PE 필름보다 9% 정도 낮았다(Fig. 3a). Nano 필름과 Micro 필름을 사용한 온실의 기온과 지온은 PE 필름을 사용한 온실에 비하여 각각 기온은 2.6°C, 2.4°C, 지온은 3.2°C, 1.6°C 정도 높았다(Fig. 3b 와 3c). 이는 자외선의 영역에서 적색광과 원적색광으로 광질이 전환되어 온실 내부의 기온과 지온을 상승시키는 역할을 한 것으로 판단된다. 이와 유사한 결과로서 Hemming 등(2006)은 자외선을 청색으로 전환하는 형광 체를 이용한 광전환 필름을 온실에 피복하여 실내 평균 주야간 온도를 측정한 결과 PE 필름 온실에 비하여 0.9°C, 1.4°C 높아졌다고 보고한 바 있다.

Fig. 3.
Daily changes in solar irradiation (a), air temperature (b), and soil temperature (c) in the double layered greenhouses under solar radiation on Feb. 8, 2009 at noon. Micro, Nano, and PE mean the greenhouses using spectrum conversion films using phosphor particles larger than 10μm, smaller than 500 nm in radius, and poly-ethylene film as outer films, respectively. All the greenhouses used the poly-ethylene film as inner film. Thickness of each film is 0.06 mm.
2. 토마토와 상추의 생육 및 수량
토마토의 생육과 품질을 살펴보면 정식 후 37일째의 토마토의 초장, 엽수, 엽생체중, 엽면적은 Nano 필름, Micro 필름, PE 필름을 사용한 온실의 순서로 유의적으 로 높게 나타났다(Table 3). 토마토의 생육 적온은 27°C, 야간온도는 17°C 수준이기 때문에, 광전환 필름 피복에 의한 기온과 지온의 상승(Fig. 3c)과 광합성 유효 광량 증가(Table 2)에 따른 토마토의 생육이 촉진된 결과라고 판단된다.
Table 3.
Effect of phosphor particle size of spectrum conversion films on the plant height, the fresh weight, number, area, width of leaves, and the fresh weight, Hunter values and total soluble solid (TSS) of fruits of tomatoes grown in double layered greenhouses (Thickness of each film is 0.06 mm).
| Film | Plant height (cm) | Leaf | Fruit | ||||||
|---|---|---|---|---|---|---|---|---|---|
| Fresh weight (g) | Number | Area (cm2) | Fresh weight (g) | Hunter value | TSS | ||||
| L | a | B | |||||||
| Nano+PEz | 135.6abw | 435a | 24ab | 6,660ab | 264.0a | 23.7a | 11.1a | 14.6a | 6.9a |
| Micro+PEy | 141.5a | 443a | 24a | 7,524a | 262.3a | 23.8a | 11.6a | 14.1a | 6.5a |
| PE+PEx | 124.5b | 408a | 22b | 5,758b | 284.9a | 24.4a | 10.2a | 14.6a | 6.4a |
수확 후 토마토의 품질요소인 과실 무게, 당도, 착색도 는 광전환 필름과 PE 필름 간에 유의적인 차이를 보이 지 않았다(Table 3). Nano 및 Micro 필름 온실은 모두 최초 4월 2일에 수확하였고, PE 필름 온실에서는 대략 7일 늦게 4월 9일 최초 수확을 시작하였다. 최종 수확량 은 Nano 및 Micro 필름 온실에서 토마토 수량이 PE 피복 하우스에 비해 각각 14%, 12% 정도 향상되었다(Fig. 4). 이는 앞에서도 언급된 바와 같이 광전환 필름에 의하여 광합성에 효율적인 광의 투과가 증대되고(Fig. 2c), 온실 내부의 기온과 지온의 상승되었으며 그 결과로 생육이 촉 진되고, 수확량이 증가한 것으로 보여진다(Lamnatou 등, 2013). 이와 관련하여 녹색광을 적색광으로 변환하는 광 전환 필름을 이용해 Novoplansky 등(1990)은 토마토의 수량을 19.6% 증가시켰다는 보고를 하였고, Kwon 등 (2013)은 적색과 청색으로 광전환되는 필름의 피복이 온 실 내 평균 기온을 0.3°C 상승시키고, 토마토 수량을 16.4% 증가시킨다고 보고하였다.

Fig. 4.
Yields of tomatoes grown in the greenhouses covered with different spectrum conversion films and PE film from April 2 to May 21, 2016. Micro, Nano, and PE mean the greenhouses using light conversion films using phosphor particles larger than 10μm radius, smaller than 500 nm radius, and poly-ethylene film as outer films, respectively. All the greenhouses used the poly-ethylene film as inner film (Thickness of each film is 0.06 mm). Vertical bars mean standard error. zDifferent letters indicate significantly different values by LSD test at p < 0.05 (n=3).
본 연구에서도 광전환 필름의 피복을 통해 온실 내 기 온을 상승시키고, 10% 이상의 수량을 증가시키는 결과 를 얻었다. 또한 본 연구에 사용된 Nano 필름은 일반 PE 필름보다 광합성 유효광의 투과율을 0.6% 높였던 것 에 비해 토마토 수량을 14% 증수시켰다. Hemming 등(2006)의 연구에서도 광전환 필름의 광합성 유효광 투과 율은 1% 높았지만, 이에 비해 수확량은 10% 로 크게 증수된 비슷한 결과를 보여주었다. 이것은 기존의 광전 환 필름의 낮은 투광률을 보완한다면 온실 작물의 생육 및 수량을 향상시킬 수 있을 것으로 보인다.
정식 후 40일에 상추를 수확한 결과, 생체중과 엽면적 은 Micro 필름이 Nano 필름과 PE 필름 온실에 비하여 유의적으로 높았다(Table 4, Fig. 5). 이와 관련된 연구로 Nishimura 등(2009)은 녹색을 적색 파장으로 바꾸는 광 전환 필름을 이용해 상추 수량을 13.5% 증가시켰다고 보고하였고, Minich 등(2011)은 유로폼의 마이크로 광전 환재을 이용한 광전환 필름을 이용해 상추의 수량이 약 50% 가량 증가하였다고 보고하였다. Kwon 등(2013)은 적색 파장으로 광전환되는 필름을 피복한 온실 내 야간 평균 기온을 0.2°C 상승시켰다고 하였다. 이러한 연구 결과들은 광전환을 통해 광합성 유효 파장의 광량을 증 가시키고 기온을 상승시킨다는 측면에서 본 연구에 사 용한 광전환 필름과 비슷한 경향을 보인다고 할 수 있 다. 상추의 생육 적정 온도는 15-20°C 정도이며, Nano 필름을 사용한 경우에 평균 기온과 지온이 각각 19.4°C, 20.0°C 이여서 상추가 주간 최고 온도에 노출 됨으로 인해 생육 후반기에 수확량이 감소한 것으로 판 단된다(Fig. 3와 5). Nano 필름 온실에서 수확한 상추 는 Micro 필름이나 PE 필름 온실보다 Hunter 값 a가 유의적으로 높았고, 이를 통하여 적색 색소 발현이 높 았다는 것을 알 수 있었다.
Table 4.
Effect of phosphor size of spectrum conversion films on the fresh and dry weights, number, length and width of biggest leaf, area, Hunter values of leaves and the root fresh weight of lettuces grown in double layered greenhouses (Thickness of each film is 0.06 mm).
| Film | Leaf | Root fresh weight (g) | ||||||
|---|---|---|---|---|---|---|---|---|
| Fresh weight (g) | Dry weight (g) | Number | Area (cm2) | Hunter value | ||||
| L | a | B | ||||||
| Nano+PEz | 161bw | 7.3a | 15a | 3,259ab | 35a | -1.4a | 18a | 3.9b |
| Micro+PEy | 222a | 8.2a | 18a | 4,393a | 39a | -5.8b | 22b | 6.5a |
| PE+PEx | 110b | 4.4b | 12b | 2,123b | 37a | -5.7b | 22b | 2.9b |

Fig. 5.
Yields of lettuce grown in the greenhouses covered with different spectrum conversion films and PE film. Micro, Nano, and PE mean the greenhouses using light conversion films using phosphor particles larger than 10μm radius, smaller than 500 nm radius, and poly-ethylene film as outer films, respectively. All the greenhouses used the poly-ethylene film as inner film. Thickness of each film is 0.06mm. Vertical bars mean standard error. zDifferent letters indicate significantly different values by LSD test at p < 0.05 (n=3).
이상의 결과로부터 500nm 이하의 크기의 광전환재를 배합한 광전환 필름을 이용하였을 때 기존의 녹색을 적 색으로 변환하는 광전환 필름보다 투광률과 광이용 효율 이 증진되었고, 그 결과로 작물의 생육을 향상시킬 수 있었다. 이는 광합성 유효광의 증가로 광이용 효율이 향 상되었고, 동시에 온실 내 기온과 지온을 상승시켰기 때 문이라 할 수 있다. 추후 작물 생육 환경이 다른 토마토 와 상추의 수확량을 고려하였을 때 다양한 광 전환 필 름의 개발과 현장 적용 방법을 개발할 필요가 있다.



