서 론
과실의 착색은 향기나 미각과 함께 과실의 품질을 결 정하는 중요 요인이 되기 때문에 동일 품종에서 상품성 이 높은 과실은 착색이 잘된 과실이라고 할 수 있다 (Yim, 2015). 안토시아닌은 사과의 주된 색소, 과실 성숙 기간 중 과실의 물리적, 생화학적, 생리적 변화가 일어 나면서 발현되는데, 이러한 생리적 변화는 주로 식물호 르몬에 의해서 조절된다(Chung과 Park, 1989).
Abscisic acid(ABA)는 총 15개의 탄소로 구성되어 있 는 sesquiterpene의 일종이고, (S)-cis형으로 그 존재와 구조가 밝혀진 이래 약 50년간 연구되어 온 식물 호르몬 으로(Cornforth 등, 1966; El-Antably 등, 1966), 식물체 내 에서 종자 성숙, 휴면, 기공 반응 조절, 과실 성숙 등의 여 러 대사과정을 조절하고 있다(Nambara와 Marine-Poll, 2005; Xiong과 Zhu, 2003).
일반적으로 과실의 성숙과 관련된 변화는 ethylene에 의 해 조절되는 것으로 알려져 있으나(Barry와 Giovannoni, 2007), 과실에 ABA를 처리하면 과실의 ABA 함량이 먼 저 증가한 뒤 ethylene 함량이 뒤이어 증가하면서 과실 성숙이 촉진된다는 보고(Jiang 등, 2000; Jiang과 Joyce, 2003; Vendrell과 Buesa, 1989)도 있으므로 과실의 성숙 에는 ethylene 뿐만 아니라 ABA도 중요한 역할을 한다 고 생각된다.
ABA의 또 다른 중요한 기능 중의 하나는 과실의 안 토시아닌 축적을 조절하여 과실 품질을 향상시키는 것이 다(Gu 등, 2011; Kondo와 Inoue, 1997). 많은 과실이 성숙과정에서 과피의 색 변화를 겪는데, 안토시아닌을 주요 색소로 갖는 포도, 체리 등의 과실에서는 성숙기에 과피의 ABA의 농도가 증가할수록 안토시아닌의 축적이 증가되는 정의 상관관계를 보인다(Sandhu 등, 2011; Tijero 등, 2016). 그러나 사과에서는 연구자에 따라 결 과가 달랐는데, Lala와 Vendrell(2003; 2000a)은 ‘Granny Smith’ 사과의 성숙기간 중 ABA를 처리하면 과실 내 ABA와 ethylene의 전구물질인 1-aminocyclopropane-1- carboxylic acid(ACC)가 함께 증가되면서 ethylene의 생 합성이 유도되어 과실의 성숙이 촉진된다고 하였고, Chung과 Park(1989)은 수확한 ‘Jonagold’에 ABA를 처 리할 경우 16°C 이하에서는 ABA 처리 농도가 증가할 수록 안토시아닌 함량이 증가하였지만, 32°C에서는 ABA 처리가 안토시아닌 생성에 기여하지 못했다고 하 였다. 이에 반해 Yim 등(2000)은 ‘Fuji’ 수관 전체에 ABA를 처리했을 때 과피의 안토시아닌 축적이 촉진되 지 않았다고 하였다.
‘Hongro’는 국내에서 육성되어 보급된 사과 품종으로 수확기가 추석과 겹치는 9월 중순경이고, 착과가 잘되면 서 품질이 우수하여 ‘Fuji’ 다음으로 많이 재배되고 있다 (Shin과 Kim, 2010). 그러나 최근 기상청 자료에 의하면, ‘Hongro’ 사과 주산지인 장수지역에서 ‘Hongro’의 과실 성숙기인 8월말부터 9월초에 최고기온이 30°C 이상으로 자주 상승하여 착색 불량이 문제가 되고 있다.
따라서, 본 실험은 사과 과피의 안토시아닌 생합성에 있어 ABA의 역할 및 안토시아닌 축적이 이루어지는 시기 의 사과 과피 내 ABA함량의 변화를 관찰하기 위해 착색 이 시작되기 직전인 만개 후 107일경에 채취한 ‘Hongro’ 사과에 ABA와 그 생합성 저해제인 fluridone(FD)을 처리 한 뒤, 시기별로 과피의 색, ABA의 함량 변화와 더불어 ABA, ethylene 및 안토시아닌의 생합성을 조절하는 유 전자의 발현량을 조사하였다.
재료 및 방법
본 시험은 전북 완주군 국립원예특작과학원내의 과수 원에 재식 된 5년생 ‘Hongro’/M.9 사과나무로부터 만개 후 107일에 과실을 채취하여 3m × 5m × 3m 크기의 인공 기상실 내부에서 약제처리(ABA, FD 및 대조구)를 하였 다. ABA와 FD의 처리 농도는 기존의 ABA 처리 보고들 (Chung과 Park, 1989; Lala와 Vendrell, 2000b; Yim 등, 2000; Zhang 등, 2009)을 참고하여 500mg/L로 하였다. 대조구는 ABA와 FD를 용해시키는데 사용한 용매가 90% 이상 증류수로 구성되어 있어 증류수를 살포하였다.
약제 처리 후 인공 기상실 내부 환경은 Chung과 Park (1989) 및 Lee (1999)의 보고를 참고하여, 광량은 세라믹 메탈 할라이드 광원을 이용하여 80,000lux로 조절하였고, 온도와 상대습도는 각각 17°C와 70%로 유지시켰다.
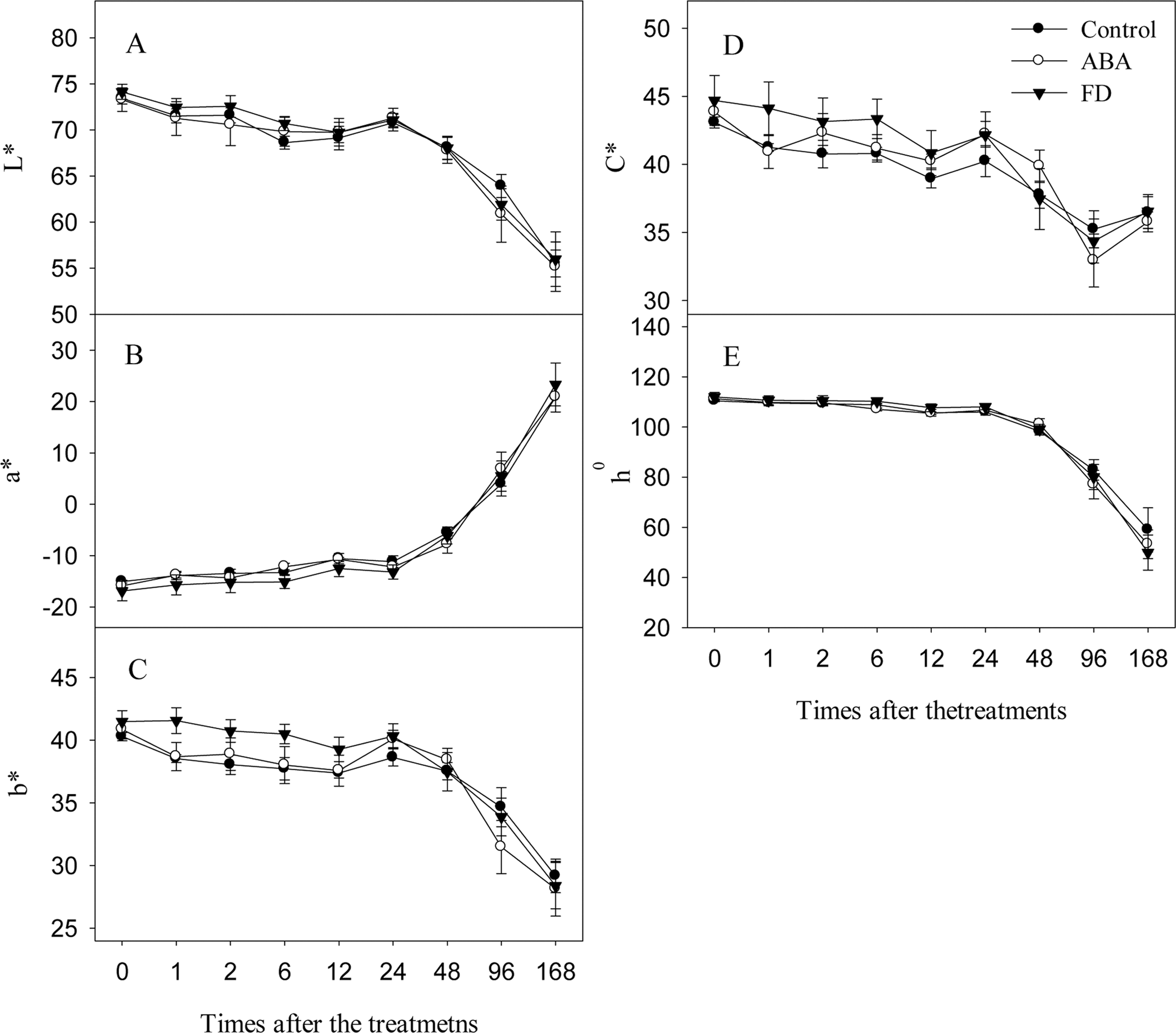
과피의 색차값은 처리 당 5개의 과실을 선정한 후, 과 실의 양쪽 적도면을 대상으로 처리 후 0, 1, 2, 6, 12시 간, 1, 2, 4, 7일에 색차계(CR-300, Minolta, Osaka, Japan)를 이용하여 각각 측정하였다. 색차의 표현은 hunter L*, a*, b*값으로 나타냈으며, a*, b*의 값을 이 용해 C*, h0 값을 환산하여 추가로 나타내었다(Hunter, 1975; McGuire, 1992).
안토시아닌의 함량은 과실을 지름 1.1cm 크기의 corkborer로 뚫어 과실당 과피를 10개씩 채취한 뒤, MeOH 와 HCl을 85:15(v:v)로 혼합한 추출액 30mL에서 12시 간 이상 안토시아닌을 추출한 후 spectrophotometer(UV- 2501PC, Shimadzu, Japan)로 530nm에서 안토시아닌 함 량을 측정하였다. 과실 1개당 안토시아닌 함량은 mg·cm-2 로 환산했으며 3반복으로 분석하였다.
ABA 추출 과정에 있어서는 먼저 과실 표면의 약제를 제거하기 위해 흐르는 물로 과실을 한번 세척한 후, 과 피를 과육에서 얇게 분리하여 막자 사발에 넣고 액체질 소를 이용하여 곱게 분쇄한 뒤, 50% MeOH과 CHCl3이 3:1의 비율로 혼합된 용매를 넣고 ABA를 추출하면서 동시에 내부표준물질인 d6-ABA를 4ng 만큼 첨가시켰다. 이후 용매와 시료가 섞여있는 혼합액 중 상층액인 50% MeOH층을 혼합액에서 분리하여 dichloromethane(MC) 을 넣고 Liquid-liquid 추출을 실시하였다. 추출된 혼합액 은 다시 아랫부분인 MC층을 분액한 후, 남아있는 50% MeOH층에 MC를 넣어 한번 더 분액하여 2번에 걸쳐 얻 은 MC 용액을 0.45m의 syringe filter로 여과시켰다. 여과 된 용액은 40°C의 온도로 감압 농축시킨 뒤 MeOH에 재 용해시켜 liquid chromatography-mass spectrometry로 분 석하였다. ABA의 함량은 과실 1개당 ng·g-1의 값으로 나타내었으며, 3반복으로 분석하였다.
ABA의 분석을 위해 HPLC에 이용했던 이동상은 0.1% formic acid가 함유된 증류수와 acetonitrile(ACN) 의 2가지를 사용하였고, ACN을 기준으로 15(0min) → 15(0.3min) → 30(1min) → 80(2min) → 80(3.5min) → 15(3.6min) → 15(5min)의 농도 기울기를 이용하여 ABA 를 분리한 후, C18 컬럼(Unison UK-C18, 2.0×50mm, 3m, Imtakt, USA)을 이용하여 300L/min의 유속으로 5분 동안 ABA를 분석하였다. 정량분석은 ion trap MS detector (Finnigan LXQ, Thermoelectron, Marietta, USA) 가 부착된 HPLC (Nanospace SI-2, Shiseido, Japan)를 이 용하였다. ABA의 정량은 내부표준물질과 endogenous peak 면적의 비율을 기본으로 이루어졌으며, ABA는 263 → 153m/z, d6-ABA는 269 → 159m/z를 multiple reaction monitoring (MRM) 조건으로 각각 설정하여 정량하였다. 본 시험에서 이용된 ABA의 standard, 시료의 크로마토 그램 및 m/z값은 Fig. 1과 같다.

Fig. 1.
LC-MS/MS chromatograms of ABA standard and extracted ABA from apple fruit skins (top, A, B, C, and D) and their MRM intensity (bottom, E) on 263 → 153m/z. A, ABA standard; B, d6-ABA standard in ABA standard; C, extracted ABA from samples; D, d6-ABA standard in sample extract; E, MRM intensity of ABA standard.
과피의 ABA, ethylene 및 안토시아닌 생합성 관련 유전 자의 발현 정도 분석은 RNA를 추출하여 quantitative realtime polymerase chain reaction (qRT-PCR)을 이용하여 조 사하였다. RNA의 추출은 Jakkola 등(2001)의 방법과 비슷 하게 사용하였고, 과피 시료를 과육에서 얇게 분리하여 막 자 사발에 넣고 액체질소를 이용하여 곱게 분쇄하였다. 이 후 곱게 갈린 시료에 CTAB buffer를 넣고 세포를 용해시 키고, chloroform:isoamyl alcohol (24:1,v/v)용액을 이용하 여 두 번에 걸쳐 정제하였다. 정제된 혼합액에 10M LiCl 을 넣어 RNA를 응축시킨 후, 100%, 70% ethanol을 이용 하여 총 두 번에 걸쳐 불순물을 제거하였다. 추출된 RNA 는 PrimeScript first strand cDNA Synthesis kit (Takara Bio, Shiga, Japan)를 이용하여 cDNA로 합성하였는데, cDNA 합성을 위해 1g의 RNA로 42°C에서 1시간동안 반 응시켰다. qRT-PCR은 LightCycler® 480 Real-time PCR System (Roche Diagnostics, Mannheim, Germany)으로 수 행하였고, reaction mixture는 SYBR® Premix (Nippon Gene, Tokyo, Japan)를 이용하여 제작했다. 최종 reaction volume은 제조사의 권장 사용법에 따라 20mL로 설정하였 다. 실험에 이용한 primer의 염기 서열은 Table 1과 같다.
Table 1.
Primers used for qRT-PCR.
모든 통계처리는 SigmaPlot 8.0 프로그램(SPSS Science, Chicago, USA)과 SAS Enterprise 4.3 프로그램(SAS Co., Cary, USA)을 이용하여 던칸 다중검정을 하였다.
결과 및 고찰
1. ABA 및 FD 처리에 의한 ‘Hongro’ 사과의 과피 색 변화
본 시험에서 ‘Hongro’ 과실이 전체적으로 붉은 빛을 띠기 시작한 시기는 용액 살포 4일 후였으며, 용액 살포 7일 후에 상업적 수확기의 모습인 진한 붉은 색으로 착 색되었으나, ABA와 FD의 처리에 따른 ‘Hongro’ 과피 착색의 차이는 없었다(Fig. 2).
ABA와 FD 처리 후 0시간부터 7일까지 처리구간 과 피 색차값의 차이는 없었으나(Fig. 3), 시기별로는 모든 처리구가 처리 2일 후부터 과피의 안토시아닌 축적이 이루어지기 시작했고, 4일 후에 약 3배로 증가하였다 (Fig. 4). 대조구 대비 처리구들의 시기별 과피의 안토시 아닌 함량은 ABA 처리의 경우 처리 2시간 후 대조구보 다 빠르게 증가했지만 6시간 후부터 다시 대조구와 차 이가 나지 않았고, FD 처리구는 처리 6시간 후부터 과 피의 안토시아닌 함량이 대조구에 비해 낮아지다가 처리 1일 후부터 대조구와 차이가 없어졌다(Fig. 4).
ABA 처리를 통해 착색을 개선시키려는 연구는 포도, 체리 등의 과일에서 주로 진행되어 왔으며, 이들 과종에 서 ABA의 처리 시 과실의 안토시아닌 함량이 증가하였 다(Cantin 등, 2007; Luo 등, 2014)고 한다. 그러나 중생종 인 ‘Hongro’ 과실을 대상으로 한 본 시험에서는 ABA 처 리구의 과피 안토시아닌 함량이 대조구와 차이가 없는 것 으로 나타났다(Fig. 4). 이는 ABA를 만생종 ‘Fuji’ 사과나 무의 수체 및 과실에 살포할 경우 과피의 안토시아닌 함 량 변화가 발생하지 않았으나(Yim 등, 2000), 수확한 중생 종 ‘Jonagold’에 과실에 ABA를 처리할 경우 안토시아닌 함량이 증가하였다는 보고(Chung과 Park, 1989)를 미루어 보아, 품종의 숙기 차이 때문으로 추정되었다.
2. ABA 및 FD의 처리에 의한 과피의 내생 ABA 함 량의 변화
약제 처리 후 착색이 이루어지는 과정 중의 과피의 ABA 함량을 분석해 본 결과(Fig. 5), 대조구는 처리 12 시간 후에 정점에 도달한 뒤, 처리 4일 후까지 감소하는 변화를 보였던 반면에, ABA 처리구는 처리 2시간 후부 터 과피 내 ABA 함량이 급격히 증가하여 처리 4일 후 까지 높게 유지되었다. FD 처리구는 처리 2시간 이후로 ABA 함량이 감소하였고, 처리 6시간부터 처리 4일 후 까지 대조구보다 낮았다.
Shin과 Park(2012) 및 Zhang 등(2009)과 동일하게 본 시험에서도 ABA를 처리하면 사과 과피의 ABA 함량이 급격히 증가하였으나 ABA 처리구의 안토시아닌 축적량 은 대조구와 차이가 없었고, ABA 생합성 억제제인 FD 처리구는 대조구보다 ABA 함량이 낮았음에도 불구하고 FD 처리구의 안토시아닌 함량은 대조구와 차이가 없었 다(Figs. 4 and 5). 이는 앞서 언급한 ABA를 과실에 처 리했을 때 과실의 ethylene 함량이 뒤이어 증가하며 성숙 이 촉진된다는 보고(Jiang 등, 2000; Jiang과 Joyce, 2003; Vendrell과 Buesa, 1989)와 저온 조건에서 과피의 안토시 아닌 축적이 촉진된다는 보고(Chung과 Park, 1989)와 달 랐다. 따라서, 본 시험에서는 ABA 및 FD 처리구의 과피 ABA, ethylene 및 안토시아닌 생합성과 관련된 유전자 역 시 차이가 없는 지에 대하여 조사해 보았다.
3. ABA의 처리에 의한 과피의 ABA, ethylene 및 안토시아닌 생합성 유전자의 발현량 변화
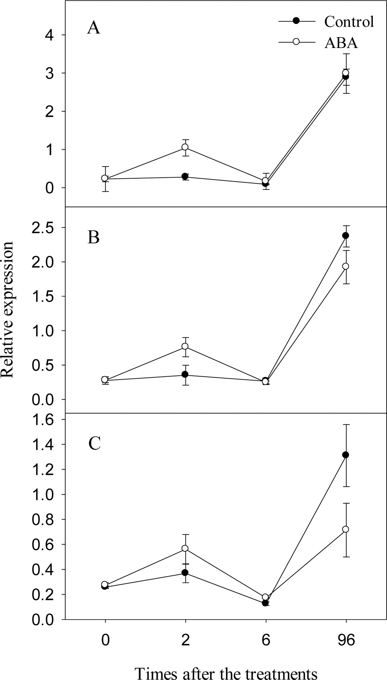
ABA의 생합성 과정에서 rate-limiting 단계(율속 단계) 라고 알려진 MdNCED2 유전자(Kondo 등, 2012a)의 발 현량을 분석한 결과를 살펴보면(Fig. 6), ABA 처리구의 MdNCED2의 발현량은 처리 6시간 후에 대조구에 비해 약 4배 수준으로 증가했으나, 처리 4일 후에 대조구의 수준으로 감소하였다.
ethylene의 전구물질인 ACC를 합성하는 효소와 ACC 를 산화시키는 효소를 암호화하는 유전자의 발현량 결과 에 있어(Fig. 7), ACC의 생합성을 조절하는 유전자인 MdACS5A와 MdACS5B(Li 등, 2010)의 발현량의 경우 ABA의 처리에 의해 4일 후까지 대조구의 발현량과 차이 가 나타나지 않았다(Fig. 7A and 7B). 그러나 Ethylene을 생합성 하는 가장 마지막 단계인 ACC의 산화를 조절하 는 유전자인 MdACO1 (Kondo 등, 2012b; Li 등, 2010) 의 발현량의 경우에는 ABA처리에 의해 처리 2시간 후에 강하게 반응하며 대조구의 300배 이상으로 증가하였다가 처리 4일 후에 대조구와 차이가 없어졌다(Fig. 7C).

Fig. 7.
Expression of MdACS5A (A), MdACS5B (B) and MdACO1 (C), involved in ethylene biosynthesis in fruit skins of ABAtreated ‘Hongro’ apples. Expression levels were normalized against the expression of the apple Actin gene. Vertical bars represent the standard errors of the means. ABA, abscisic acid.
안토시아닌 생합성을 조절하는 유전자 중에서 earlybiosynthetic genes에 속하는 MdCHS (Kim 등, 2003), 그리고 late-biosynthetic genes에 속하는 MdDFR, MdUFGT (Kim 등, 2003)의 유전자 발현량의 결과에 있 어서(Fig. 8), ABA 처리구의 처리 2시간 후 과피의 MdCHS와 MdDFR의 발현량은 대조구 대비 2~4배 정도 증가하였으나(Figs. 8A and 8B), MdUFGT의 발현량은 대조구와 큰 차이가 없었다(Fig. 8C).
이상의 유전자 발현량 결과를 종합해보면, ABA의 처 리는 ‘Hongro’ 사과 과피에서 ethylene의 생합성과 관련 된 유전자 발현량을 촉진시키는 경향이 나타났는데, 특 히 ethylene을 생합성 하는 가장 마지막 단계인 ACC 산 화 효소를 생합성하는 MdACO1 유전자가 300배 이상 증가한 결과(Fig. 7B) 및 ABA의 생합성 과정에서 ratelimiting 단계라고 알려진 MdNCED2의 발현량이 ACC 산화 효소를 생합성하는 MdACO1에 뒤이어 증가한다는 결과(Figs. 6 and 7B)를 미루어 보아, ABA는 ethylene 발생량과 긴밀한 관계가 있는 것으로 생각되었다.
그러나 본 시험에서 ABA 처리에 의해 ABA와 ethylene 관련 유전자 발현량이 증진되었지만(Figs. 6, 7 and 8), 실제 과피의 안토시아닌 함량은 처리 간에 차이 가 없었다(Fig. 4). 이는 안토시아닌 생합성 유전자 중에 서 가장 마지막 단계를 조절하고 있는 MdUFGT의 발 현량이 ABA의 처리에 의해 달라지지 않았기 때문(Fig. 8C)이거나 혹은 사과 품종의 숙기 차이(Chung과 Park, 1989; Yim 등, 2000) 및 ABA 및 FD 처리에 따른 ethylene 증진 효과가 과실 수확 후 호흡급등현상에 의 해 자연적으로 많아지는 ethylene 발생(Yim, 2015)에 영 향을 받았기 때문으로 판단되었다. 따라서, 향후 사과 품종 별로 과실이 나무에 착과된 상태에서 만개 후 일 수를 달리하여 ABA 및 FD를 처리한다면, 사과 과피의 안토시아닌 합성에서의 ABA의 역할을 보다 정확하게 확인할 수 있을 것으로 생각되었다.








